TOP
|
特許
|
意匠
|
商標
特許ウォッチ
Twitter
他の特許を見る
10個以上の画像は省略されています。
公開番号
2025179595
公報種別
公開特許公報(A)
公開日
2025-12-10
出願番号
2024086447
出願日
2024-05-28
発明の名称
データ復元システム
出願人
個人
代理人
個人
主分類
G06F
11/16 20060101AFI20251203BHJP(計算;計数)
要約
【課題】 冗長データユニットを大量に作ることができ、その結果、元データを大量に復元できるようにすることで、記憶装置に生じた障害からの復旧を、高い確率で実現することができるデータ復元システムの提供。
【解決手段】 元データから複数の元データユニットと複数の冗長データユニットの作成を行うと共に、障害を逃れた必要最小限の冗長データユニットを抽出し、抽出された冗長データユニットから、元データユニット及び冗長データユニットの復元を32ビットガロア体の行列を用いた計算をもって効率よく行う。
【選択図】 図1
特許請求の範囲
【請求項1】
M個(Mは2以上の自然数)の元データユニットD[0]~D[M-1]を復元するためのR個(Rは2以上の自然数)の冗長データユニットQ[0]~Q[R-1]を作成する冗長ユニット作成手段と、
前記元データユニットのうちのL(自然数)個が破損した時に破損していないR-K(自然数)個の冗長データユニットから破損したL個の元データユニットを復元する元ユニット復元手段とを備えるデータ復元システムにおいて、
前記冗長ユニット作成手段は、M個の元データユニットD[0]~D[M-1]から、数式(3)の演算処理を経てR個の冗長データユニットQ[0]~Q[R-1]を作成し、
前記元ユニット復元手段は、L≦R-Kの時に、元データユニットの復元に使用する破損していない冗長データユニットをL個抽出すると共に、抽出されたL個の冗長データユニットQ[a[0]],…,Q[a[L-1]]と破損していないM-L個の元データユニットD[y[0]],…,D[y[M-L-1]]から数式(4)の演算処理を経て元データユニットを復元することを特徴とするデータ復元システム。
TIFF
2025179595000078.tif
26
128
TIFF
2025179595000079.tif
96
159
続きを表示(約 4,500 文字)
【請求項2】
元ユニット復元手段で元データユニットを復元した後に、復元された元データユニットを含むすべての元データユニット[0],…,D[M-1]から破損した冗長データユニットQ[b[0]],…,Q[b[K-1]]を数式(5)の演算処理を経て復元する冗長ユニット復元手段を備えることを特徴とする請求項1に記載のデータ復元システム。
TIFF
2025179595000080.tif
39
126
【請求項3】
前記演算処理において、Z/2Z係数の32次多項式(数式(6))についてf
32
(x)=0の解をαとして、数式(7)となるαで生成された32ビットガロア体の任意の要素a(数式(8))と要素b(数式(9))との乗算処理を行い積ab=cを導く乗算手段を備え、
TIFF
2025179595000081.tif
6
123
TIFF
2025179595000082.tif
6
115
TIFF
2025179595000083.tif
7
132
TIFF
2025179595000084.tif
6
132
前記乗算手段は、
前記要素a及び要素bのαを変数xに置換したA(x)(数式(10))とB(x)(数式(11))との積である62次多項式C(x)(数式(12))を得る演算手段と、
TIFF
2025179595000085.tif
6
115
TIFF
2025179595000086.tif
7
115
TIFF
2025179595000087.tif
7
123
前記C(x)(数式(12))のxにαを代入して得たC(α)におけるαの累乗部分につき、α
k
の指数が32≦kの時に数式(13)を利用して、多項式を31次多項式に帰着させる係数e(k,j) (0≦k≦62,0≦j≦31)を用いた31次多項式(数式(14))に書き換える次数変換手段と、
TIFF
2025179595000088.tif
6
115
TIFF
2025179595000089.tif
7
132
前記乗算処理に用いられるα
k
の係数(e(k,31) e(k,30) …e(k,1) e(k,0))を成分とする行列の値を保持するデータテーブルと、
前記演算手段から出力された積を前記C(x)の各項の係数(c
62
… c
32
c
31
… c
1
c
0
)と前記データテーブルに保持された行列との成分同士の積の形で出力する整形手段とを備えることを特徴とする請求項1又は請求項2のいずれかに記載のデータ復元システム。
【請求項4】
前記演算処理において、Z/2Z係数の32次多項式(数式(6))についてf
32
