TOP
|
特許
|
意匠
|
商標
特許ウォッチ
Twitter
他の特許を見る
10個以上の画像は省略されています。
公開番号
2025178954
公報種別
公開特許公報(A)
公開日
2025-12-09
出願番号
2024085845
出願日
2024-05-27
発明の名称
流体デバイスの駆動方法、及び流体デバイス
出願人
セイコーエプソン株式会社
代理人
弁理士法人樹之下知的財産事務所
主分類
B01D
43/00 20060101AFI20251202BHJP(物理的または化学的方法または装置一般)
要約
【課題】微粒子の拡散を抑制し、捕捉効率が高い流体デバイスの駆動方法、及び流体デバイスを提供する。
【解決手段】第一方向に流体が流れる流入流路20と、流入流路から流体が導入され、定在波を用いて流体中の微粒子を捕捉する分離流路30と、分離流路から捕捉した微粒子の含有量が多い流体が流出する第一流出流路40と、分離流路から捕捉した微粒子の含有量が少ない流体が流出する第二流出流路50と、流入流路に第一方向に直交する第二方向に向かって第一定在波を形成する第一超音波素子61と、分離流路に前記第二方向に向かって第二定在波を形成する第二超音波素子62と、を備えた流体デバイス10。
【選択図】図1
特許請求の範囲
【請求項1】
第一方向に流体が流れる流入流路と、前記流入流路から前記流体が導入され、定在波を用いて前記流体中の微粒子を捕捉する分離流路と、前記分離流路から捕捉した前記微粒子の含有量が多い前記流体が流出する第一流出流路と、前記分離流路から捕捉した前記微粒子の含有量が少ない前記流体が流出する第二流出流路と、前記流入流路に配置されて前記流入流路に前記第一方向に直交する第二方向に向かって第一定在波を形成する第一超音波素子と、前記分離流路に配置されて前記分離流路に前記第二方向に向かって第二定在波を形成する第二超音波素子と、を備えた流体デバイスの駆動方法であって、
前記第二方向において、定在波の節または腹の基準位置を設定する基準設定ステップと、
前記基準位置から所定の許容範囲内に、節または腹が位置する前記第一定在波の第一周波数を探索する第一探索ステップと、
前記基準位置から前記許容範囲内に、節または腹が位置する前記第二定在波の第二周波数を探索する第二探索ステップと、
探索された前記第一周波数で前記第一超音波素子を駆動させ、探索された前記第二周波数で前記第二超音波素子を駆動させる駆動ステップと、
を実施する、流体デバイスの駆動方法。
続きを表示(約 1,500 文字)
【請求項2】
前記第一探索ステップにおいて、前記第一定在波の節または腹の位置と、前記基準位置とのずれ量である第一ずれ量を算出し、前記第一ずれ量と所定の第一基準ずれ量との差に基づいて、前記第一周波数を探索する、
請求項1に記載の流体デバイスの駆動方法。
【請求項3】
前記第二探索ステップにおいて、前記第二定在波の節または腹の位置と、探索された前記第一周波数で形成される前記第一定在波の節または腹の位置とのずれ量である第二ずれ量を算出し、前記第二ずれ量と所定の第二基準ずれ量との差に基づいて、前記第二周波数を探索する、
請求項1に記載の流体デバイスの駆動方法。
【請求項4】
前記第二基準ずれ量は、前記第一定在波を形成する超音波の波長に基づいて設定される、
請求項3に記載の流体デバイスの駆動方法。
【請求項5】
