TOP
|
特許
|
意匠
|
商標
特許ウォッチ
Twitter
他の特許を見る
10個以上の画像は省略されています。
公開番号
2025119508
公報種別
公開特許公報(A)
公開日
2025-08-14
出願番号
2024014431
出願日
2024-02-01
発明の名称
反応性付与化合物
出願人
国立大学法人岩手大学
代理人
個人
,
個人
,
個人
,
個人
主分類
C07D
403/14 20060101AFI20250806BHJP(有機化学)
要約
【課題】基材の光劣化を抑制し、かつ、前処理をしないでも高い密着性が得られる反応性付与化合物および反応性付与化合物の製造方法を提供する。
【解決手段】本開示に係る反応性付与化合物は、1分子内に、反応性官能基と、ジアジリン基と、を有し、前記反応性官能基の数が2以上であり、前記ジアジリン基の数が2以上であり、前記反応性官能基が、SH基、SNa基、アミノ基、トリメトキシシリル基、およびトリエトキシシリル基からなる群から選択される1種以上である。
【選択図】なし
特許請求の範囲
【請求項1】
1分子内に、反応性官能基と、
ジアジリン基と、
を有し、
前記反応性官能基の数が2以上であり、
前記ジアジリン基の数が2以上であり、
前記反応性官能基が、SH基、SNa基、アミノ基、トリメトキシシリル基、およびトリエトキシシリル基からなる群から選択される1種以上である、反応性付与化合物。
続きを表示(約 2,000 文字)
【請求項2】
下記式(1)で表される化合物である、請求項1に記載の反応性付与化合物。
TIFF
2025119508000044.tif
39
170
TIFF
2025119508000045.tif
10
170
TIFF
2025119508000046.tif
10
170
TIFF
2025119508000047.tif
10
170
TIFF
2025119508000048.tif
30
170
TIFF
2025119508000049.tif
34
170
[上記式(1)中Z
1
、Z
2
は、トリアジン環、ベンゼン環、または窒素原子を表し、Aは、アセチレン基または、上記式(2)で表される第1の構造であり、nは0または1であり、nが0の場合は、Z
1
とZ
2
は、直接結合し、Q
1
、Q
2
、Q
3
、およびQ
4
のうち少なくとも2つは、前記反応性官能基または、上記式(3)で表される第2の構造であり、Q
1
、Q
2
、Q
3
、およびQ
4
のうち少なくとも2つは、上記式(4)で表される第3の構造であり、上記式(2)中の*は、隣接する炭素原子または窒素原子を表し、X
1
およびX
2
は、O、NH、またはSを表し、m1は、1~10の整数を表し、上記式(3)中の*は、隣接する炭素原子または窒素原子を表し、X
3
は、O、NH、またはSを表し、m2は、1~10の整数を表し、Y
1
は、SH基、SNa基、アミノ基、トリエトキシシリル基、またはトリメトキシシリル基であり、上記式(4)中の*は、隣接する炭素原子または窒素原子を表し、X
4
は、O、NH、S、またはCH
2
を表し、m3は、0~10の整数であり、Y
2
は、上記式(5)で表される第4の構造または上記式(6)で表される第5の構造であり、上記式(5)中の*は、隣接する炭素原子を表し、R
1
は、メチル基、エチル基、トリフルオロメチル基、またはペンタフルオロエチル基であり、上記式(6)中の*は、隣接する炭素原子を表し、Arはアリーレン基、2価の複素環基またはメチレン基であり、R
2
は、メチル基、エチル基、トリフルオロメチル基、またはペンタフルオロエチル基である。]
【請求項3】
前記Z
1
がトリアジン環であり、前記Z
2
が、窒素原子である、請求項2に記載の反応性付与化合物。
【請求項4】
