TOP
|
特許
|
意匠
|
商標
特許ウォッチ
Twitter
他の特許を見る
10個以上の画像は省略されています。
公開番号
2025168333
公報種別
公開特許公報(A)
公開日
2025-11-07
出願番号
2025073247
出願日
2025-04-25
発明の名称
新規なオレフィン重合用触媒
出願人
日本ポリエチレン株式会社
代理人
弁理士法人 津国
主分類
C08F
4/6592 20060101AFI20251030BHJP(有機高分子化合物;その製造または化学的加工;それに基づく組成物)
要約
【課題】 メタロセン系ポリエチレンの成形加工性を改善するため、分子量分布が広く、かつ高分子量領域により多くのコモノマーが導入されたエチレン系重合体を安定的に製造可能なオレフィン重合用触媒を提供する。
【解決手段】 成分(A-1):式(1)で示されるメタロセン化合物、成分(A-2):式(2-1)~(2-5)のいずれかで示されるメタロセン化合物、成分(B):成分(A-1)および成分(A-2)と反応してカチオン性メタロセン化合物を生成させる化合物を含むオレフィン重合用触媒である。
【選択図】 なし
特許請求の範囲
【請求項1】
以下の成分(A-1)、(A-2)および(B)を含む、オレフィン重合用触媒。
成分(A-1):下記一般式(1)で示されるメタロセン化合物
TIFF
2025168333000032.tif
66
169
[式(1)中、
M
1
は、Ti、ZrまたはHfのいずれかの遷移金属原子を示し、
X
1
およびX
2
は、それぞれ独立して、水素原子、ハロゲン原子、炭素数1~20の炭化水素基、酸素原子若しくは窒素原子を含む炭素数1~20の炭化水素基、炭素数1~20の炭化水素基置換アミノ基または炭素数1~20のアルコキシ基を示し、
R
3
~R
6
、R
7
~R
10
、R
6’
、R
10’
は、それぞれ独立して、水素原子、ハロゲン原子、炭素数1~20の炭化水素基、ケイ素数1~6を含む炭素数1~18のケイ素原子含有炭化水素基、炭素数1~20のハロゲン原子含有炭化水素基、酸素原子、硫黄原子、窒素原子またはリン原子を含む炭素数1~40の炭化水素基、炭素数1~40の炭化水素基置換シリル基または炭素数1~40の炭化水素基置換アミノ基を示し、R
3
~R
6
およびR
6’
のうち隣接するいずれか1組以上は、結合する炭素原子を含んで互いに結合し環を形成していてもよく、
R
7
~R
10
およびR
10’
のうち隣接するいずれか1組以上は、結合する炭素原子を含んで互いに結合し脂肪族環を形成していてもよく、
R
6’
およびR
10’
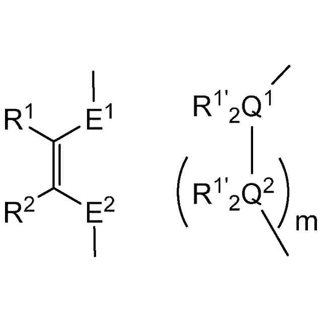
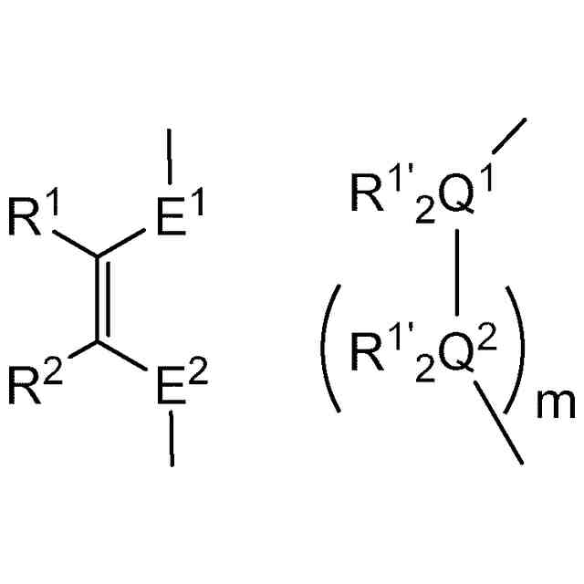
は、互いに連結して、下記式のいずれかで示される2価の基を形成していてもよく、
TIFF
2025168333000033.tif
33
169
式中、E
1
とE
2
は、それぞれ、-CR
31
2
-、-SiR
31
2
-、-NR
31
-、-PR
31
-、-O-、-S-からなる群より選択される2価の基であり(ここで、R
31
は水素原子または炭素数1~10の炭化水素基であり、2つのR
31
が結合して環状構造を形成してもよい)、
R
1
とR
2
は、それぞれ独立して、水素原子、ハロゲン原子、炭素数1~20の炭化水素基、炭素数1~18のケイ素原子含有炭化水素基、炭素数1~20のハロゲン原子含有炭化水素基、酸素原子、硫黄原子、窒素原子もしくはリン原子を含む炭素数1~40の炭化水素基、炭素数1~40の炭化水素基置換シリル基または炭素数1~40の炭化水素基置換アミノ基を示し、R
1
とR
2
は、それらが結合する炭素原子と一緒になって環を形成していてもよく、
Q
1
とQ
2