前記第二探索ステップにおいて、前記第二ずれ量が前記第二基準ずれ量より大きい場合、前記第二定在波の次数を上げて前記第二周波数を探索する、
請求項3に記載の流体デバイスの駆動方法。
【請求項6】
前記流体デバイスは、前記第一流出流路に配置されて前記第一流出流路に前記第二方向に向かって第三定在波を形成する第三超音波素子をさらに備え、前記第一流出流路は前記流入流路に対向する位置に設けられ、
前記基準位置から前記許容範囲内に、節または腹が位置する前記第三定在波の第三周波数を探索する第三探索ステップをさらに実施し、
前記駆動ステップにおいて、探索された前記第三周波数で前記第三超音波素子を駆動させる、
請求項1に記載の流体デバイスの駆動方法。
【請求項7】
前記第三探索ステップにおいて、前記第三定在波の節または腹の位置と、探索された前記第二周波数で形成される前記第二定在波の節または腹の位置とのずれ量である第三ずれ量を算出し、前記第三ずれ量と所定の第三基準ずれ量との差に基づいて、前記第三周波数を探索する、
請求項6に記載の流体デバイスの駆動方法。
【請求項8】
前記第三基準ずれ量は、前記第二定在波を形成する超音波の波長に基づいて設定される、
請求項7に記載の流体デバイスの駆動方法。
【請求項9】
超音波を用いて流体中の微粒子を分離する流体デバイスであって、
第一方向に流体が流れる流入流路と、
前記流入流路から前記流体が流入する分離流路と、
前記分離流路から前記流体を流出させる第一流出流路と、
前記分離流路から前記流体を流出させる第二流出流路と、
前記流入流路に配置されて前記流入流路に前記第一方向に直交する第二方向に向かって第一定在波を形成する第一超音波素子と、
前記分離流路に配置されて前記分離流路に前記第二方向に向かって第二定在波を形成する第二超音波素子と、
前記第一超音波素子、及び前記第二超音波素子の駆動を制御する制御部と、を備え、
前記制御部は、前記第二方向において、定在波の節または腹の基準位置を設定し、前記基準位置から所定の許容範囲内に、節または腹が位置する前記第一定在波の第一周波数を探索し、前記基準位置から前記許容範囲内に、節または腹が位置する前記第二定在波の第二周波数を探索し、探索された前記第一周波数で前記第一超音波素子を駆動させ、探索された前記第二周波数で前記第二超音波素子を駆動させる、流体デバイス。
発明の詳細な説明
【技術分野】
【0001】
本発明は、流体デバイスの駆動方法、及び流体デバイスに関する。
続きを表示(約 2,300 文字)
【背景技術】
【0002】
従来、流体中の微粒子を音響集束させる流体デバイスが知られている。例えば、特許文献1に開示される装置では、特定の強度、特定の周波数、特定の位相の超音波、あるいはこれらを重ね合せた超音波を容器に導入し、超音波を制御することで位置ポテンシャル勾配を作って、微粒子を移動させる。例えば、超音波により定在波を形成して、定在波の節の位置に微粒子を移動させ、節の位置に細管を導入して吸引させることで、微粒子を回収することができる。
【先行技術文献】
【特許文献】
【0003】
特開平9-122480号公報
【発明の概要】
【発明が解決しようとする課題】
【0004】
しかし、特許文献1に開示される流体デバイスでは、容器内に拡散した微粒子の収束が不十分であり、微粒子の取りこぼしが発生しやすい、との課題がある。例えば、超音波による位置ポテンシャル勾配が形成された容器内に、流入口から流体を導入する場合、流入口と容器内との流路径が異なると、容器内に流路に直交する流速成分が増大して、微粒子が拡散してしまい、捕捉効率が低下する恐れがある。
