TOP
|
特許
|
意匠
|
商標
特許ウォッチ
Twitter
他の特許を見る
10個以上の画像は省略されています。
公開番号
2025172406
公報種別
公開特許公報(A)
公開日
2025-11-26
出願番号
2024077898
出願日
2024-05-13
発明の名称
トランス装置及び受配電設備
出願人
河村電器産業株式会社
代理人
個人
,
個人
,
個人
,
個人
主分類
H02M
5/10 20060101AFI20251118BHJP(電力の発電,変換,配電)
要約
【課題】奇数高調波成分を好適に除去できる。
【解決手段】トランス装置は、1次側に入力される3相交流の2次側に出力するU相、V相、及びW相にそれぞれ対応するR相コア、S相コア、及びT相コアに巻かれた主巻線である、R相主巻線、S相主巻線、及びT相主巻線と、R相コア、S相コア、及びT相コアに巻かれた、除去対象の高調波の数に応じた数の分岐巻線である、R相分岐巻線、S相分岐巻線、及びT相分岐巻線と、を備え、それぞれの主巻線から出力される電圧と、それぞれの分岐巻線から出力される電圧を2つずつに分けることにより定められたペアにおいて、ペアに含まれる電圧の位相差であるペア位相差は、除去対象の高調波の次数に応じた値であり、出力される電圧のうち、位相差が略120[°]である電圧は、同一の系統に供給され、それぞれのペアにおいて、ペアに含まれる2つの電圧は、互いに異なる系統に供給される。
【選択図】図6
特許請求の範囲
【請求項1】
1次側に入力される3相交流の2次側に出力するU相、V相、及びW相にそれぞれ対応するR相コア、S相コア、及びT相コアに巻かれた主巻線である、R相主巻線、S相主巻線、及びT相主巻線と、
R相コア、S相コア、及びT相コアに巻かれた、除去対象の高調波の数に応じた数の分岐巻線である、R相分岐巻線、S相分岐巻線、及びT相分岐巻線と、
を備え、
それぞれの前記主巻線から出力される電圧と、それぞれの前記分岐巻線から出力される電圧を2つずつに分けることにより定められたペアにおいて、前記ペアに含まれる電圧の位相差であるペア位相差は、除去対象の高調波の次数に応じた値であり、
それぞれの前記主巻線から出力される電圧と、それぞれの前記分岐巻線から出力される電圧のうち、位相差が略120[°]である電圧は、同一の系統に供給され、
それぞれの前記ペアにおいて、前記ペアに含まれる2つの電圧は、互いに異なる系統に供給される、
トランス装置。
続きを表示(約 1,200 文字)
【請求項2】
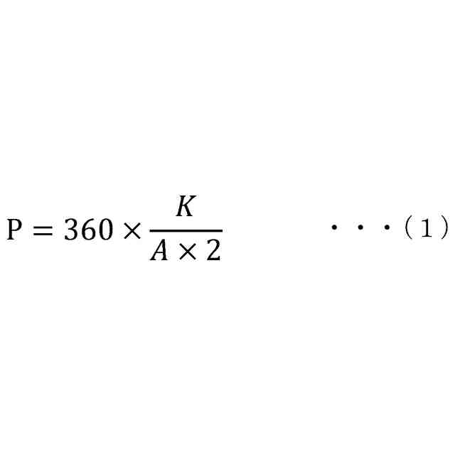
前記ペア位相差をPとし、除去対象の高調波の次数をAとし、任意に定める正の奇数をKとした場合に、下記の式を満たす、
請求項1に記載のトランス装置。
TIFF
2025172406000005.tif
15
170
【請求項3】
除去対象の高調波が複数ある場合、前記ペアの組み方は、除去対象の高調波ごとに異なる、
請求項1に記載のトランス装置。
【請求項4】
それぞれの前記主巻線とそれぞれの前記分岐巻線から出力される電圧のうち、基準となるいずれかの電圧を第1電圧、除去対象の複数の高調波のいずれかである第1の高調波の次数に応じた値のペア位相差を前記第1電圧との間に有する電圧を第2電圧、前記第1電圧又は前記第2電圧と略120[°]の位相差を有しない電圧であって、前記第1電圧及び前記第2電圧を除くいずれかの電圧を第3電圧、前記第1の高調波の次数に応じた値のペア位相差を前記第3電圧と有する電圧を第4電圧とした場合に、
