TOP
|
特許
|
意匠
|
商標
特許ウォッチ
Twitter
他の特許を見る
公開番号
2025176444
公報種別
公開特許公報(A)
公開日
2025-12-04
出願番号
2024082612
出願日
2024-05-21
発明の名称
評価方法、評価装置及びプログラム
出願人
三菱重工業株式会社
代理人
弁理士法人酒井国際特許事務所
主分類
G21C
17/00 20060101AFI20251127BHJP(核物理;核工学)
要約
【課題】LOCA発生時における新たな性能評価手法を提供する。
【解決手段】燃料棒から燃料のペレットが放出・飛散する状態を模擬する試験装置を用いてLOCA発生時の炉心の冷却性を評価する方法であって、試験装置による実験から求められた試験伝熱モデルを取得するステップと、基礎伝熱モデルと試験伝熱モデルとを比較し、変数の修正、変数の追加及び調整係数の修正の少なくともいずれかにより基礎伝熱モデルを補正するステップと、を有する。
【選択図】図3
特許請求の範囲
【請求項1】
燃料棒から燃料のペレットが放出・飛散する状態を模擬する試験装置を用いてLOCA発生時の炉心の冷却性を評価する方法であって、
前記試験装置による実験から求められた試験伝熱モデルを取得するステップと、
基礎伝熱モデルと前記試験伝熱モデルとを比較し、変数の修正、前記変数の追加及び調整係数の修正の少なくともいずれかにより前記基礎伝熱モデルを補正するステップと、を有する、
評価方法。
続きを表示(約 1,500 文字)
【請求項2】
前記試験伝熱モデルは、LOCA発生時に燃料棒から飛散したペレット片が燃料棒集合体に堆積する場合における、前記ペレット片と冷却材との間の伝熱モデルと、前記ペレット片と被覆管との間の伝熱モデルとの少なくとも一方を含む、
請求項1に記載の評価方法。
【請求項3】
前記試験伝熱モデルを取得するステップは、
模擬燃料棒を含むサンプルを収容した前記試験装置に蒸気を供給し、所定温度で維持するステップと、
模擬ペレット片を封入した容器を、前記試験装置内の蒸気温度より高温状態で維持するステップと、
前記容器から前記模擬ペレット片を前記模擬燃料棒に落下させるステップと、
模擬ペレット片の堆積領域における温度を計測するステップと、
温度計測結果から、前記試験伝熱モデルを求めるステップと、を含む、
請求項2に記載の評価方法。
【請求項4】
前記試験伝熱モデル及び前記基礎伝熱モデルは、前記ペレット片と冷却材との間の伝熱モデルを含み、
前記模擬ペレット片の堆積領域における温度を計測するステップにおいて、模擬ペレット片堆積物の入口蒸気温度と、前記模擬ペレット片堆積物の出口蒸気温度と、模擬ペレット片堆積物温度と、を計測する、
請求項3に記載の評価方法。
【請求項5】
前記試験伝熱モデル及び前記基礎伝熱モデルは、前記ペレット片と被覆管との間の伝熱モデルを含み、
前記模擬ペレット片の堆積領域における温度を計測するステップにおいて、模擬ペレット片堆積物温度と、前記模擬ペレット片堆積物温度の計測点と同じ高さ位置における前記模擬燃料棒の被覆管温度と、を計測する、
請求項3に記載の評価方法。
【請求項6】
前記基礎伝熱モデルは、前記炉心内の流路形状の影響に関する調整係数を含み、
前記基礎伝熱モデルを補正するステップにおいて、前記流路形状の影響に関する調整係数を修正する、
請求項1から5のいずれか1項に記載の評価方法。
【請求項7】
前記基礎伝熱モデルは、前記炉心内における流体の流動の影響に関する調整係数を含み、
前記基礎伝熱モデルを補正するステップにおいて、前記流動の影響に関する調整係数を修正する、
請求項1から5のいずれか1項に記載の評価方法。
【請求項8】
前記基礎伝熱モデルは、前記炉心内の雰囲気温度の影響に関する調整係数を含み、
前記基礎伝熱モデルを補正するステップにおいて、前記雰囲気温度の影響に関する調整係数を修正する、
請求項1から5のいずれか1項に記載の評価方法。
【請求項9】
前記基礎伝熱モデルは、伝熱モデルの全体を調整する調整係数を含み、
前記基礎伝熱モデルを補正するステップにおいて、前記全体を調整する調整係数を修正する、
請求項1から5のいずれか1項に記載の評価方法。
【請求項10】
燃料棒から燃料ペレットが放出・飛散する状態を模擬する試験装置を用いてLOCA発生時の炉心の冷却性を評価する演算部を有する評価装置であって、
前記演算部は、
前記試験装置による実験から求められた試験伝熱モデルを取得するステップと、
基礎伝熱モデルと前記試験伝熱モデルとを比較し、変数の修正、前記変数の追加及び調整係数の修正の少なくともいずれかにより前記基礎伝熱モデルを補正するステップと、を実行する、
評価装置。
(【請求項11】以降は省略されています)
発明の詳細な説明
【技術分野】
【0001】
本開示は、評価方法、評価装置及びプログラムに関する。
続きを表示(約 1,400 文字)
【背景技術】
【0002】
