TOP
|
特許
|
意匠
|
商標
特許ウォッチ
Twitter
他の特許を見る
10個以上の画像は省略されています。
公開番号
2025175125
公報種別
公開特許公報(A)
公開日
2025-11-28
出願番号
2025157243,2021052021
出願日
2025-09-22,2021-03-25
発明の名称
軒樋、軒樋システム、及び軒樋梱包体
出願人
積水化学工業株式会社
代理人
個人
,
個人
,
個人
,
個人
主分類
E04D
13/064 20060101AFI20251120BHJP(建築物)
要約
【課題】梱包性を向上させた軒樋を提供する。
【解決手段】底板21と、底板の幅方向Yの両端から、底板の厚さ方向Zの一方側Z1に向かってそれぞれ立ち上がる一対の側板22Aと、底板及び一対の側板の少なくとも1つに設けられた底上げ部23Aと、を備える軒樋20であって、底板の厚さ方向の一方側の外面における幅方向の長さが、120mm以上であり、軒樋に対する厚さ方向の一方側又は厚さ方向の他方側Z2に、別の軒樋である第2軒樋20aを重ねて配置したときに、第2軒樋の底板が軒樋の底上げ部に接触する。
【選択図】図2
特許請求の範囲
【請求項1】
底板と、
前記底板の幅方向の両端から、前記底板の厚さ方向の一方側に向かってそれぞれ立ち上がる一対の側板と、
前記底板及び前記一対の側板の少なくとも1つに設けられた底上げ部と、
を備える軒樋であって、
前記底板の前記厚さ方向の前記一方側の外面における前記幅方向の長さが、120mm以上であり、
前記軒樋に対する前記厚さ方向の前記一方側又は前記厚さ方向の他方側に、別の前記軒樋である第2軒樋を重ねて配置したときに、前記第2軒樋の前記底板が前記軒樋の前記底上げ部に接触する軒樋。
続きを表示(約 1,200 文字)
【請求項2】
前記底上げ部は、前記底板に設けられている請求項1に記載の軒樋。
【請求項3】
前記底上げ部は、
前記底板から前記厚さ方向の前記一方側に向かって延びる少なくとも2つの側板片と、
前記少なくとも2つの側板片における前記厚さ方向の前記一方側の端部同士を連結し、前記底板に沿って延びる天板片と、
を備える請求項2に記載の軒樋。
【請求項4】
前記底上げ部に内部空間又は窪みが形成されている請求項1又は2に記載の軒樋。
【請求項5】
前記底板に形成された第1係合部と、
前記底上げ部に形成され、前記第1係合部に対して、前記軒樋の長手方向及び前記幅方向の少なくとも一方に係合する第2係合部と、
を備える請求項1から3のいずれか一項に記載の軒樋。
【請求項6】
前記一対の側板は、それぞれ平板状である請求項1から5のいずれか一項に記載の軒樋。
【請求項7】
前記軒樋に対する前記厚さ方向の前記一方側に、前記第2軒樋を重ねて配置するときに、前記第2軒樋における前記底板と前記側板とを接続するコーナー部が引っかかる凹凸が、前記一対の側板それぞれに設けられていない請求項6に記載の軒樋。
【請求項8】
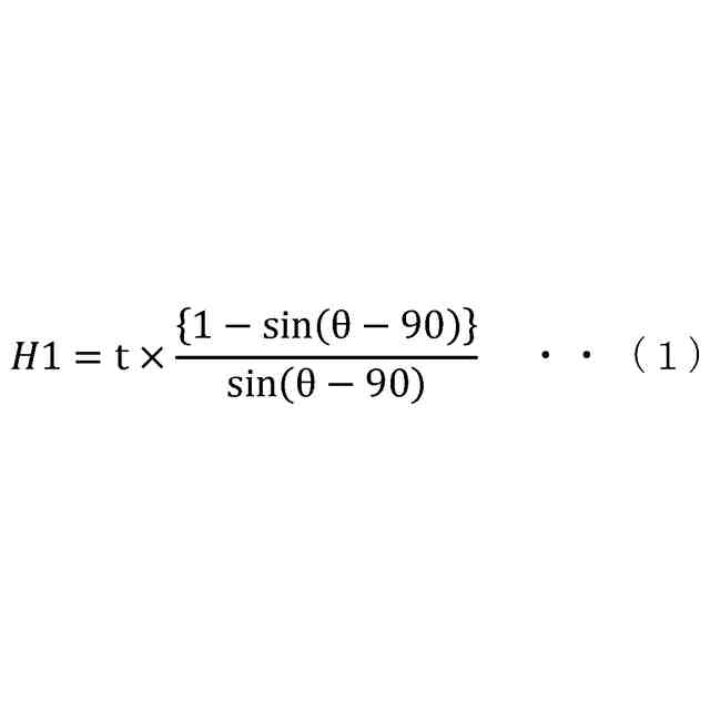
前記底上げ部における前記底板から前記厚さ方向に最も離間した部分と、前記底板との前記厚さ方向の距離が、(1)式による第1閾値H1mm以上である請求項1から5のいずれか一項に記載の軒樋。
ただし、前記底板の厚さ及び前記一対の側板の厚さはそれぞれtmmであり、前記一対の側板の前記軒樋の内側の外面と前記底板の前記外面とのなす角度はそれぞれθ°である。
TIFF
2025175125000010.tif
15
170
【請求項9】
前記一対の側板の少なくとも一方に設けられ、前記軒樋の外側に向かって突出する突部を備え、
