TOP
|
特許
|
意匠
|
商標
特許ウォッチ
Twitter
他の特許を見る
10個以上の画像は省略されています。
公開番号
2025175434
公報種別
公開特許公報(A)
公開日
2025-12-03
出願番号
2024081542
出願日
2024-05-20
発明の名称
ステージ装置、それを備えた荷電粒子線装置
出願人
株式会社日立ハイテク
代理人
ポレール弁理士法人
主分類
H01J
37/20 20060101AFI20251126BHJP(基本的電気素子)
要約
【課題】
固定側のステージにペルチェ素子を配置する方式でも、ステージの熱変形を防止でき、ステージが位置決めする上での位置精度を高めることが可能となるステージ装置、それを備えた荷電粒子線装置を提供すること。
【解決手段】
直線移動する第1のステージと、第1のステージの直線移動する方向に伸びる、櫛歯状の断面形状を有する第1のフィンと、第1のフィンと対向配置される第2のフィンを有し、第1のステージから見て固定される第2のステージと、第1のフィンと第2のフィンの間で非接触の関係を保ちながら伝熱を行う伝熱機構を有し、第2のフィンと第2のステージの間にペルチェモジュールを備え、ペルチェモジュールの一方の伝熱面は第2のフィンに接し、もう一方の伝熱面は、第2のステージに接し、ペルチェモジュールにより第2のフィンの温度を制御する制御部を備えたステージ装置、それを備えた荷電粒子線装置。
【選択図】図1
特許請求の範囲
【請求項1】
直線移動する第1のステージと、
前記第1のステージの前記直線移動する方向に伸びる、櫛歯状の断面形状を有する第1のフィンと、
前記第1のフィンと対向配置される第2のフィンを有し、前記第1のステージから見て固定される第2のステージと、
前記第1のフィンと前記第2のフィンの間で非接触の関係を保ちながら伝熱を行う伝熱機構を有するステージ装置であって、
前記第2のフィンと前記第2のステージの間に第1のペルチェモジュールを備え、該第1のペルチェモジュールの一方の伝熱面は該第2のフィンに接し、もう一方の伝熱面は、該第2のステージに接し、
前記第1のペルチェモジュールにより前記第2のフィンの温度を制御することで、前記第1のステージ側の前記第1のフィンとの間で起きる伝熱を制御する制御部を備えた、
ことを特徴とするステージ装置。
続きを表示(約 1,500 文字)
【請求項2】
請求項1記載のステージ装置において、
前記第2のステージに備える前記第1のペルチェモジュールが複数存在し、複数の該第1のペルチェモジュールは前記第1のステージの前記直線移動する方向に並べて配置され、
前記制御部は、該第2のステージに設置される前記第2のフィンの温度が、該第1のステージの該直線移動の方向に対して概ね均一となるよう、複数の該第1のペルチェモジュールのそれぞれに流す電流を調整する、
ことを特徴とするステージ装置。
【請求項3】
請求項2記載のステージ装置において、
前記制御部は、複数の前記第1のペルチェモジュールのそれぞれの吸熱面と放熱面の温度差に起因して生じる熱起電力を利用し、前記第2のステージの前記第2のフィンの温度が概ね均一となるように制御する、
ことを特徴とするステージ装置。
【請求項4】
請求項3記載のステージ装置において、
前記制御部は、複数の前記第1のペルチェモジュールに電流を供給するための並列回路を有し、複数の該第1のペルチェモジュールのそれぞれを、略同一の電圧で駆動するよう制御する、
