TOP
|
特許
|
意匠
|
商標
特許ウォッチ
Twitter
他の特許を見る
10個以上の画像は省略されています。
公開番号
2025176441
公報種別
公開特許公報(A)
公開日
2025-12-04
出願番号
2024082609
出願日
2024-05-21
発明の名称
吸水加工剤、繊維製品及び繊維製品の製造方法
出願人
松本油脂製薬株式会社
代理人
主分類
C08L
101/02 20060101AFI20251127BHJP(有機高分子化合物;その製造または化学的加工;それに基づく組成物)
要約
【課題】洗濯耐久性に優れた吸水性を付与できる吸水加工剤を提供する。
【解決手段】下記単量体(A)、下記単量体(B)、及び、任意で下記単量体(C)を含む重合性成分の重合体(P)を含有する、吸水加工剤であり、前記重合性成分に占める前記単量体(A)及び前記単量体(B)の合計の割合が61~100質量%であり、前記重合性成分に占める前記単量体(C)の割合が12質量%以下である、吸水加工剤。単量体(A):第1級アミノ基、第2級アミノ基、第3級アミノ基及び4級アンモニウム基から選ばれる少なくとも1種を有する単量体、単量体(B):ポリオキシアルキレン基を有する単量体、単量体(C):炭素数12以上30以下のアルキル基を有する単量体(但し、前記単量体(A)及び前記単量体(B)を除く)
【選択図】なし
特許請求の範囲
【請求項1】
下記単量体(A)、下記単量体(B)、及び、任意で下記単量体(C)を含む重合性成分の重合体(P)を含有する、吸水加工剤であり、前記重合性成分に占める前記単量体(A)及び前記単量体(B)の合計の割合が61~100質量%であり、前記重合性成分に占める前記単量体(C)の割合が12質量%以下である、吸水加工剤。
単量体(A):第1級アミノ基、第2級アミノ基、第3級アミノ基及び4級アンモニウム基から選ばれる少なくとも1種を有する単量体
単量体(B):ポリオキシアルキレン基を有する単量体
単量体(C):炭素数12以上30以下のアルキル基を有する単量体(但し、前記単量体(A)及び前記単量体(B)を除く)
続きを表示(約 2,300 文字)
【請求項2】
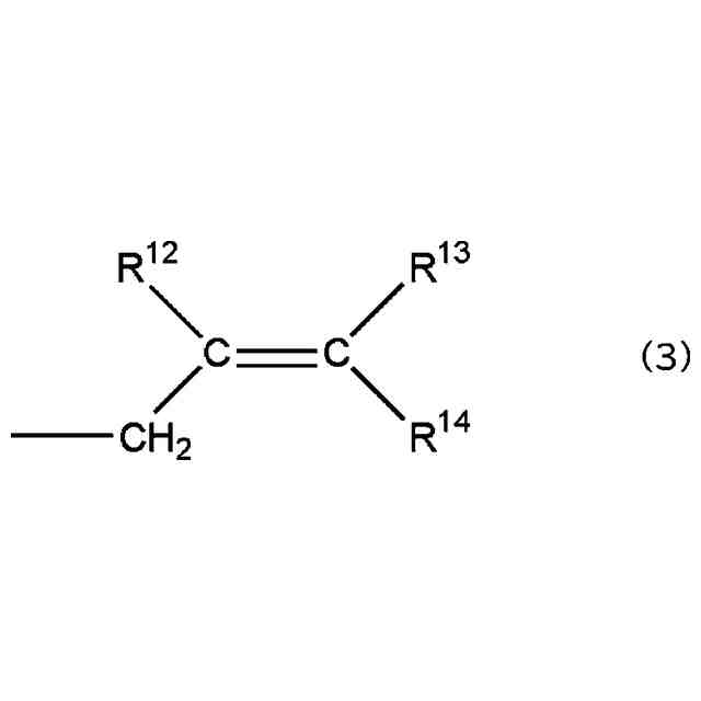
前記単量体(A)が下記一般式(1)で示される化合物、及び、下記一般式(2)で示される化合物から選ばれる少なくとも1種を含む、請求項1に記載の吸水加工剤。
TIFF
2025176441000015.tif
38
102
(式(1)中、R
1
及びR
2
はそれぞれ独立に水素原子又はメチル基を示す。R
3
は水素原子又は-COOM(Mは水素原子若しくはアルカリ金属原子)を示す。Xは-COO-R
15
-、-CON(R
16
)-R
17
-又は-CH
2
-を示す(R
15
及びR
17
は、それぞれ独立に炭素数1~3のアルキレン基、又は炭素数1~3のヒドロキシアルキレン基、R
16
は水素原子又は炭素数1~3のアルキル基を示す。)。但し、Xが-CH
2
-である場合、R
4
及びR
5
はそれぞれ独立に下記一般式(3)で示される基、炭素数1~3のアルキル基、炭素数1~3のヒドロキシアルキル基又は水素原子であり、Xが-CH
2
-でない場合、R
4
及びR
5
はそれぞれ独立に炭素数1~3のアルキル基、炭素1~3のヒドロキシアルキル基又は水素原子である。)
TIFF
2025176441000016.tif
58
137
(式(2)中、R
6
及びR
7
はそれぞれ独立に水素原子又はメチル基を示す。R
8
は水素原子又は-COOM(Mは水素原子若しくはアルカリ金属原子)を示す。Xは-COO-R
15
-、-CON(R
16
)-R
17
-又は-CH
2
-を示す(R
15
及びR
17