前記突部の前記厚さ方向の長さは、前記第1閾値H1以下である請求項8に記載の軒樋。
【請求項10】
複数の軒樋と、
前記複数の軒樋間に配置された底上げ部材と、
を備える軒樋システムであって、
それぞれの前記軒樋は、
底板と、
前記底板の幅方向の両端から、前記底板の厚さ方向の一方側に向かってそれぞれ立ち上がる一対の側板と、
を備え、
前記底板の前記厚さ方向の前記一方側の外面における前記幅方向の長さが、120mm以上であり、
前記複数の軒樋は、前記厚さ方向に重ねて配置され、
前記底上げ部材は、前記厚さ方向に隣り合う一対の前記軒樋の前記底板にそれぞれ接触するように配置されている軒樋システム。
(【請求項11】以降は省略されています)
発明の詳細な説明
【技術分野】
【0001】
本発明は、軒樋、軒樋システム、及び軒樋梱包体に関する。
続きを表示(約 1,900 文字)
【背景技術】
【0002】
従来、建築物の屋根に降った雨水を受けるのに、軒樋が用いられている(例えば、特許文献1参照)。工場等で製造された複数の軒樋は、クラフト紙(シート)等で梱包されて軒樋梱包体となる。特許文献1の軒樋梱包体では、4本の軒樋が、開口部を互いに嵌め合わされて集束された状態で梱包されている。
そして、この軒樋梱包体の状態で、例えば軒樋の施工現場に運搬される。
【先行技術文献】
【特許文献】
【0003】
特開2005-186962号公報
【発明の概要】
【発明が解決しようとする課題】
【0004】
物流倉庫等の大型の建築物に用いられる大型の軒樋では、一般的に軒樋は以下のように構成されている。すなわち、軒樋は、底板と、底板の幅方向の両端から、底板の厚さ方向の一方側に向かってそれぞれ立ち上がる一対の側板と、を備えている。
しかしながら、この種の軒樋では、複数の軒樋を梱包して軒樋梱包体を構成した際に、軒樋梱包体の体積が大きくなる(梱包性が悪い)という問題がある。
【0005】
本発明は、このような問題点に鑑みてなされたものであって、梱包性を向上させた軒樋、軒樋システム、及び軒樋梱包体を提供することを目的とする。
【課題を解決するための手段】
【0006】
前記課題を解決するために、この発明は以下の手段を提案している。
本発明の軒樋は、底板と、前記底板の幅方向の両端から、前記底板の厚さ方向の一方側に向かってそれぞれ立ち上がる一対の側板と、前記底板及び前記一対の側板の少なくとも1つに設けられた底上げ部と、を備える軒樋であって、前記底板の前記厚さ方向の前記一方側の外面における前記幅方向の長さが、120mm以上であり、前記軒樋に対する前記厚さ方向の前記一方側又は前記厚さ方向の他方側に、別の前記軒樋である第2軒樋を重ねて配置したときに、前記第2軒樋の前記底板が前記軒樋の前記底上げ部に接触することを特徴としている。
【0007】
この発明によれば、底板の外面の長さが120mm以上であるため、軒樋を物流倉庫等に用いられる大型の軒樋として用いることができる。
複数の軒樋を梱包する際に、複数の軒樋を、厚さ方向に重ねて配置する。この際に、軒樋の底上げ部が、この軒樋に対して厚さ方向の一方側又は他方側に隣り合う第2軒樋の底板に接触する。このため、例えば厚さ方向が上下方向に沿うように配置したときに、軒樋及び第2軒樋の一方に作用する重力による荷重を、互いに接触する底上げ部及び底板により支持することができる。従って、軒樋の一対の側板と第2軒樋の一対の側板との間に作用する荷重を抑え、軒樋及び第2軒樋を厚さ方向に重ねて配置したときに、軒樋及び第2軒樋の一対の側板が互いに開くように変形したり閉じるように変形するのを抑えることができる。これにより、厚さ方向に重ねられた複数の軒樋を梱包して軒樋梱包体を構成した際に、梱包性を向上させることができる。
【0008】