は、炭素原子、ケイ素原子またはゲルマニウム原子を示し、
R
1’
は、それぞれ独立して、水素原子または炭素数1~10の炭化水素基を示し、隣接する置換基同士でそれらが結合するQ
1
および/またはQ
2
を含んで結合し環を形成していてもよく、
mは、0または1であり、mが0の場合、Q
1
は、R
6
続きを表示(約 3,900 文字)
【請求項2】
前記成分(A-1)が、下記一般式(1-1-1)または(1-1-2)で示されるメタロセン化合物であることを特徴とする請求項1に記載のオレフィン重合用触媒。
TIFF
2025168333000037.tif
66
169
[式中、M
1
、X
1
、X
2
、E
1
、E
2
、R
1
~R
4
、R
7
~R
8
は、請求項1に定義したとおりであり、
sは6員環上に存在するR
11
、R
12
の数であり、各々のsは同じでも異なってもよく、0~4の整数を表し、
R
11
、R
12
は、それぞれ独立して、ハロゲン原子、炭素数1~20の炭化水素基、1~6個のケイ素原子を含む炭素数1~18のケイ素原子含有炭化水素基、炭素数1~20のハロゲン原子含有炭化水素基、酸素原子、硫黄原子、窒素原子もしくはリン原子を含む炭素数1~40の炭化水素基、炭素数1~40の炭化水素基置換シリル基、炭素数1~40のアルコキシ基、または炭素数1~40の炭化水素基置換アミノ基を示し、
R
11
、R
12
の少なくとも一方が2つ以上存在する場合、R
11
同士、R
12
同士は一緒になって、置換基を有していてもよい、炭素数1~20の2価の炭化水素基、1~6個のケイ素原子を含む炭素数1~40の2価のケイ素原子含有炭化水素基、炭素数1~20の2価のハロゲン原子含有炭化水素基、または酸素原子、硫黄原子、窒素原子もしくはリン原子を含む2価の炭素数1~40の炭化水素基であってもよい]
【請求項3】
前記成分(A-1)が、下記一般式(1-1-1-1)~(1-1-1-5)、(1-1-2-1)~(1-1-2-5)のいずれかで示されるメタロセン化合物であることを特徴とする請求項2に記載のオレフィン重合用触媒。
TIFF
2025168333000038.tif
249
169
[式中、M
1
、X
1
、X
2
、E
1
、E
2
、R
3
、R
4
、R
7
、R
8
は、請求項1に定義したとおりであり、R
11
、R
12
は請求項2に定義したとおりであり、
sは6員環上に存在するR
11
、R
12
、R
13
の数であり、各々のsは同じでも異なってもよく、0~4の整数を表し、
R
13
は、それぞれ独立して、ハロゲン原子、炭素数1~20の炭化水素基、1~6個のケイ素原子を含む炭素数1~18のケイ素原子含有炭化水素基、炭素数1~20のハロゲン原子含有炭化水素基、酸素原子、硫黄原子、窒素原子もしくはリン原子を含む炭素数1~40の炭化水素基、炭素数1~40の炭化水素基置換シリル基、炭素数1~40のアルコキシ基、または炭素数1~40の炭化水素基置換アミノ基を示し、
R
13
が2つ以上存在する場合、それらは一緒になって、置換基を有していてもよい、炭素数1~20の2価の炭化水素基、1~6個のケイ素原子を含む炭素数1~40の2価のケイ素原子含有炭化水素基、炭素数1~20の2価のハロゲン原子含有炭化水素基、または酸素原子、硫黄原子、窒素原子もしくはリン原子を含む2価の炭素数1~40の炭化水素基であってもよい]
【請求項4】
前記成分(A-1)がメソ化合物である、請求項1に記載のオレフィン重合用触媒。
【請求項5】
前記成分(A-2)の前記式(2-1)~(2-5)において、m
2
が0であることを特徴とする請求項1に記載のオレフィン重合用触媒。
【請求項6】
前記成分(A-2)の前記式(2-4)、(2-5)において、n
2
が0であることを特徴とする請求項1に記載のオレフィン重合用触媒。
【請求項7】