前記第1電圧と前記第3電圧、前記第2電圧と前記第4電圧は、除去対象の複数の高調波のうち前記第1の高調波を除くいずれかの高調波である第2の高調波の次数に応じた値のペア位相差を有し、
前記第1電圧、前記第2電圧、前記第3電圧、及び前記第4電圧は、それぞれ異なる系統に供給される、
請求項1に記載のトランス装置。
【請求項5】
前記分岐巻線は、前記主巻線の中性点に対する、前記分岐巻線から出力される電圧の位相の位相差を示す位相ベクトルであって、前記位相ベクトルの終点が、前記中性点に対するR相、S相、及びT相の前記主巻線から出力される電圧の位相差を示すそれぞれのベクトルの終点を通る外接円上に位置する前記位相ベクトルを、R相、S相、及びT相の少なくともいずれかのベクトルに分解することにより、前記分岐巻線が分岐する基となる巻線上の分岐位置と、巻数と、巻かれるコアの相が定められる、
請求項1から請求項4のいずれか1項に記載のトランス装置。
【請求項6】
前記分岐巻線についての前記位相ベクトルは、前記分岐巻線の分岐基となる巻線のうち、分岐基となる巻線が分岐した位置から、分岐基となる巻線上の前記分岐巻線の分岐位置までの巻数が、前記分岐巻線の巻数以上となるように分解される、
請求項5に記載のトランス装置。
【請求項7】
前記分岐巻線の線径は、前記分岐巻線について予め定められる定格電流の値よりも、許容電流の値が所定の割合大きくなるように定められる、
請求項5に記載のトランス装置。
【請求項8】
請求項1から請求項4のいずれか1項に記載のトランス装置を備える、
受配電設備。
発明の詳細な説明
【技術分野】
【0001】
本発明は、トランス装置及び受配電設備に関する。
続きを表示(約 1,600 文字)
【背景技術】
【0002】
一般的に、高圧で受電する需要家は、高調波による機器への悪影響や事故を予防するために、対策や検討を重ねて、高調波電流の流出量を抑制していた。例えば、特許文献1には、トランスの1次側でスター結線とデルタ結線の多相巻きを行うことにより、奇数高調波成分を除去する技術が開示されている。
【先行技術文献】
【特許文献】
【0003】
特開2009-55718号公報
【発明の概要】
【発明が解決しようとする課題】
【0004】
しかしながら、特許文献1に記載の技術では、奇数高調波成分に多く含まれる第5高調波成分や第7高調波成分を完全に除去することが困難であった。高調波成分を十分に除去することができず、流出する高調波電流がガイドラインに定められる基準よりも多い場合には、追加の対策検討や、アクティブフィルター等の高価な対策機器を新たに設置することを要していた。そのため、安価、かつ、十分に奇数高調波成分を除去したいという要望があった。
【0005】
そこで本発明は、上記のような点を鑑みてされたものであり、奇数高調波成分を好適に除去できる技術を提供することを目的とする。
【課題を解決するための手段】
【0006】
本発明の一態様は、1次側に入力される3相交流(図示しない)の2次側に出力するU相、V相、及びW相にそれぞれ対応するR相コア、S相コア、及びT相コアに巻かれた主巻線である、R相主巻線、S相主巻線、及びT相主巻線と、R相コア、S相コア、及びT相コアに巻かれた、除去対象の高調波の数に応じた数の分岐巻線である、R相分岐巻線、S相分岐巻線、及びT相分岐巻線と、を備え、それぞれの前記主巻線から出力される電圧と、それぞれの前記分岐巻線から出力される電圧を2つずつに分けることにより定められたペアにおいて、前記ペアに含まれる電圧の位相差であるペア位相差は、除去対象の高調波の次数に応じた値であり、それぞれの前記主巻線から出力される電圧と、それぞれの前記分岐巻線から出力される電圧のうち、位相差が略120[°]である電圧は、同一の系統に供給され、それぞれの前記ペアにおいて、前記ペアに含まれる2つの電圧は、互いに異なる系統に供給される、トランス装置である。