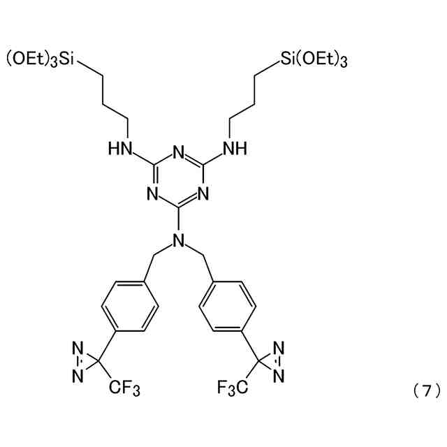
下記式(7)で表される化合物である、請求項3に記載の反応性付与化合物。
TIFF
2025119508000050.tif
92
170
【請求項5】
下記式(8)で表される化合物である、請求項3に記載の反応性付与化合物。
TIFF
2025119508000051.tif
82
170
【請求項6】
下記式(9)で表される化合物である、請求項3に記載の反応性付与化合物。
TIFF
2025119508000052.tif
86
170
【請求項7】
前記Z
1
がトリアジン環であり、前記Z
2
が、トリアジン環である、請求項2に記載の反応性付与化合物。
【請求項8】
下記式(10)で表される化合物である、請求項7に記載の反応性付与化合物。
TIFF
2025119508000053.tif
72
170
【請求項9】
下記式(11)で表される化合物である、請求項7に記載の反応性付与化合物。
TIFF
2025119508000054.tif
71
170
【請求項10】
下記式(12)で表される化合物である、請求項7に記載の反応性付与化合物。
TIFF
2025119508000055.tif
62
170
(【請求項11】以降は省略されています)
発明の詳細な説明
【技術分野】
【0001】
本発明は、反応性付与化合物に関する。
続きを表示(約 1,600 文字)
【背景技術】
【0002】
異なる材料が接合された複合材料、例えば、無機基材または高分子基材上に、金属膜が形成された積層体は、携帯電話の回路基板や車両の部材などに用いられている。
【0003】
積層体において、材料間の密着性が低いと材料間で剥離が生じてしまう。そのため、積層体において、密着性の向上は重要な特性である。材料間の密着性を向上する技術としては、例えば、基材の表面に凹凸を形成する技術がある。基材の表面の凹凸に金属膜の一部が入り込むことで、アンカー効果が発揮され密着性が向上する。
【0004】
しかし、例えば、回路基板用の基材の表面に凹凸があると、信号の伝達距離が長くなり、伝達ロスが発生する。そのため、回路基板用途では、基材の表面に凹凸を形成する技術を用いることは困難である。
【0005】
表面に凹凸を形成せずに、密着力を向上する技術としては、コロナ放電処理によって、基板上に水酸基を導入する技術がある。しかし、コロナ放電処理では、基材が劣化する可能性があり、また、導入される水酸基も少ないので、密着性向上には限界があった。
【0006】
表面に凹凸を形成せずに、密着力を向上する技術としては、他に、基材の表面に反応性を付与できる化合物と、基材の表面と、を反応させる技術がある。例えば、高分子材料と、ガラスや金属等の積層体の性能向上のために有機官能性シラン化合物が開発されている。この方法はカップリング剤、すなわち二官能性分子を用いるもので、高分子材料と接合対象(例えば金属)の双方に反応し、共有結合を形成するものである。具体的に言えば、シランカップリング剤は有機官能性シランモノマー類であり、二元反応性を持っているものである。この特性は分子の一端にある官能基が加水分解し、シラノールを形成、次いでガラス等上の類似官能基や、金属酸化物上のOH基との縮合などにより結合することを可能としている。シラン分子の他端にはアミノ基やメルカプト基など有機物と反応可能である官能基が存在する。このようにシランカップリング剤は有機物とその他材料を共有結合で結合させる分子として非常に有用なものとして知られている。
【0007】
特許文献1には、金属膜の形成方法であって、基体表面に特定化合物を含む剤が設けられる工程と、化合物の表面に、湿式めっきの手法により、金属膜が設けられる工程とを具備してなり、化合物は、1分子内に、OH基またはOH生成基と、アジド基と、トリアジン環とを有する化合物であり、前記基体はポリマーが用いられて構成されてなることを特徴とする金属膜形成方法が開示されている。特許文献1の技術では、アジド基を備える分子に紫外光を照射し、アジド基からナイトレンを生成し、生成したナイトレンと基材表面とが反応することで、高い密着性を得ることができる。
