TOP
|
特許
|
意匠
|
商標
特許ウォッチ
Twitter
他の特許を見る
10個以上の画像は省略されています。
公開番号
2025171478
公報種別
公開特許公報(A)
公開日
2025-11-20
出願番号
2024076879
出願日
2024-05-10
発明の名称
テトラフルオロホウ酸チオファニウム塩誘導体、テトラフルオロホウ酸チオファニウム塩誘導体の結晶、及びその製造方法
出願人
株式会社トクヤマ
代理人
主分類
C07D
495/14 20060101AFI20251113BHJP(有機化学)
要約
【課題】簡便な操作で高い純度が得られる新規のチオファニウム塩誘導体、及びその製造方法を提供することを目的とする。
【解決手段】下記式(1)で表されるテトラフルオロホウ酸チオファニウム塩誘導体、及びテトラフルオロホウ酸チオファニウム塩誘導体の結晶。この結晶は、Cu-Kα線を用いるX線回折により、2θ=7.1±0.2°、9.4±0.2°、21.7±0.2°及び23.7±0.2°のうち少なくとも1つにピークを有する。
<com:Image com:imageContentCategory="Drawing"> <com:ImageFormatCategory>JPEG</com:ImageFormatCategory> <com:FileName>2025171478000019.jpg</com:FileName> <com:HeightMeasure com:measureUnitCode="Mm">32</com:HeightMeasure> <com:WidthMeasure com:measureUnitCode="Mm">52</com:WidthMeasure> </com:Image>
【選択図】図4
特許請求の範囲
【請求項1】
下記式(1):
JPEG
2025171478000017.jpg
32
52
[式(1)中、
R
1
及びR
2
は、それぞれ独立して、水素原子、置換基を有してもよいアルキル基、置換基を有してもよいアラルキル基、又は置換基を有してもよいアリール基である。]
で表されるテトラフルオロホウ酸チオファニウム塩誘導体。
続きを表示(約 1,200 文字)
【請求項2】
Cu-Kα線を用いるX線回折により、2θ=7.1±0.2°、9.4±0.2°、21.7±0.2°及び23.7±0.2°のうち少なくとも1つにピークを有する、
請求項1に記載のテトラフルオロホウ酸チオファニウム塩誘導体の結晶。
【請求項3】
融点が230℃以上240℃以下である、
請求項1又は2に記載のテトラフルオロホウ酸チオファニウム塩誘導体の結晶。
【請求項4】
19
F NMRにおいて-150±5ppmの範囲に特徴的な2本のピークを有する、
請求項1乃至又は2に記載のテトラフルオロホウ酸チオファニウム塩誘導体の結晶。
【請求項5】
下記式(2):
JPEG
2025171478000018.jpg
29
47
[式(2)において
R
1
及びR
2
は、前記式(1)におけるR
1
及びR
2
と同義である。]
で表されるチオファニウム塩誘導体と、
テトラフルオロホウ酸イオンと、
を接触させて、前記式(1)で表されるテトラフルオロホウ酸チオファニウム塩誘導体を得ることを含む、
テトラフルオロホウ酸チオファニウム塩誘導体の製造方法。
【請求項6】
前記テトラフルオロホウ酸イオンのイオン源として、テトラフルオロホウ酸、テトラフルオロホウ酸のアルカリ金属塩、及びテトラフルオロホウ酸のアルカリ土類金属塩からなる群より選択される少なくとも一種を用いる、
請求項5に記載のテトラフルオロホウ酸チオファニウム塩誘導体の製造方法。
【請求項7】
前記テトラフルオロホウ酸イオンのイオン源として、テトラフルオロホウ酸の水溶液、テトラフルオロホウ酸ナトリウム、及びテトラフルオロホウ酸カリウムからなる群より選択される少なくとも一種を用いる、
請求項5又は6に記載のテトラフルオロホウ酸チオファニウム塩誘導体の製造方法。