ことを特徴とするステージ装置。
【請求項5】
請求項2記載のステージ装置において、
前記第1のステージの温度を計測する温度計測部を有し、
前記制御部は、前記温度計測部で測定された前記第1のステージの温度が予め設定された目標温度となるよう、複数の前記第1のペルチェモジュールに流す電流を制御し、前記第2のステージの前記第2のフィンの温度を変化させるように制御する、
ことを特徴とするステージ装置。
【請求項6】
請求項1記載のステージ装置において、
前記第2のステージは、前記第1のステージを伴って移動可能な下段ステージとなっており、
前記第1のステージと前記第2のステージの移動方向が略直交することで該第1のステージが2次元的に移動可能である、
ことを特徴とするステージ装置。
【請求項7】
請求項6記載のステージ装置において、
前記第2のステージから見た固定部が、櫛歯状の断面形状を有する第3のフィンを有し、
前記固定部が、前記第3のフィンと対向する第4のフィンを有し、該第3のフィンと該第4のフィンの間での伝熱により、前記第2のステージの熱を前記固定部に伝熱を促進する構成となっている、
ことを特徴とするステージ装置。
【請求項8】
請求項7記載のステージ装置において、
前記第2のステージと前記固定部にかけての伝熱を促進するための第2のペルチェモジュールを備え、
前記制御部は、前記第2のステージの温度を設定した目標温度になるよう前記第2のペルチェモジュールを制御する、
ことを特徴とするステージ装置。
【請求項9】
請求項8記載のステージ装置において、
前記第1のステージは前記第2のステージに対して浮上した状態で使用され、
前記第2のステージは前記固定部に設けられたガイドレールに接触しながら移動する、
ことを特徴とするステージ装置。
【請求項10】
請求項9記載のステージ装置において、
前記第1のステージは磁力によって前記第2のステージから浮上する磁気浮上ステージであり、
かつ、該第1のステージは、リニアモータにより直線移動し、該リニアモータはムービングコイル式のリニアモータである、
ことを特徴とするステージ装置。
(【請求項11】以降は省略されています)
発明の詳細な説明
【技術分野】
【0001】
本発明は、ステージ装置、それを備えた荷電粒子線装置に関する。
続きを表示(約 2,500 文字)
【背景技術】
【0002】
半導体製品においては集積度が年々向上し、その回路パターンは年々高精細化が進められている。回路パターンが形成された半導体ウェハに対しては、品質管理、歩留まり向上を目的に様々な検査手段が用いられている。その手段の1つとして、走査型電子顕微鏡を利用して半導体ウェハを撮影し、得られた画像から回路パターンの検査を行う技術が知られている。
【0003】
半導体ウェハのような試料においては、回路パターンが高密度で形成されているため、走査型電子顕微鏡用のステージ装置においては特に高い位置精度が求められる。
【0004】
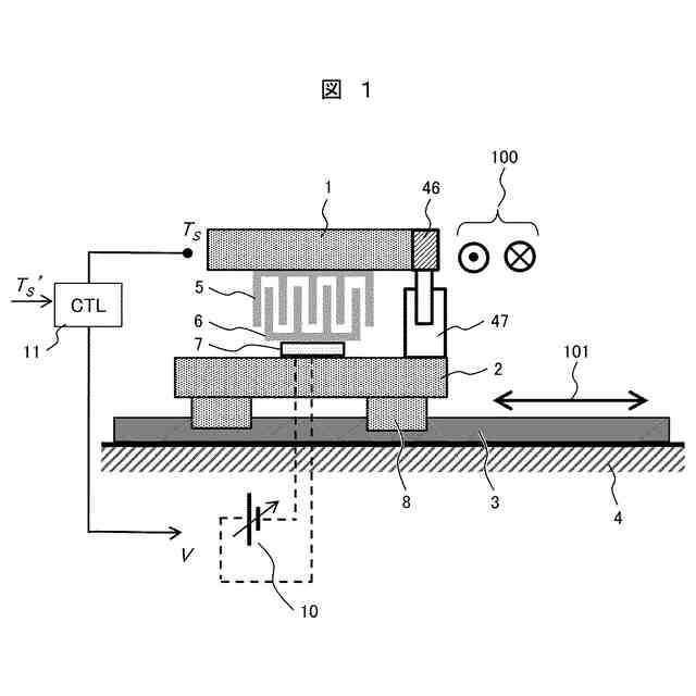
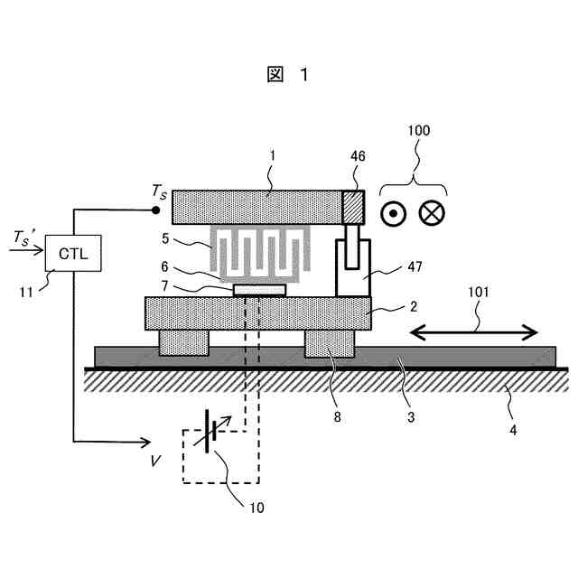