原子炉の特性として冷却機能を評価するための技術が知られている。例えば特許文献1には、原子炉の冷却材喪失事故(Loss of Coolant Accident:LOCA)が発生した場合に発生する可能性のある燃料棒からの燃料のペレット片の飛散の態様や飛散ペレットの量を試験により確認し、飛散ペレットが存在する場合の原子炉の冷却性を評価する方法が記載されている。
【先行技術文献】
【特許文献】
【0003】
特開2024-23100号公報
【発明の概要】
【発明が解決しようとする課題】
【0004】
特許文献1に記載の試験方法で、燃料棒からのペレット片の飛散状況を評価することができる。LOCA発生時においては、ペレット片の飛散状況以外にも、様々な観点での原子炉の性能評価が求められる。
【0005】
本開示は、上述した課題を解決するものであり、LOCA発生時における新たな性能評価手法を提供することができる評価方法、評価装置及びプログラムを提供することを目的とする。
【課題を解決するための手段】
【0006】
本開示に係る評価方法は、燃料棒から燃料のペレットが放出・飛散する状態を模擬する試験装置を用いてLOCA発生時の炉心の冷却性を評価する方法であって、前記試験装置による実験から求められた試験伝熱モデルを取得するステップと、基礎伝熱モデルと前記試験伝熱モデルとを比較し、変数の修正、前記変数の追加及び調整係数の修正の少なくともいずれかにより前記基礎伝熱モデルを補正するステップと、を有する。
【0007】
本開示に係る評価装置は、燃料棒から燃料のペレットが放出・飛散する状態を模擬する試験装置を用いてLOCA発生時の炉心の冷却性を評価する演算部を有する評価装置であって、前記演算部は、前記試験装置による実験から求められた試験伝熱モデルを取得するステップと、基礎伝熱モデルと前記試験伝熱モデルとを比較し、変数の修正、前記変数の追加及び調整係数の修正の少なくともいずれかにより前記基礎伝熱モデルを補正するステップと、を実行する。
【0008】
本開示に係るプログラムは、燃料棒から燃料のペレットが放出・飛散する状態を模擬する試験装置を用いてLOCA発生時の炉心の冷却性を評価するプログラムであって、前記試験装置による実験から求められた試験伝熱モデルを取得するステップと、基礎伝熱モデルと前記試験伝熱モデルとを比較し、変数の修正、前記変数の追加及び調整係数の修正の少なくともいずれかにより前記基礎伝熱モデルを補正するステップと、をコンピュータに実行させる。
【発明の効果】
【0009】
本開示によれば、LOCA発生時における新たな性能評価手法を提供することができる。
【図面の簡単な説明】
【0010】
図1は、実施形態に係る評価装置を模式的に表したブロック図である。
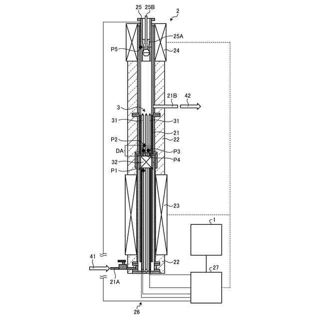
図2は、試験装置の概略構成を示す模式図である。
図3は、本実施形態に係る評価方法の流れを説明するフローチャートである。
図4は、試験伝熱モデルを取得する処理を示したフローチャートである。
【発明を実施するための形態】
(【0011】以降は省略されています)
この特許をJ-PlatPat(特許庁公式サイト)で参照する
関連特許
三菱重工業株式会社
原子炉
22日前
三菱重工業株式会社
炭化炉
1日前
三菱重工業株式会社
原子炉
今日
三菱重工業株式会社
加熱装置
1か月前
三菱重工業株式会社
施工方法
28日前
三菱重工業株式会社
動力装置
1か月前
三菱重工業株式会社
ボイラ壁
1か月前
三菱重工業株式会社
遠心圧縮機
6日前
三菱重工業株式会社
皮膜形成装置
1か月前
三菱重工業株式会社
原子力システム
7日前
三菱重工業株式会社
ポンプシステム
1か月前
三菱重工業株式会社
超音波探傷方法
1か月前
三菱重工業株式会社
石膏脱水システム
28日前
三菱重工業株式会社
燃焼筒の取付方法
1か月前
三菱重工業株式会社
バッテリ交換装置
1か月前
三菱重工業株式会社
洗浄水噴射ノズル
1か月前
三菱重工業株式会社
メタン酸化触媒装置
1か月前
三菱重工業株式会社
配管端部用閉止装置
1日前
三菱重工業株式会社
ガスタービン起動方法
1か月前
三菱重工業株式会社
ガスタービン制御方法
1か月前
三菱重工業株式会社
蒸気タービンシステム
1か月前
三菱重工業株式会社
デジタル入力モジュール
1か月前
三菱重工業株式会社
電解セル、及び電解装置
1か月前
三菱重工業株式会社
燃焼設備および制御方法
1か月前
三菱重工業株式会社
原子炉炉心および原子炉
22日前
三菱重工業株式会社
ガス処理装置および方法
1か月前
三菱重工業株式会社
シール装置及び回転機械
27日前
三菱重工業株式会社
アンモニア除害システム
28日前
三菱重工業株式会社
評価装置および評価方法
7日前
三菱重工業株式会社
炭化炉及びその制御方法
1か月前
三菱重工業株式会社
シール装置および回転機械
1か月前
三菱重工業株式会社
軸流圧縮機、及びその動翼
29日前
三菱重工業株式会社
計測システムおよび計測方法
1か月前
三菱重工業株式会社
ドライアイス貯留部、及び船舶
1日前
三菱重工業株式会社
レドックスフロー電池システム
1か月前
三菱重工業株式会社
バーナ及びこれを備えたボイラ
1か月前
続きを見る
他の特許を見る