(x)=0の解をαとして、数式(7)となるαで生成された32ビットガロア体の任意の要素a(数式(8))についてa
n
(0≦n≦2
32
-1)を導く累乗手段を備え、
TIFF
2025179595000090.tif
6
123
TIFF
2025179595000091.tif
6
115
TIFF
2025179595000092.tif
6
132
前記累乗手段は、
累乗対象aの累乗回数nを、数式(35)の形とする分解手段と、
TIFF
2025179595000093.tif
6
154
前記分解手段で得られた結果に基づき、前記累乗回数nの二進表記の係数n
j
(0≦j≦31)のうちn
j
が「1」であるjについて、数式(15)の各項で、数式(14)のα
31
からα
0
の係数に、k=31*2
j
, k=30*2
j
, …,k=1*2
j
,k=0*2
j
を当て嵌めたe(31*2
j
,31)…e(31*2
j
,0)…e(0*2
j
,31)…e(0*2
j
,0)を成分とする行列P
j
(0≦j≦31)の値を保持するデータテーブルと、
TIFF
2025179595000094.tif
7
157
TIFF
2025179595000095.tif
7
128
前記累乗回数nの二進表記の係数n
j
(0≦j≦31)のうちn
j
が「1」であるすべてのa^2
j
を累乗対象a(数式(16))の各項の係数(a
31
…a
1
a
0
)と前記データテーブルに保持された値を成分とする行列P
j
との積(a
31
…a
1
a
0
)P
j
の形で出力する整形手段と、
TIFF
2025179595000096.tif
7
115
前記整形手段から出力されたすべてのa^2
j
を掛け合わせて出力する乗算手段とを備えることを特徴とする請求項1又は請求項2のいずれかに記載のデータ復元システム。
【請求項5】
前記演算処理において、Z/2Z係数の32次多項式(数式(6))についてf
32
(x)=0の解をαとして、数式(7)となるαで生成された32ビットガロア体の任意の要素a(数式(8))と要素b(数式(9))との乗算処理を行い積ab=cを導く乗算手段と、
前記演算処理において、Z/2Z係数の32次多項式(数式(6))についてf
32
(x)=0の解をαとして、数式(7)となるαで生成された32ビットガロア体の任意の要素a(数式(8))についてa
n
(0≦n≦2
32
-1)を導く累乗手段とを備え、
TIFF
2025179595000097.tif
6
123
TIFF
2025179595000098.tif
6
115
TIFF
2025179595000099.tif
7
132
TIFF
2025179595000100.tif
6
132
前記乗算手段は、
前記要素a及び要素bのαを変数xに置換したA(x)(数式(10))とB(x)(数式(11))との積である62次多項式C(x)(数式(12))を得る演算手段と、
TIFF
2025179595000101.tif
6
115
TIFF
2025179595000102.tif
7
115
TIFF
2025179595000103.tif
7
123
前記C(x)(数式(12))のxにαを代入して得たC(α)におけるαの累乗部分につき、α
k
の指数が32≦kの時に数式(13)を利用して、多項式を31次多項式に帰着させる係数e(k,j) (0≦k≦62,0≦j≦31)を用いた31次多項式(数式(14))に書き換える次数変換手段と、
TIFF
2025179595000104.tif
6
115
TIFF
2025179595000105.tif
7
132
前記乗算処理に用いられるα
k
の係数(e(k,31) e(k,30) …e(k,1) e(k,0))を成分とする行列の値を保持するデータテーブルと、
前記演算手段から出力された積を前記C(x)の各項の係数(c
62
… c
32
c
31
… c
1
c
0
)と前記データテーブルに保持された行列との成分同士の積の形で出力する整形手段とを備え、
前記累乗手段は、
累乗対象aの累乗回数nを、数式(35)の形とする分解手段と、
TIFF
2025179595000106.tif
6
154
前記分解手段で得られた結果に基づき、前記累乗回数nの二進表記の係数n
j
(0≦j≦31)のうちn
j
が「1」であるjについて、数式(15)の各項で、数式(14)のα
31
からα
0
の係数に、k=31*2
j
, k=30*2
j
, …,k=1*2
j
,k=0*2
j
を当て嵌めたe(31*2
j
,31)…e(31*2
j
,0)…e(0*2
j
,31)…e(0*2
j
,0)を成分とする行列P
j
(0≦j≦31)の値を保持するデータテーブルと、
TIFF
2025179595000107.tif
7
157
TIFF
2025179595000108.tif
6
132
前記累乗回数nの二進表記の係数n
j
(0≦j≦31)のうちn
j
が「1」であるすべてのa^2
j