ステージ装置の位置精度を高めるための一手法として、浮上ステージを用いて振動伝播を防ぎ、振動による位置誤差を防止する技術がある。しかし、走査顕微鏡用のステージ装置は真空空間で使用するため、浮上ステージ化すると、ステージの放熱がやりにくくなる。ステージの放熱ができないと、ステージ内で生じる発熱によってステージ温度が変化し、それによる熱変形によって位置精度が悪化してしまう。そこで浮上ステージを積極的に冷却することで位置精度を高める技術が特許文献1に記載されている。特許文献1では、ステージの温度上昇を抑制して熱変形を防ぐことで位置精度をより高めるため、真空中にある磁気浮上ステージに対して、黒体の面を作り、その黒体面に対して非接触の状態でふく射板を置き、さらにそのふく射板を裏からペルチェ素子を用いて冷却し、さらにそのペルチェ素子の反対面を冷却板で冷却することでステージの熱変形を抑制する技術が示されている。また、特許文献1では、別の実施形態として、ペルチェ素子を磁気浮上ステージの上側に配置し、それを平面上に分割配置し、ステージの平面的な位置に応じてペルチェ素子を駆動し、効果的な冷却を行うことも示されている。
【0005】
一方、ふく射伝熱(=放射伝熱)は固体の熱伝導に比べると一般的に伝熱性が弱く、同じ温度差があった場合、ふく射伝熱の方が固体の熱伝導より熱流束が小さくなり易い。この課題を解決する手段の1つとして、特許文献2がある。特許文献2では、放射伝熱を行う面の面積を増やすため、断面形状を櫛歯状にしたフィンを向かい合わせに配置し、両フィンの間で放射伝熱を行うことで、空間あたりの伝熱面積を増やしている。また、このフィンはステージが移動する方向に伸びていることで、ステージが移動してもフィンどうしが干渉しないようにしている。また、特許文献2では、固定側に対して相対移動するステージの側にペルチェ素子を配置することが示されている。移動するステージの固定側にペルチェ素子を配置すると、ペルチェ素子と移動ステージの相対的な位置関係が常に変化するが、移動ステージ側にペルチェ素子を配置する場合は、相対的な位置関係が固定され、維持される。このことは、ステージがどれだけ動き回ってもペルチェ素子の相対位置が変わらないこと意味するため、ステージの温度制御をする上で、大きなメリットとなる。
【先行技術文献】
【特許文献】
【0006】
特開2003-058258号公報
特開2006-351741号公報
【発明の概要】
【発明が解決しようとする課題】
【0007】
特許文献2のように、移動するステージの側にペルチェ素子を配置すると、ペルチェ素子を働かせるために必要な電力の分の熱量も放射伝熱によって固定側に伝える必要がある。一方、特許文献1のように固定側にペルチェ素子を配置する場合は、ペルチェ素子が消費する電力分の熱量を放射伝熱させる必要がない。よって、移動するステージの側にペルチェ素子を配置する方式は、固定側にペルチェ素子を配置する方式に比べると、放射伝熱の負荷が大きくなるというデメリットがある。
【0008】
また、特許文献1のように固定側にペルチェ素子を配置し、特許文献2のように櫛歯状のフィンを向かい合わせて利用する場合は、フィンの温度変化の際に生じる時間遅れのために、ステージ温度を適切に制御することが難しくなるという課題が生じる。
【0009】