は、それぞれ独立に炭素数1~3のアルキレン基、又は炭素数1~3のヒドロキシアルキレン基、R
16
は水素原子又は炭素数1~3のアルキル基を示す。)。但し、Xが-CH
2
-である場合、R
9
、R
10
及びR
11
はそれぞれ独立に下記一般式(3)で示される基、炭素数1~3のアルキル基、又は炭素数1~3のヒドロキシアルキル基であり、Xが-CH
2
-でない場合、R
9
、R
10
及びR
11
はそれぞれ独立に炭素数1~3のアルキル基、又は炭素1~3のヒドロキシアルキル基である。Q
-
は有機又は無機の陰イオンである。)
TIFF
2025176441000017.tif
39
102
(式(3)中、R
12
、R
13
及びR
14
はそれぞれ独立に水素原子又はメチル基を示す。)
【請求項3】
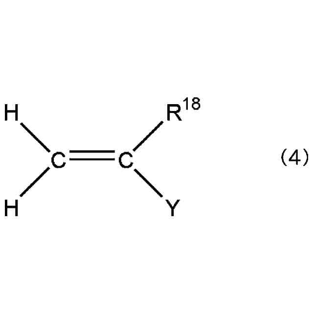
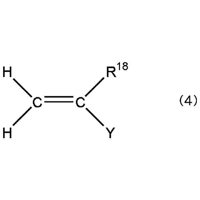
前記単量体(B)が下記一般式(4)で示される化合物を含む、請求項1に記載の吸水加工剤。
TIFF
2025176441000018.tif
48
102
(式(4)中、R
18
は水素原子又はメチル基を示す。Yは-COO-R
19
、-CON(R
20
)R
19
、又は、-CH
2
O-R
19
で表される基を示す(R
19
は-(C
z
H
2z
O)
n
R
21
であり、nは1以上100以下の数であり、zは2以上4以下の数である。R
21
は水素原子又は炭素数1以上4以下のアルキル基である。)。
【請求項4】
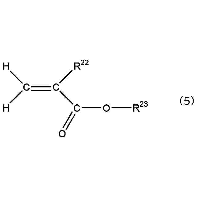
前記単量体(C)が下記一般式(5)で示される化合物を含む、請求項1に記載の吸水加工剤。
TIFF
2025176441000019.tif
43
102
(式(5)中、R
22
は水素原子又はメチル基を示す。R
23
は炭素数12以上30以下のアルキル基を示す。)。
【請求項5】
前記吸水加工剤の不揮発分に占める前記重合体(P)の割合が57質量%以上である、請求項1に記載の吸水加工剤。
【請求項6】
非イオン界面活性剤を含有する、請求項1に記載の吸水加工剤。
【請求項7】
カチオン界面活性剤を含有する、請求項1に記載の吸水加工剤。
【請求項8】
前記重合性成分に占める、前記単量体(A)及び前記単量体(B)の合計の割合が80質量%以上である、請求項1に記載の吸水加工剤。
【請求項9】
不揮発分濃度1質量%水溶液とした時の25℃における光路長10mm、波長670nmの光透過率が40%以上である、請求項1に記載の吸水加工剤。
【請求項10】
請求項1~9のいずれかに記載の吸水加工剤が付着した、繊維製品。
(【請求項11】以降は省略されています)
発明の詳細な説明
【技術分野】
【0001】
本発明は洗濯耐久性に優れた吸水性を付与できる吸水加工剤、当該吸水加工剤が付着した繊維製品、及び、当該吸水加工剤を用いた繊維製品の製造方法に関する。
続きを表示(約 3,200 文字)
【背景技術】
【0002】
ポリエステルやアクリルなどの合成繊維は優れた特性を持つために産業用、インテリア用、衣料用などの多くの分野で使用されているが、合成繊維は綿や麻などの天然繊維に比べて吸湿性や吸水性が劣るため、衣料用として使用した場合、吸水性(吸汗性)が不足する場合がある。
【0003】
このような吸水性の問題を解決するために、例えば、特許文献1には、アクリロニトリルと特定の非イオンモノマーとの共重合物に特定のカチオン成分を配合した組成物が示されている。
また、特許文献2には、親水性ポリエステルと特定の芳香族化合物を併用処理することで、ポリエステル繊維に吸水性及び洗濯耐久性を付与する方法が示されている。