【0008】
しかし、特許文献1の技術では、アジド基を備える分子に短波長の紫外光を照射するため、基材が劣化し、密着性が低下するという問題があった。基材の劣化を抑制し、かつ、密着性を改善できる技術として、特許文献2には、一分子内に、所定の式で表されるシランカップリング部位と、ジアジリン基と、を備える、反応性付与化合物が開示されている。
【先行技術文献】
【特許文献】
【0009】
特許第4936344号公報
国際公開第2022/097644号
【発明の概要】
【発明が解決しようとする課題】
【0010】
しかし、現在、特許文献2の技術よりも、より高い密着性が求められている。また、特許文献2の技術を用いても、より高い密着性を得るためには、基板に対し、コロナ処理などの前処理が必要であった。
(【0011】以降は省略されています)
特許ウォッチbot のツイートを見る
この特許をJ-PlatPat(特許庁公式サイト)で参照する
関連特許
国立大学法人岩手大学
反応性付与化合物
3か月前
国立大学法人岩手大学
コーティング種子
6か月前
国立大学法人岩手大学
感度向上デバイス
1か月前
国立大学法人岩手大学
舌運動機能評価装置
1か月前
国立大学法人岩手大学
電波伝搬制御システム
4か月前
国立大学法人岩手大学
反応性付与化合物および積層体
3か月前
国立大学法人岩手大学
鶏損失予測方法及び鶏損失予測装置
2か月前
日本原燃株式会社
消泡装置及び消泡方法
1か月前
スミダコーポレーション株式会社
薬物送達装置
6か月前
国立大学法人岩手大学
舌運動状態評価装置、食品評価方法、食品評価装置
1か月前
国立大学法人岩手大学
ホスフィン化合物、配位子、金属錯体、及び、合成触媒
8か月前
太陽ホールディングス株式会社
樹脂組成物および硬化物
6か月前
株式会社竹中工務店
監視システム、及び監視プログラム
4か月前
株式会社竹中工務店
監視システム、及び監視プログラム
4か月前
株式会社竹中工務店
監視システム、及び監視プログラム
4か月前
トヨタ紡織株式会社
燃料電池用セパレータ
5か月前
株式会社竹中工務店
設定支援システム、及び設定支援プログラム
5か月前
スミダコーポレーション株式会社
インプランタブルデバイスシステム
1か月前
国立大学法人岩手大学
改変チャネルロドプシン
1か月前
国立大学法人岩手大学
軟化木材及びその製造方法
3か月前
国立大学法人岩手大学
揮発性有機化合物の分離取得方法および揮発性有機化合物含有材料の製造方法
3か月前
太陽ホールディングス株式会社
フッ素化ポリアミド化合物、フッ素化ポリイミド化合物、硬化性組成物および硬化物
6か月前
クミアイ化学工業株式会社
多形
20日前
東ソー株式会社
タンパク質の発現方法
2か月前
株式会社トクヤマ
ビオチン誘導体の製造方法
4か月前
株式会社半導体エネルギー研究所
有機化合物
20日前
株式会社半導体エネルギー研究所
有機化合物
3か月前
栗田工業株式会社
ギ酸の回収方法
1か月前
株式会社コスモス
液状炭化水素の増産方法
3か月前
東ソー株式会社
イソシアネート化合物の製造方法
2か月前
株式会社トクヤマ
チオラクトン誘導体の製造方法
1か月前
株式会社トクヤマ
ベンザゼピン化合物の製造方法
3か月前
株式会社コスモス
液状炭化水素の増産方法
3か月前
株式会社トクヤマ
ホルムアミド化合物の製造方法
3か月前
株式会社トクヤマ
チオファニウム塩誘導体の製造方法
22日前
日産化学株式会社
ピラゾール化合物及び有害生物防除剤
3か月前
続きを見る
他の特許を見る