一般的な装置では、ステージがある場所にとどまっていてから、次の場所に移動するまでの時間はそれほど長くない。固定側にペルチェを配置する場合は、ステージが位置移動すると、移った先に配置されているペルチェ素子がステージを冷却するように制御系が対応する必要がある。しかし、ペルチェ素子がフィンを冷却し、向かい合ったフィンどうしの温度差を増やすことで放射伝熱を増やし、ステージを冷却する場合、ペルチェ素子が吸熱量を増やしてから、冷却されるフィンの温度が下がるまでに、フィンの熱容量がある分だけ時間遅れが生じる。よって、ステージが移ってきてから、ペルチェが吸熱量を増やし、フィン温度を下げることで、ステージを冷却しようとしても、ステージを冷却できる程度にフィン温度が下がった時には、ステージは次の場所に移ってしまい、適切にステージを冷却することができないという問題が生じる。この問題は、特許文献2のように移動する側にペルチェ素子を配置する場合は、ステージ移動にペルチェ素子が追従するので問題にならない。しかし、その構成では固定側にペルチェ素子を配置する方式に比べて放射伝熱の負荷が大きいという課題がある。
【0010】
特許文献1のようにフィンを用いず、ペルチェ素子の吸熱面をそのまま放射伝熱面とする場合は、ペルチェ素子の電流を変化させた時に、ステージから吸い取る熱量が即座に変化するため、上記のような遅れが問題にはならないが、固定側にペルチェ素子を配置した上で、櫛歯状のフィンを利用する方式では、ステージが場所を移していく時間間隔に比べて、温度制御系の時間遅れが大きいことで、ステージの温度制御が難しいという特有の課題を抱えることになる。
(【0011】以降は省略されています)
この特許をJ-PlatPat(特許庁公式サイト)で参照する
関連特許
株式会社日立ハイテク
分散制御システム
4日前
株式会社日立ハイテク
ロボット教示装置
4日前
株式会社日立ハイテク
セキュリティ分析装置および方法
12日前
株式会社日立ハイテク
セキュリティ対策管理装置および方法
18日前
株式会社日立ハイテク
ステージ装置、それを備えた荷電粒子線装置
5日前
株式会社日立ハイテク
ステージ装置、荷電粒子線装置および真空装置
4日前
株式会社日立ハイテク
自動培養装置、それを複数用いた自動培養システム
18日前
株式会社日立ハイテク
分析装置
20日前
日機装株式会社
加圧装置
3日前
日新イオン機器株式会社
イオン源
3日前
三菱電機株式会社
回路遮断器
26日前
富士電機株式会社
電磁接触器
18日前
株式会社GSユアサ
蓄電装置
18日前
トヨタ自動車株式会社
蓄電装置
10日前
個人
電源ボックス及び電子機器
3日前
株式会社トクミ
ケーブル
4日前
株式会社東芝
電子源
3日前
大電株式会社
電線又はケーブル
10日前
ホシデン株式会社
複合コネクタ
12日前
ローム株式会社
半導体モジュール
19日前
矢崎総業株式会社
コネクタ
18日前
ヒロセ電機株式会社
電気コネクタ
18日前
住友電装株式会社
コネクタ
18日前
株式会社レゾナック
冷却器
26日前
日本特殊陶業株式会社
アンテナ装置
5日前
株式会社デンソー
半導体装置
18日前
株式会社パロマ
監視システム
10日前
日本特殊陶業株式会社
アンテナ装置
5日前
日本航空電子工業株式会社
コネクタ
3日前
矢崎総業株式会社
端子
10日前
三菱電機株式会社
半導体装置
3日前
日本特殊陶業株式会社
アンテナ装置
5日前
トヨタ自動車株式会社
蓄電装置構造
4日前
矢崎総業株式会社
バスバー電線
11日前
矢崎総業株式会社
バスバー電線
11日前
株式会社ダイヘン
電圧調整装置
5日前
続きを見る
他の特許を見る