しかし、これら従来の加工剤では、吸水性を付与することができる繊維種が限定される場合があるため汎用性に劣り、その吸水性の洗濯耐久性も不足する場合があった。
特開2013-083023号公報
特開2011-032608号公報
【発明の概要】
【発明が解決しようとする課題】
【0004】
本発明の目的は、洗濯耐久性に優れた吸水性を付与できる吸水加工剤、当該吸水加工剤を付与して得られる繊維製品、及び当該吸水加工剤で処理する工程を含む繊維製品の製造方法を提供することである。
【課題を解決するための手段】
【0005】
本発明者らは、上記課題を解決するために鋭意検討した結果、特定の重合体を含有する吸水加工剤であれば、上記課題を解決できることを見出した。
【0006】
すなわち、本発明の吸水加工剤は、下記の態様を含むものである。
<1>
下記単量体(A)、下記単量体(B)、及び、任意で下記単量体(C)を含む重合性成分の重合体(P)を含有する、吸水加工剤であり、前記重合性成分に占める前記単量体(A)及び前記単量体(B)の合計の割合が61~100質量%であり、前記重合性成分に占める前記単量体(C)の割合が12質量%以下である、吸水加工剤。
単量体(A):第1級アミノ基、第2級アミノ基、第3級アミノ基及び4級アンモニウム基から選ばれる少なくとも1種を有する単量体
単量体(B):ポリオキシアルキレン基を有する単量体
単量体(C):炭素数12以上30以下のアルキル基を有する単量体(但し、前記単量体(A)及び前記単量体(B)を除く)
<2>
前記単量体(A)が下記一般式(1)で示される化合物、及び、下記一般式(2)で示される化合物から選ばれる少なくとも1種を含む、<1>に記載の吸水加工剤。
TIFF
2025176441000001.tif
38
102
(式(1)中、R
1
及びR
2
はそれぞれ独立に水素原子又はメチル基を示す。R
3
は水素原子又は-COOM(Mは水素原子若しくはアルカリ金属原子)を示す。Xは-COO-R
15
-、-CON(R
16
)-R
17
-又は-CH
2
-を示す(R
15
及びR
17
は、それぞれ独立に炭素数1~3のアルキレン基、又は炭素数1~3のヒドロキシアルキレン基、R
16
は水素原子又は炭素数1~3のアルキル基を示す。)。但し、Xが-CH
2
-である場合、R
4
及びR
5
はそれぞれ独立に下記一般式(3)で示される基、炭素数1~3のアルキル基、炭素数1~3のヒドロキシアルキル基又は水素原子であり、Xが-CH
2
-でない場合、R
4
及びR
5
はそれぞれ独立に炭素数1~3のアルキル基、炭素1~3のヒドロキシアルキル基又は水素原子である。)
TIFF
2025176441000002.tif
58
137
(式(2)中、R
6
及びR
7
はそれぞれ独立に水素原子又はメチル基を示す。R
8
は水素原子又は-COOM(Mは水素原子若しくはアルカリ金属原子)を示す。Xは-COO-R
15
-、-CON(R
16
)-R
17
-又は-CH
2
-を示す(R
15
及びR
17
は、それぞれ独立に炭素数1~3のアルキレン基、又は炭素数1~3のヒドロキシアルキレン基、R
16
は水素原子又は炭素数1~3のアルキル基を示す。)。但し、Xが-CH
2
-である場合、R
9
、R
10
及びR
11
はそれぞれ独立に下記一般式(3)で示される基、炭素数1~3のアルキル基、又は炭素数1~3のヒドロキシアルキル基であり、Xが-CH
2
-でない場合、R
9
、
R
10
及びR
11
はそれぞれ独立に炭素数1~3のアルキル基、又は炭素1~3のヒドロキシアルキル基である。Q
-
は有機又は無機の陰イオンである。)
TIFF
2025176441000003.tif
39
102
(式(3)中、R
12
、R
13
及びR
14
【発明の効果】
【0007】