【課題を解決するための手段】
【0005】
本開示の一態様に係る流体デバイスの駆動方法は、第一方向に流体が流れる流入流路と、前記流入流路から前記流体が導入され、定在波を用いて前記流体中の微粒子を捕捉する分離流路と、前記分離流路から捕捉した前記微粒子の含有量が多い前記流体が流出する第一流出流路と、前記分離流路から捕捉した前記微粒子の含有量が少ない前記流体が流出する第二流出流路と、前記流入流路に配置されて前記流入流路に前記第一方向に直交する第二方向に向かって第一定在波を形成する第一超音波素子と、前記分離流路に配置されて前記分離流路に前記第二方向に向かって第二定在波を形成する第二超音波素子と、を備えた流体デバイスの駆動方法であって、前記第二方向において、定在波の節または腹の基準位置を設定する基準設定ステップと、前記基準位置から所定の許容範囲内に、節または腹が位置する前記第一定在波の第一周波数を探索する第一探索ステップと、前記基準位置から前記許容範囲内に、節または腹が位置する前記第二定在波の第二周波数を探索する第二探索ステップと、探索された前記第一周波数で前記第一超音波素子を駆動させ、探索された前記第二周波数で前記第二超音波素子を駆動させる駆動ステップと、を実施する。
【図面の簡単な説明】
【0006】
本発明の一実施形態に係る流体デバイスを模式的に示した概略図。
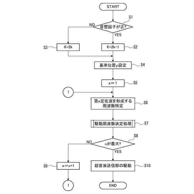
本実施形態の流体デバイスの駆動方法を示すフローチャート。
本実施形態の流体デバイスの流入流路と分離流路との接続部分の拡大図。
超音波素子の駆動周波数と、インピーダンスとの関係の一例を示す図。
超音波の周波数と、定在波の次数との関係を示す図。
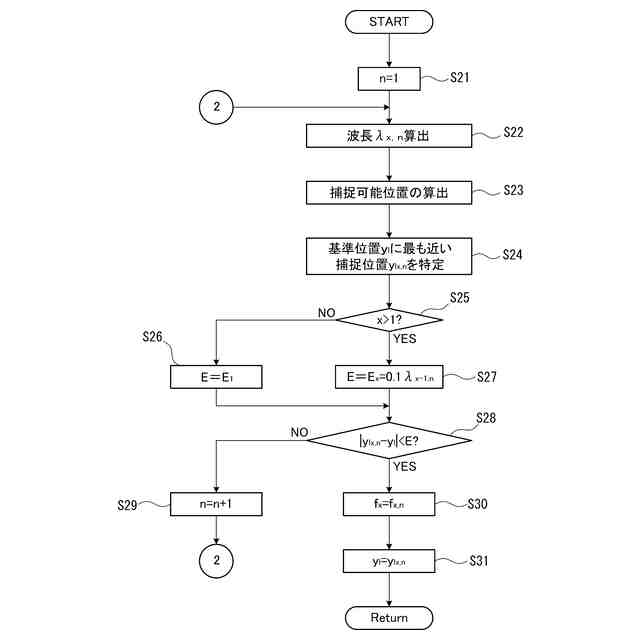
図2のステップS7の駆動周波数の決定方法の詳細を示すフローチャート。
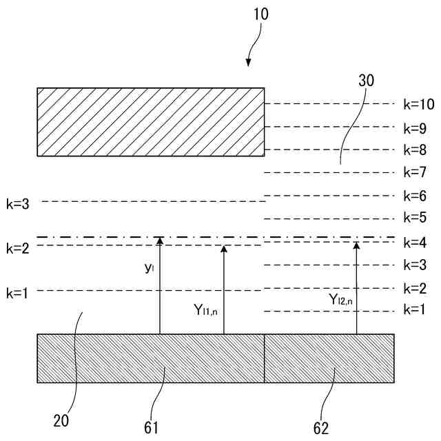
捕捉位置を節とする場合の超音波送信面から数えた節の位置に対する、超音波送受信面からの距離を示す図。
捕捉位置を腹とする場合の超音波送信面から数えた腹の位置に対する、超音波送受信面からの距離を示す図。
変形例3に係る流体デバイスの一例を示す概略図。
変形例3に係る流体デバイスの他の例を示す概略図。
変形例4に係る流体デバイスの一例を示す概略図。
【発明を実施するための形態】
【0007】
以下、本発明に係る一実施形態について図面に基づき説明する。
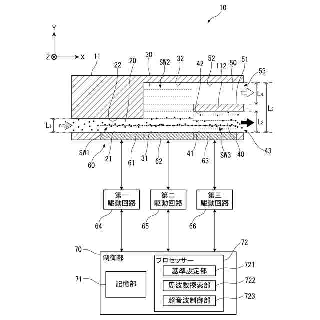
図1は、本実施形態の流体デバイス10を模式的に示した概略図である。流体デバイス10は、図1に示すように、流入流路20と、分離流路30と、第一流出流路40と、第二流出流路50と、超音波送信部60と、制御部70と、を備える。
【0008】
本実施形態の流体デバイス10は、流入流路20から分離流路30に流入する流体中の微粒子を音響収束させ、微粒子が濃縮された流体を第一流出流路40から流出させると共に、微粒子が希釈または除去された流体を第二流出流路50から流出させる。なお、流体は、特に限定されないが、例えば水などの任意の液体である。微粒子は、特に限定されないが、例えば微小繊維やマイクロプラスチックである。