【0007】
また、本発明の一態様に係るトランス装置において、前記ペア位相差をPとし、除去対象の高調波の次数をAとし、任意に定める正の奇数をKとした場合に、下記の式を満たすものである。
【0008】
TIFF
2025172406000002.tif
15
170
【0009】
また、本発明の一態様に係るトランス装置において、除去対象の高調波が複数ある場合、前記ペアの組み方は、除去対象の高調波ごとに異なる。
【0010】
また、本発明の一態様に係るトランス装置において、それぞれの前記主巻線とそれぞれの前記分岐巻線から出力される電圧のうち、基準となるいずれかの電圧を第1電圧、除去対象の複数の高調波のいずれかである第1の高調波の次数に応じた値のペア位相差を前記第1電圧との間に有する電圧を第2電圧、前記第1電圧又は前記第2電圧と略120[°]の位相差を有しない電圧であって、前記第1電圧及び前記第2電圧を除くいずれかの電圧を第3電圧、前記第1の高調波の次数に応じた値のペア位相差を有する電圧を前記第3電圧と第4電圧とした場合に、前記第1電圧と前記第3電圧、前記第2電圧と前記第4電圧は、除去対象の複数の高調波のうち前記第1の高調波を除くいずれかの高調波である第2の高調波の次数に応じた値のペア位相差を有し、前記第1電圧、前記第2電圧、前記第3電圧、及び前記第4電圧は、それぞれ異なる系統に供給される。
(【0011】以降は省略されています)
この特許をJ-PlatPat(特許庁公式サイト)で参照する
関連特許
河村電器産業株式会社
宅配ボックス装置
17日前
河村電器産業株式会社
トランス装置及び受配電設備
5日前
河村電器産業株式会社
負荷名称ラベル作成システム
1か月前
河村電器産業株式会社
情報処理装置、情報処理方法およびプログラム
1か月前
河村電器産業株式会社
電気設備設計支援システム
3日前
個人
電気を重力で発電装置
25日前
個人
高圧電気機器の開閉器
12日前
キヤノン電子株式会社
モータ
24日前
キヤノン電子株式会社
モータ
1か月前
コーセル株式会社
電源装置
1か月前
日星電気株式会社
ケーブル組立体
1か月前
トヨタ自動車株式会社
モータ
24日前
株式会社アイドゥス企画
減反モータ
12日前
株式会社デンソー
回転機
1か月前
株式会社デンソー
端子台
5日前
個人
二次電池繰返パルス放電器用印刷基板
1か月前
ローム株式会社
半導体集積回路
3日前
株式会社ミツバ
回転電機
1か月前
株式会社デンソー
電力変換装置
1か月前
株式会社デンソー
電力変換装置
1か月前
株式会社TMEIC
制御装置
4日前
株式会社日立製作所
回転電機
3日前
株式会社ダイヘン
インバータ装置
1か月前
矢崎総業株式会社
電源回路
11日前
株式会社デンソー
非接触受電装置
1か月前
矢崎総業株式会社
給電装置
4日前
トヨタ自動車株式会社
固定子の加熱装置
1か月前
トヨタ自動車株式会社
ステータの製造装置
25日前
日産自動車株式会社
ロータシャフト
19日前
個人
非対称鏡像力を有する4層PWB電荷搬送体
19日前
ローム株式会社
モータドライバ回路
19日前
山洋電気株式会社
モータ
1か月前
大和ハウス工業株式会社
敷設用機器
4日前
日産自動車株式会社
ロータシャフト
19日前
株式会社マキタ
電動作業機
1か月前
株式会社明治ゴム化成
ワイヤレス給電用部品
1か月前
続きを見る
他の特許を見る