本発明の吸水加工剤は、洗濯耐久性に優れた吸水性を付与できる。
本発明の吸水加工剤を付与して得られる繊維製品は洗濯耐久性に優れた吸水性を有する。
本発明の吸水加工剤で処理する工程を含む繊維製品の製造方法によれば、洗濯耐久性に優れた吸水性を有する繊維製品が得られる。
【発明を実施するための形態】
【0008】
本発明の吸水加工剤は、単量体(A)、単量体(B)、及び、任意で単量体(C)を含む重合性成分の重合体(P)を含有する。以下詳細に説明する。
【0009】
〔単量体(A)〕
単量体(A)は重合性成分に含まれるものであり、第1級アミノ基、第2級アミノ基、第3級アミノ基及び4級アンモニウム基から選ばれる少なくとも1種を有する単量体である。単量体(A)としては特に限定はないが、吸水性及び風合いの点で、第3級アミノ基及び4級アンモニウム基から選ばれる少なくとも1種を有すると好ましく、第3級アミノ基がより好ましい。
単量体(A)としては、特に限定はないが、吸水性及び風合いの点で、下記一般式(1)で示される化合物及び下記一般式(2)で示される化合物から選ばれる少なくとも1種を含むと好ましく、下記一般式(1)で示される化合物を含むと好ましい。単量体(A)は、1種又は2種以上を併用してもよい。
単量体(A)は、エチレン性不飽和二重結合を分子内に1つ有する単官能単量体、及び、エチレン性不飽和二重結合を分子内に複数有する架橋剤系単量体のいずれであってもよいが、重合体の溶液安定性の点で、エチレン性不飽和二重結合を分子内に1つ有する単官能単量体を含むと好ましい。
【0010】
TIFF
2025176441000006.tif
38
102
(【0011】以降は省略されています)
この特許をJ-PlatPat(特許庁公式サイト)で参照する
関連特許
松本油脂製薬株式会社
炭素繊維前駆体用処理剤及びその用途
6日前
松本油脂製薬株式会社
炭素繊維前駆体用処理剤及びその用途
3か月前
松本油脂製薬株式会社
組成物、発泡成形体及びマスターバッチ
1か月前
松本油脂製薬株式会社
吸水加工剤、繊維製品及び繊維製品の製造方法
今日
松本油脂製薬株式会社
成形用組成物、成形体、造孔材及び成形用マスターバッチ
1か月前
松本油脂製薬株式会社
透水性付与剤及びその利用
1日前
株式会社カネカ
断熱材
27日前
東ソー株式会社
ペレット
1か月前
ユニチカ株式会社
透明シート
3か月前
株式会社カネカ
硬化性組成物
4か月前
ユニチカ株式会社
透明シート
2か月前
株式会社コバヤシ
成形体
2か月前
東レ株式会社
熱硬化性樹脂組成物
3か月前
丸住製紙株式会社
変性パルプ
2か月前
東レ株式会社
引抜成形品の製造方法
3か月前
東ソー株式会社
プラスチゾル組成物
27日前
東レ株式会社
ポリエステルフィルム
1か月前
東レ株式会社
ポリエステルフィルム
2か月前
東ソー株式会社
ゴム用接着性改質剤
1か月前
住友精化株式会社
吸水剤の製造方法
2か月前
花王株式会社
樹脂組成物
4か月前
横浜ゴム株式会社
重荷重タイヤ
2か月前
東レ株式会社
ポリオレフィン微多孔膜
4か月前
東ソー株式会社
エチレン系重合用触媒
1か月前
東ソー株式会社
樹脂組成物および蓋材
2か月前
東レ株式会社
ポリプロピレンフィルム
2か月前
東ソー株式会社
樹脂組成物および蓋材
2か月前
日本特殊陶業株式会社
樹脂成形体
2か月前
アイカ工業株式会社
光硬化性樹脂組成物
2か月前
UBE株式会社
衝撃吸収材
2か月前
株式会社スリーボンド
硬化性樹脂組成物
2か月前
株式会社コバヤシ
光硬化性組成物
4か月前
住友化学株式会社
樹脂組成物
2か月前
住友ベークライト株式会社
ポリマー
1か月前
株式会社カネカ
シーリング材
1か月前
株式会社カネカ
硬化性組成物
2か月前
続きを見る
他の特許を見る