を累乗対象a(数式(16))の各項の係数(a
31
…a
1
a
0
)と前記データテーブルに保持された値を成分とする行列P
j
との積(a
31
…a
1
a
0
発明の詳細な説明
【技術分野】
【0001】
本発明は、本来在るべきデータ(以下、「元データ」と記す。)と、当該元データを修復する目的を帯びた冗長データを作成して記憶するように構成されたデータ復元システムに関する。
続きを表示(約 1,400 文字)
【背景技術】
【0002】
HDD(Hard Disk Drive)などの物理ドライブを用いた記録再生装置は、モーターの劣化やディスクの劣化等に伴うHDDの障害、バッテリー切れや意図しないデータの削除又は改変などに伴うノートパソコンの障害、停電や天変地異などに伴うストレージ装置のダウン、更には、無線通信障害によって、HDDに書き込まれているデータが損傷することが知られている。
【0003】
その様な実態の下、物理ドライブを用いた記録再生装置の信頼性の向上、復旧性の向上及び高速化を実現する技術として、各種のデータを複数のディスクに分散し保存する冗長ディスクアレイ(RAID:Redundant Arrays of Independent (Inexpensive) Disks:)が知られている。
【0004】
RAIDは、データディスクの他に、冗長性をもたせるためのパリティディスクを備え、データディスクに障害が発生した際には、当該障害による消失データを冗長性を持ったデータを用いて復元する。
【0005】
データディスクに障害が生じた際には、当該障害による消失データをユニット単位の排他的論理和で復元する(下記特許文献1参照。)。
データーの復元は、例えば、以下のように元データDを複数(n個)の部分データに分割し、ガロア体と呼ばれる有限体からk個の線形独立なベクトルα
11
,α
21
,α
31
,……α
n1
を選択し、数式(1)を用いて、パリティーデータを作成する。
尚、元データD={D
1
,D
2
,D
3
,…,D
n
}、
送信データD′={C
1
,C
2
,C
3
,…,C
m
}、
パリティデータCk=α
11
・D
1
+α
21
・D
2
+…+α
n1
・D
n
である。
【0006】
元データDを復元する際にはn個の部分データが取得できていれば、対応するn個のベクトルからn×nの行列A=(α
ij
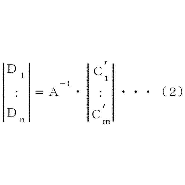
),1≦i≦n,1≦j≦nを構成し、取得した部分データにAの逆行列をかければ元データが取得できる。つまり、数式(2)を用いて、元データを復元する。
【0007】
TIFF
2025179595000002.tif
24
136
【0008】
TIFF
2025179595000003.tif
23
136
【先行技術文献】
【特許文献】
【0009】
特開2008-172617号公報
【発明の概要】
【発明が解決しようとする課題】
【0010】
しかしながら、例えば、従来のRAID6では、パリティディスクが2個に固定されているため、元データディスクが3個以上破損すると、パリティディスクが全く破損しなかったとしても元データディスクの復元ができなくなる。
(【0011】以降は省略されています)
この特許をJ-PlatPat(特許庁公式サイト)で参照する
関連特許
個人
詐欺保険
1か月前
個人
縁伊達ポイン
1か月前
個人
RFタグシート
1か月前
個人
職業自動販売機
26日前
個人
5掛けポイント
1か月前
個人
ペルソナ認証方式
1か月前
個人
QRコードの彩色
2か月前
個人
地球保全システム
2か月前
個人
情報処理装置
1か月前
個人
自動調理装置
1か月前
個人
立体グラフの利用方法
5日前
個人
農作物用途分配システム
1か月前
個人
残土処理システム
2か月前
個人
サービス情報提供システム
28日前
個人
データ復元システム
今日
個人
インターネットの利用構造
1か月前
個人
知的財産出願支援システム
2か月前
NISSHA株式会社
入力装置
6日前
個人
タッチパネル操作指代替具
1か月前
個人
スケジュール調整プログラム
1か月前
個人
携帯端末障害問合せシステム
1か月前
個人
学習用データ生成装置
7日前
株式会社キーエンス
受発注システム
2か月前
株式会社キーエンス
受発注システム
2か月前
個人
食品レシピ生成システム
2か月前
株式会社キーエンス
受発注システム
2か月前
個人
エリアガイドナビAIシステム
1か月前
個人
音声・通知・再配達UX制御構造
2か月前
キヤノン株式会社
情報処理装置
20日前
キラル株式会社
顧客体験提供システム
8日前
エッグス株式会社
情報処理装置
1か月前
キヤノン株式会社
画像認識装置
20日前
キヤノン株式会社
表示システム
2か月前
キヤノン株式会社
印刷システム
1か月前
キヤノン株式会社
情報処理装置
20日前
トヨタ自動車株式会社
通知装置
1か月前
続きを見る
他の特許を見る