TOP
|
特許
|
意匠
|
商標
特許ウォッチ
Twitter
他の特許を見る
10個以上の画像は省略されています。
公開番号
2025031300
公報種別
公開特許公報(A)
公開日
2025-03-07
出願番号
2023137437
出願日
2023-08-25
発明の名称
プルラン誘導体を含有する増粘剤、及び、これを含んでなる化粧品
出願人
ナガセヴィータ株式会社
,
国立大学法人 岡山大学
代理人
弁理士法人須磨特許事務所
主分類
A61K
8/73 20060101AFI20250228BHJP(医学または獣医学;衛生学)
要約
【課題】優れた増粘効果とシアシニング性を示すとともに、主として再生可能な原料から得られる新たな増粘剤を提供することを一つの課題とする。
【解決手段】下記式(a1)で表される酸性官能基を有するプルラン誘導体及び/又はその塩を含有する増粘剤:
【化1】
<com:Image com:imageContentCategory="Drawing"> <com:ImageFormatCategory>TIFF</com:ImageFormatCategory> <com:FileName>2025031300000032.tif</com:FileName> <com:HeightMeasure com:measureUnitCode="Mm">33</com:HeightMeasure> <com:WidthMeasure com:measureUnitCode="Mm">170</com:WidthMeasure> </com:Image> (上記式(a1)において、A1は、置換されていてもよい、飽和又は不飽和のアルキレン基を表し、*はプルランとの結合部を表す。)を提供することにより上記課題を解決する。
【選択図】なし
特許請求の範囲
【請求項1】
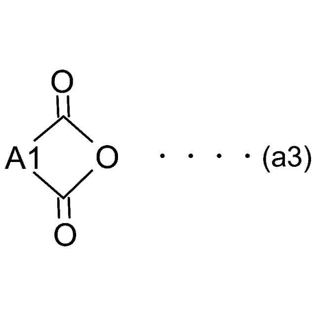
下記式(a1)で表される酸性官能基を有するプルラン誘導体及び/又はその塩を含有する増粘剤:
TIFF
2025031300000025.tif
33
170
(上記式(a1)において、A1は、置換されていてもよい、飽和又は不飽和のアルキレン基を表し、*はプルランとの結合部を表す。)。
続きを表示(約 1,400 文字)
【請求項2】
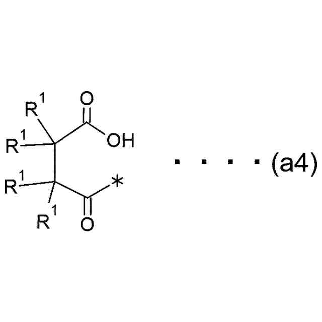
前記酸性官能基が、コハク酸及び/又はコハク酸誘導体に由来する下記式(a4)で表される基であることを特徴とする請求項1に記載の増粘剤:
TIFF
2025031300000026.tif
44
94
(上記式(a4)において、R
1
は、それぞれ独立して、水素原子又は置換されていてもよい、飽和又は不飽和のアルキル基を表し、*はプルランへの結合部を表す。)。
【請求項3】
前記酸性官能基が、コハク酸及び/又はコハク酸誘導体に由来する下記式(a6)で表される基であることを特徴とする請求項2に記載の増粘剤:
TIFF
2025031300000027.tif
32
124
(上記式(a6)において、R
1
は、水素原子又は置換されていてもよい、飽和又は不飽和のアルキル基を表し、*はプルランへの結合部を表す。)。
【請求項4】
R
1
で表される置換基が、置換されていてもよい、飽和又は不飽和のアルキル基であり、当該アルキル基の炭素数が1~20であることを特徴とする請求項3に記載の増粘剤。
【請求項5】
前記酸性官能基が、オクテニルコハク酸に由来する下記式(a19)で表される基であることを特徴とする請求項4に記載の増粘剤:
TIFF
2025031300000028.tif
25
157
(上記式(a19)において、*はプルランへの結合部を表す。)。
【請求項6】
前記プルラン誘導体を、前記プルラン誘導体と2価以上の金属イオンとの塩の形態で含む請求項5に記載の増粘剤。
【請求項7】
前記プルラン誘導体と2価以上の金属イオンとの塩が、カルシウム塩、マグネシウム塩又はアルミニウム塩であることを特徴とする請求項6に記載の増粘剤。
【請求項8】
前記プルラン誘導体が、さらに下記式(b1)で表される塩基性官能基を有することを特徴とする請求項1に記載の増粘剤:
TIFF
2025031300000029.tif
20
88
(上記式(b1)において、R
2
は、それぞれ独立して、水素原子又は置換されていてもよい、飽和又は不飽和のアルキル基であり、nは2又は3である。rは窒素原子の価数を表し、0又は1である。R
3
は置換されていてもよい、飽和又は不飽和のアルキレン基である。*はプルランとの結合部を表す。)。
【請求項9】
前記塩基性官能基が、下記式(b6)で表される基であることを特徴とする請求項8に記載の増粘剤:
TIFF
2025031300000030.tif
25
88
(上記式(b6)において、*はプルランとの結合部を表す。)。
【請求項10】
前記酸性官能基が、コハク酸に由来する下記式(a18)で表される基であることを特徴とする請求項9に記載の増粘剤:
TIFF
2025031300000031.tif
35
61
(上記式(a18)において、*はプルランとの結合部を表す。)
(【請求項11】以降は省略されています)
発明の詳細な説明
【技術分野】
【0001】