【請求項8】
前記テトラフルオロホウ酸イオンを、三フッ化ホウ素化合物とアルコール化合物とを接触させることで発生させることを含む、
請求項5に記載のテトラフルオロホウ酸チオファニウム塩誘導体の製造方法。
【請求項9】
前記三フッ化ホウ素化合物は、三フッ化ホウ素のジエチルエーテル錯体、ジブチルエーテル錯体、及びテトラヒドロフラン錯体からなる群より選択される少なくとも一種である、
請求項8に記載のテトラフルオロホウ酸チオファニウム塩誘導体の製造方法。
【請求項10】
前記アルコール化合物は、メタノール、エタノール、1-プロパノール、2-プロパノールからなる群より選択される少なくとも一種である、
請求項8又は9に記載のテトラフルオロホウ酸チオファニウム塩誘導体の製造方法。
発明の詳細な説明
【技術分野】
【0001】
本発明は、ビオチンの合成中間体として有用な新規なチオファニウム塩誘導体及びその製造方法に関し、特にテトラフルオロホウ酸チオファニウム塩誘導体、テトラフルオロホウ酸チオファニウム塩誘導体の結晶、及びその製造方法に関する。
続きを表示(約 1,600 文字)
【背景技術】
【0002】
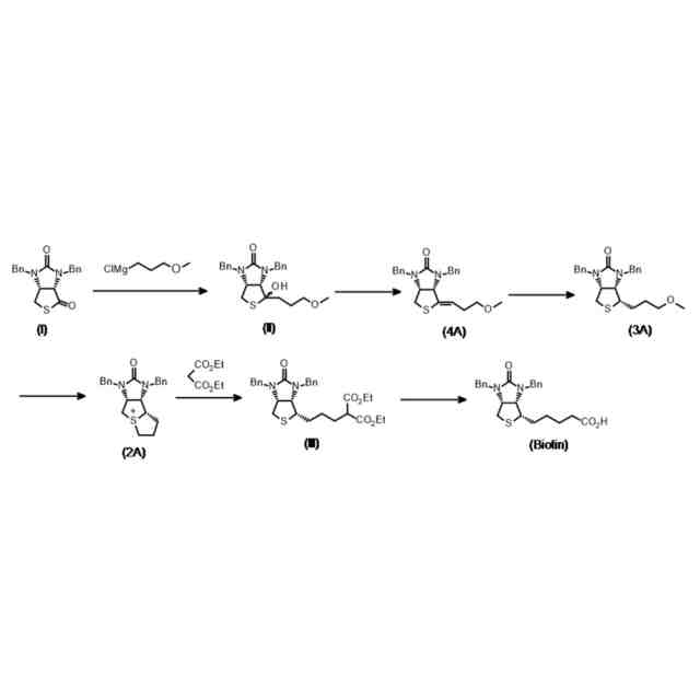
ビオチンは、種々の医薬品、食品添加物、飼料添加剤等に用いられる有用な化合物である。例えばビオチンは、以下のような製造方法で合成されている(特許文献1参照)。
【0003】
JPEG
2025171478000002.jpg
49
150
【0004】
すなわち、先ず、前記式(I)で示される(3aS,6aR)-1,3-ジベンジルテトラヒドロ-1H-チエノ[3,4-d]イミダゾール-2,4-ジオン(以下、単に「チオラクトン誘導体」とする場合もある)と3-メトキシプロピルマグネシウムクロリド(以下、単に「グリニャール試薬」とする場合もある)とを反応させることで、前記式(II)に示すヒドロキシビオチン誘導体を合成し、これを脱水することで前記式(4A)に示すビニルビオチン誘導体を合成する。次いで当該ビニルビオチン誘導体をパラジウムやラネーニッケル触媒を用いた水素化反応に付することで前記式(3A)に示すビオチン誘導体を合成する。その後、ビオチン誘導体を酸性条件下、環化させることで前記式(2A)に示すチオファニウム塩誘導体を合成する。最後に、当該チオファニウム塩誘導体をマロン酸エステルとのカップリング及び脱保護の各工程を経てビオチンを製造する。なお、式中の「Bn」はベンジル基、「Et」はエチル基をそれぞれ表す。前記式(2A)に示すチオファニウム塩誘導体は対イオンとともに塩を形成して安定に存在しており、その対イオンとしては塩化物イオン、臭化物イオン、10-カンファースルホン酸イオンなどが報告されている(特許文献2参照)。中でもビオチンの製造においては対イオンが臭化物イオンとなっているものが汎用されている。
【先行技術文献】
【特許文献】
【0005】
特公昭53-027279号公報
米国特許明細書第2,489,235号
【発明の概要】
【発明が解決しようとする課題】
【0006】
ビオチンは、医薬品や食品添加物など人が摂取する用途で用いられるため、非常に高純度であることが求められる。高純度のビオチンを取得するためにはその合成中間体であるチオファニウム塩誘導体についても高純度で製造できることが望まれる。しかしながら、上記の通りチオファニウム塩誘導体の製造には多くの合成反応が必要であり、得られるチオファニウム塩誘導体は不純物を多く含んでいることから、再結晶などの精製操作が必要であった。
【0007】
したがって、本発明の目的は、より簡便な操作で高い純度が得られる新規のチオファニウム塩誘導体、及びその製造方法を提供することにある。
【課題を解決するための手段】
【0008】