また、前記軒樋において、前記底上げ部は前記底板に設けられていてもよい。
この発明によれば、一対の側板に底上げ部が設けられないため、底上げ部に作用する荷重が一対の側板に伝達されて一対の側板が変形するのを、より確実に抑えることができる。
【0009】
また、前記軒樋において、前記底上げ部は、前記底板から前記厚さ方向の前記一方側に向かって延びる少なくとも2つの側板片と、前記少なくとも2つの側板片における前記厚さ方向の前記一方側の端部同士を連結し、前記底板に沿って延びる天板片と、を備えてもよい。
この発明によれば、底上げ部における天板片及び少なくとも2つの側板片により囲われた部分に窪みを形成し、同一の外形の底上げ部であっても、底上げ部の質量を軽くすることができる。さらに、天板片における底板とは反対側の外面が平坦であることで、複数の軒樋を厚さ方向に重ねて配置する際に、この天板片を備える軒樋に対して厚さ方向の一方側に隣り合う軒樋を、安定して支持することができる。
【0010】
また、前記軒樋において、前記底板に形成された第1係合部と、前記底上げ部に形成され、前記第1係合部に対して、前記軒樋の長手方向及び前記幅方向の少なくとも一方に係合する第2係合部と、を備えてもよい。
この発明によれば、第1係合部と第2係合部とが係合することで、軒樋の底上げ部に対して第2軒樋の底板を、長手方向及び幅方向の少なくとも一方に係合させることができる。
(【0011】以降は省略されています)
この特許をJ-PlatPat(特許庁公式サイト)で参照する
関連特許
積水化学工業株式会社
太陽電池設置構造
12日前
積水化学工業株式会社
太陽電池設置構造
12日前
積水化学工業株式会社
太陽電池設置構造
12日前
積水化学工業株式会社
基板積層体の製造方法
24日前
積水化学工業株式会社
太陽電池モジュールの取付構造
12日前
積水化学工業株式会社
竪樋支持具および排水システム
27日前
積水化学工業株式会社
熱膨張性マイクロカプセル用組成物
26日前
積水化学工業株式会社
ポリオルガノシロキサン、樹脂組成物
3日前
積水化学工業株式会社
超音波トランスデューサおよび超音波センサ
12日前
積水化学工業株式会社
超音波トランスデューサ、及び超音波センサ
12日前
積水化学工業株式会社
継手
17日前
積水化学工業株式会社
継手
24日前
積水化学工業株式会社
ガス製造装置
3日前
積水化学工業株式会社
光ファイバ担持管梱包体および光ファイバ担持管梱包体用の支持部材
19日前
積水化学工業株式会社
集合継手及び配管構造
24日前
積水化学工業株式会社
アダプタおよび継手構造
11日前
積水化学工業株式会社
電気融着継手、配管システム、配管付き電気融着継手、及び配管更生構造
27日前
積水化学工業株式会社
多口継手及び配管システム
11日前
積水化学工業株式会社
還元剤およびガスの製造方法
11日前
積水化学工業株式会社
ドレン部材、軒樋、及び雨樋
17日前
積水化学工業株式会社
雨樋用曲がり配管及び雨樋システム
24日前
積水化学工業株式会社
軒樋、軒樋システム、及び軒樋梱包体
3日前
積水化学工業株式会社
ポリオール含有組成物、発泡性ポリウレタン組成物及びポリウレタンフォーム
3日前
個人
接合構造
1か月前
個人
タッチミー
1か月前
個人
屋台
2か月前
個人
野良猫ハウス
2か月前
個人
フェンス
3か月前
個人
安心補助てすり
1か月前
個人
転落防止用手摺
2か月前
個人
地下型マンション
5か月前
積水樹脂株式会社
柵体
2か月前
ニチハ株式会社
建築板
3か月前
個人
居住車両用駐車場
3か月前
個人
ベンリナアングル
1か月前
個人
筋交自動設定装置
2か月前
続きを見る
他の特許を見る