【0009】
本実施形態において、流入流路20、分離流路30、第一流出流路40および第二流出流路50の各流路は、任意の一方向に沿って配置され、流体を当該一方向に沿って流通させる。ここで、各流路における流体の流通方向(本開示の第一方向)をX方向とし、流体の流通方向の上流側を-X側とし、流体の流通方向の下流側を+X側とする。また、X方向に直交する一方向であってかつ後述の定在波SW1~SW3が形成される方向(本開示の第二方向)をY方向とし、Y方向の一方側を-Y側とし、Y方向の他方側を+Y側とする。また、X方向およびY方向のそれぞれに直交する方向をZ方向とする。
【0010】
また、本実施形態において、流入流路20、分離流路30、第一流出流路40および第二流出流路50を含む流路全体は、主に、流路部材11によって形成される。流路部材11は、流体中の超音波を反射可能な材料、例えば流体とは音響インピーダンスが異なる材料により構成される。
(【0011】以降は省略されています)
この特許をJ-PlatPat(特許庁公式サイト)で参照する
関連特許
セイコーエプソン株式会社
記録装置
27日前
セイコーエプソン株式会社
電子時計
1か月前
セイコーエプソン株式会社
記録装置
11日前
セイコーエプソン株式会社
記録装置
1か月前
セイコーエプソン株式会社
治療機器
11日前
セイコーエプソン株式会社
電子時計
19日前
セイコーエプソン株式会社
半導体装置
19日前
セイコーエプソン株式会社
微細化装置
6日前
セイコーエプソン株式会社
微細化装置
6日前
セイコーエプソン株式会社
液体吐出装置
今日
セイコーエプソン株式会社
画像記録装置
12日前
セイコーエプソン株式会社
流体デバイス
11日前
セイコーエプソン株式会社
振動デバイス
1か月前
セイコーエプソン株式会社
シート製造装置
1か月前
セイコーエプソン株式会社
フィルター装置
11日前
セイコーエプソン株式会社
プロジェクター
1か月前
セイコーエプソン株式会社
ダイオード回路
19日前
セイコーエプソン株式会社
文字板及び時計
19日前
セイコーエプソン株式会社
三次元造形装置
1か月前
セイコーエプソン株式会社
シート製造装置
4日前
セイコーエプソン株式会社
シート製造装置
25日前
セイコーエプソン株式会社
シート製造装置
1か月前
セイコーエプソン株式会社
トルク伝達機構
1か月前
セイコーエプソン株式会社
プロジェクター
1か月前
セイコーエプソン株式会社
シート製造装置
1か月前
セイコーエプソン株式会社
プロジェクター
1か月前
セイコーエプソン株式会社
シート製造装置
12日前
セイコーエプソン株式会社
表示装置の制御方法
1か月前
セイコーエプソン株式会社
時計用部品及び時計
4日前
セイコーエプソン株式会社
成形方法及び成形装置
4日前
セイコーエプソン株式会社
三次元造形物の製造方法
1か月前
セイコーエプソン株式会社
慣性センサーモジュール
1か月前
セイコーエプソン株式会社
三次元造形物の製造方法
4日前
セイコーエプソン株式会社
印刷装置、及び制御方法
4日前
セイコーエプソン株式会社
乾燥装置及び印刷システム
1か月前
セイコーエプソン株式会社
媒体搬送装置及び記録装置
27日前
続きを見る
他の特許を見る