本発明者らは、上記課題を解決すべく鋭意研究した結果、驚くべきことに、チオファニウム塩誘導体を含む反応混合物とテトラフルオロホウ酸イオンを接触させることで、高純度なチオファニウム塩誘導体が取得できることを発見した。加えて、当該チオファニウム塩誘導体は、既知のチオファニウム塩誘導体とは異なる結晶形を有しており、且つ既知のチオファニウム塩誘導体と比較して熱的に安定であることを見出し、本発明を完成するに至った。
【0009】
本発明のテトラフルオロホウ酸チオファニウム塩が高純度で取得可能な理由については定かではないが、当該チオファニウム塩は類似の構造を有する化合物よりも各種溶媒に対する溶解度が低いと考えられることから、不純物は母液に溶解した状態で所望の当該チオファニウム塩のみが固体として析出するためと考えられる。
【0010】
すなわち、本発明は、以下の発明を包含する。
(【0011】以降は省略されています)
この特許をJ-PlatPat(特許庁公式サイト)で参照する
関連特許
株式会社トクヤマ
組成物
1か月前
株式会社トクヤマ
水硬性組成物
1か月前
株式会社トクヤマ
窒化ケイ素基板
2か月前
株式会社トクヤマ
窒化ケイ素基板
1か月前
株式会社トクヤマ
シリコンエッチング液
1か月前
株式会社トクヤマ
シリコンエッチング液
1か月前
株式会社トクヤマデンタル
歯科用色調適合確認材料
13日前
株式会社トクヤマ
ケトン誘導体の製造方法
1か月前
株式会社トクヤマ
酸性次亜塩素酸水の製造方法
22日前
株式会社トクヤマ
有機ケイ素化合物の製造方法
1か月前
株式会社トクヤマ
改質フライアッシュの製造方法
1か月前
株式会社トクヤマ
チオラクトン誘導体の製造方法
1か月前
株式会社トクヤマ
チオファニウム塩臭化物の製造方法
今日
株式会社トクヤマ
チオファニウム塩誘導体の製造方法
23日前
株式会社トクヤマデンタル
歯科用硬化性組成物およびその製造方法
1か月前
株式会社トクヤマ
有機ケイ素化合物の製造方法及び濾過装置
1か月前
株式会社トクヤマ
乳頭保護剤および家畜の乳頭を保護する方法
23日前
株式会社トクヤマ
セメント系硬化体のアルカリ骨材反応の抑制方法
21日前
株式会社トクヤマ
ジオポリマー組成物及びジオポリマー組成物の製造方法
1か月前
株式会社トクヤマデンタル
ポリウレタン系歯科切削加工用ミルブランクとその製造方法
1か月前
株式会社トクヤマ
高純度水酸化テトラアルキルアンモニウム水溶液の製造方法
2か月前
株式会社トクヤマ
Ga又はGa合金と、窒化アルミニウムフィラーとを含む組成物
21日前
株式会社トクヤマ
縞状流体の形成方法、化学物質の製造方法、及び縞状流体の形成装置
1か月前
株式会社トクヤマ
縞状流体の形成方法、化学物質の製造方法、及び縞状流体の形成装置
1か月前
株式会社トクヤマ
デリバリー用複合粒子、ならびにその製造方法およびその製造キット
1か月前
株式会社トクヤマ
窒化アルミニウム焼結基板、その製造方法および電子回路用絶縁基板
1か月前
株式会社トクヤマ
グリニャ-ル試薬の製造方法、及びアセチルチオケトン誘導体の製造方法
15日前
株式会社トクヤマ
シリコンエッチング抑制剤、エッチング液、基板の処理方法及び半導体素子の製造方法
1か月前
株式会社トクヤマ
ハロゲノ-2,4-置換安息香酸誘導体、ベンゾフェノン誘導体、及びハロゲノベンゼン誘導体の製造方法
15日前
株式会社トクヤマ
(2R)-1-(モルホリン-4-イル)-2-[(オキサン-2-イル)オキシ]プロパン-1-オンの製造方法
今日
株式会社トクヤマ
テトラフルオロホウ酸チオファニウム塩誘導体、テトラフルオロホウ酸チオファニウム塩誘導体の結晶、及びその製造方法
今日
株式会社トクヤマ
アセチルチオカルボン酸誘導体及びその製造方法、アセチルチオ酸クロリド誘導体及びその製造方法、アセチルチオケトン誘導体及びその製造方法、並びにチオグリコシド誘導体の製造方法
15日前
クミアイ化学工業株式会社
多形
21日前
東ソー株式会社
タンパク質の発現方法
2か月前
東ソー株式会社
炭素-窒素結合形成方法
4か月前
株式会社トクヤマ
四塩化炭素の製造方法
4か月前
続きを見る
他の特許を見る