前記成分(A-2)の前記式(2-1)~(2-5)において、R
55
~R
68
の少なくとも1つが、次の式(7)で示されることを特徴とする請求項1記載のオレフィン重合用触媒。
TIFF
2025168333000039.tif
30
169
[式(7)中、A
2
は、周期表14族、15族または16族の原子を示し、
R
75
~R
79
は、それぞれ独立して、水素原子、ハロゲン原子、炭素数1~20の炭化水素基、酸素原子、硫黄原子もしくは窒素原子を含む炭素数1~20の炭化水素基、炭素数1~20の炭化水素基置換アミノ基、炭素数1~20のアルコキシ基、ケイ素数1~6を含む炭素数1~18のケイ素原子含有炭化水素基、炭素数1~20のハロゲン原子含有炭化水素基、または炭素数1~20の炭化水素基置換シリル基を示し、隣接する置換基同士でそれらに結合する原子を含んで結合し環を形成していてもよく、
p
2
は、0または1であり、A
2
が周期表15族または16族の原子の場合、p
2
は0であって、A
2
にR
75
が存在せず、
q
2
は、0または1であり、q
2
が0の場合、R
78
は存在せず、R
77
が結合する炭素原子とR
79
が結合する炭素原子とは直接結合している。]
【請求項8】
前記成分(A-2)の前記式(2-1)~(2-5)において、R
57
、R
67
、R
61
~R
63
の少なくとも1つが、前記式(7)で示されることを特徴とする請求項7記載のオレフィン重合用触媒。
【請求項9】
前記成分(A-2)の前記式(2-1)~(2-5)において、Dが硫黄原子であることを特徴とする請求項1記載のオレフィン重合用触媒。
【請求項10】
前記成分(A-1)、(A-2)が、下記条件(1)~(4)を満足することを特徴とする、請求項1記載のオレフィン重合用触媒。
条件(1):成分(A-1)と(B)を含むが(A-2)を含まないオレフィン重合用触媒(Cat
(A-1)
)を用いて、水素分子の存在下、オレフィンを重合して得られるオレフィン重合体のHLMFRであるHLMFR
(A-1)
と、オレフィン成分(A-2)と(B)を含むが(A-1)を含まないオレフィン重合用触媒(Cat
(A-2)
)を用いて、同じ条件において得られるオレフィン重合体のHLMFRであるHLMFR
(A-2)
が、HLMFR
(A-1)
≧HLMFR
(A-2)
を満足する。
条件(2):Cat
(A-1)
を用いたオレフィンの重合において、H
2
/C
2
比とオレフィン重合活性(K
(A-1)
:単位gオレフィン重合体/g触媒/時間/MPa)の相関を表す、下記定義式中の相関係数α
(A-1)
が、-10000~+1000である;
定義式 K
(A-1)
=α
(A-1)
・Log[H
2
/C
2
]+β
(A-1)
ここで、上式は、0.05モル%以上離れた2点のH
2
/C
2
で重合した時のH
2
/C
2
とK
(A-1)
の片対数グラフ上の関係から得られるH
2
/C
2
=0.04~0.15モル%の間での近似直線を表し、係数α
(A-1)
は、当該直線の傾きであり、切片β
(A-1)
は、H
2
/C
2
=1モル%の時の重合活性(K
1(A-1)
)である。
条件(3):Cat
(A-2)
について条件(2)と同様にして得られるH
2
/C
2
とK
(A-2)
の相関係数α
(A-2)
が、-10000~+1000である;
条件(4):α
(A-1)
とα
(A-2)
の差の絶対値|Δα|が、0~7030である。
(【請求項11】以降は省略されています)
発明の詳細な説明
【技術分野】
【0001】
本発明は、新規なオレフィン重合用触媒、該触媒を用いたオレフィン系重合体の製造方法、および該方法によって製造したオレフィン系重合体に関し、さらに詳しくは、特定の二種類のメタロセン化合物と、該メタロセン化合物と反応してカチオン性メタロセン化合物を生成させる化合物を含むオレフィン重合用触媒、該触媒を用いたオレフィン系重合体の製造方法、および該方法によって製造したオレフィン系重合体やエチレン系重合体に関する。