本発明は増粘剤に関し、より詳細には、プルラン誘導体を含有する増粘剤に関する。
続きを表示(約 1,700 文字)
【背景技術】
【0002】
増粘剤は、ローション状、ジェル状、クリーム状、乳液状、液状などの粘性を有するあらゆる剤型の化粧品に欠かせない化粧品原料である。増粘剤は、水、アルコール、又は水とアルコールの混合溶媒などの化粧品を構成する種々の溶媒に溶解し、その粘性を高める増粘作用を示す。また、応力を加えることで可逆的に粘度が低下するシアシニング性を付与することで、化粧品に優れた使用性と使用感を付与する役割も担っている。シアシニング性は、チューブ状の容器から製剤を押し出したり、皮膚上で製剤を塗り伸ばす際の使用感に影響を与えたりする要素であり、化粧品用の増粘剤としては特に重要視される要素である。
【0003】
化粧品原料として、現在、最も汎用されている増粘剤は、カルボキシビニルポリマー(化粧品表示名称:カルボマー)である。カルボキシビニルポリマーは、例えば、ハイビスワコー(登録商標)(富士フイルム和光純薬株式会社)、カーボポール(登録商標)(Lubrizol Corporation)などの商品名で市販され、優れた増粘性とシアシニング性を有することから、様々な化粧品に配合されている。しかしながら、カルボキシビニルポリマーは、耐塩性に課題があり、塩やイオン性の原料と混ぜることで粘度が急激に低下するという課題がある(例えば、特許文献1、2)。
【0004】
また、近年、あらゆる産業分野において、石油に由来する化石資源への依存度を減らし、化石資源から、生物由来の有機性資源などの再生可能資源へ転換することが求められている。これは化粧品原料においても同様であり、再生可能な化粧品原料が強く求められている。上述したとおり、現在、最も汎用されている増粘剤は、カルボキシビニルポリマーであるが、現在の技術水準において、カルボキシビニルポリマーは石油資源を原料とする人工合成高分子であり、天然資源から再生可能な方法でこれを得ることは困難であると言わざるを得ない。
【0005】
一方、化石資源に依存しない天然高分子系の増粘剤としては、キサンタンガムやグァーガム、ローカストビーンガムなどが知られている。これらの天然高分子系の増粘剤は、シアシニング性は示すものの、比較的粘度が低く、十分な高粘度を得るためには多量に配合しなくてはならないという課題がある(例えば、非特許文献1)。
【先行技術文献】
【特許文献】
【0006】
特開2005-68023号公報
特許第6805316号公報
【非特許文献】
【0007】
株式会社サティス製薬、“天然系高分子を用いた水溶性粘性化粧料の開発技術”、株式会社サティス製薬ウェブサイト、[令和5年8月14日検索]、インターネット、<URL:https://www.saticine-md.co.jp/rd/gel>
【発明の概要】
【発明が解決しようとする課題】
【0008】
本発明は、上記のような従来技術に鑑みて為されたものであり、優れた増粘効果とシアシニング性を示すとともに、主として再生可能な原料から得られる新たな増粘剤を提供することを一つの課題とする。
【課題を解決するための手段】
【0009】
本発明者らは、上記課題を解決しようと鋭意研究努力を重ねる過程において、微生物により産生される水溶性多糖類の一種であるプルランに特定の構造を有するジカルボン酸を縮合させ、酸性官能基を有するプルラン誘導体を調製したところ、驚くべきことに、酸性官能基を有する当該プルラン誘導体は、プルランと比較して遥かに優れた増粘性を示し、且つ、このプルラン誘導体の水溶液は、プルランの水溶液には見られなかったシアシニング性を有することを見出した。
【0010】
すなわち、本発明は、ある一側面において、下記式(a1)で表される酸性官能基を有するプルラン誘導体及び/又はその塩を含有する増粘剤を提供することにより上記課題を解決するものである。
(【0011】以降は省略されています)
この特許をJ-PlatPat(特許庁公式サイト)で参照する
関連特許
ナガセヴィータ株式会社
シュー生地
11日前
個人
貼付剤
7日前
個人
健康器具
8か月前
個人
短下肢装具
3か月前
個人
鼾防止用具
8か月前
個人
排尿補助器具
20日前
個人
白内障治療法
7か月前
個人
前腕誘導装置
3か月前
個人
脈波測定方法
8か月前
個人
洗井間専家。
7か月前
個人
嚥下鍛錬装置
3か月前
個人
脈波測定方法
8か月前
個人
ホバーアイロン
6か月前
個人
汚れ防止シート
1か月前
個人
アイマスク装置
2か月前
個人
歯の修復用材料
4か月前
個人
矯正椅子
5か月前
個人
バッグ式オムツ
4か月前
個人
腰ベルト
10日前
個人
胸骨圧迫補助具
1か月前
個人
ウォート指圧法
18日前
個人
シャンプー
6か月前
個人
車椅子持ち上げ器
7か月前
個人
湿布連続貼り機。
2か月前
個人
陣痛緩和具
3か月前
個人
歯の保護用シール
5か月前
三生医薬株式会社
錠剤
7か月前
個人
口内洗浄具
8か月前
個人
哺乳瓶冷まし容器
3か月前
株式会社八光
剥離吸引管
5か月前
個人
エア誘導コルセット
2か月前
個人
性行為補助具
3か月前
個人
治療用酸化防御装置
1か月前
株式会社大野
骨壷
4か月前
株式会社コーセー
化粧料
17日前
株式会社結心
手袋
8か月前
続きを見る
他の特許を見る