続きを表示(約 2,500 文字)
【背景技術】
【0002】
オレフィン重合用メタロセン触媒で製造されるポリオレフィンは、分子量分布や共重合組成分布といったポリマー分子構造の均一性が高く、衝撃強度や長期寿命等、様々な機械的物性に優れることから、近年、その使用量が増加してきている。しかし、メタロセン系ポリオレフィンは、機械的諸物性には優れているものの、狭い分子量分布故に、溶融張力や溶融流動性といったポリオレフィンの成形加工上重要な特性において十分な性能を満たすものではなかった。
【0003】
メタロセン系ポリオレフィンの成形加工性を改善する方法として、メタロセン触媒を用いた多段重合によって分子量分布を広げる方法が知られている(特許文献1)。しかし、多段重合で分子量分布を広げる方法では、重合反応基を連結して使用するための建設コストや運転管理コストなど別の問題が生じる。
【0004】
一方、不十分なメタロセン系ポリオレフィンの成形加工性を改善する方法として、特定のメタロセン錯体を用いた重合反応でポリエチレンに長鎖分岐を導入して溶融粘度を増加させることによって、流動性や溶融張力を向上する方法(特許文献2)、分子量分布に複数のピークを有するような重合体を調製するために触媒を設計する方法(特許文献3)が知られている。
【0005】
また、この課題に対するもう一つのアプローチとして、2種の錯体の組合せを含む触媒組成物を用いることで、十分な数と適切な長さの長鎖分岐を導入したポリエチレンを製造する、二元錯体触媒技術が研究されている(特許文献4~8)。これらの特許文献では、架橋または非架橋のシクロペンタジエニル(Cp)基を含む金属錯体を用いて二元錯体触媒を設計することで、長鎖分岐構造の導入を試みている。
【先行技術文献】
【特許文献】
【0006】
特開平3-234717号公報
特開平2-276807号公報
特開2017-197739号公報
特開2012-214780号公報
特開2017-145303号公報
特開2019-059934号公報
特表2019-515997号公報
特開2010-043152号公報
【発明の概要】
【発明が解決しようとする課題】
【0007】
ポリオレフィンの成形加工性を改良するためには、いくつかのアプローチが知られている。第一に分子量分布を広くすることが試みられており、分子量分布が広いと低分子量成分の割合が増加するため、成形加工性の向上に寄与する。第二に長鎖分岐を導入することが試みられており、ポリオレフィンに含まれる種々の分子量帯のうち高分子量成分(概ねMw=10万~1000万)に至るまで存在すると、溶融粘弾性における長時間緩和成分が増加してスウェル比、メモリー効果、溶融張力や流動性比が大きくなるので成形加工性に有利である。そのようなポリマーの実現を目指した触媒として上記のような方法がとられているが、長鎖分岐構造の導入が充分でなく、得られるポリオレフィンの成形加工を考慮した物性としては満足のいくものではなかった。第三のアプローチとして、逆コモノマー組成分布を示すように共重合体を設計するという手法が試みられている。エチレン-α-オレフィンコポリマーにおける逆コモノマー組成分布とは、高分子量側により多くのα-オレフィンが共重合された状態の分布であり、上述の第一の方法で低分子量成分の割合が増加することで発生する製品強度の低下を防止するという観点で、逆コモノマー組成分布を有する共重合体も成形加工性において有用であるが、このアプローチで得られる共重合体は長鎖分岐構造を有していないことが多く、概して前記第二のアプローチとは相容れないものであった。そのため、既知のポリオレフィンでは成形加工性について改善する余地があり、改良されたポリオレフィンが望まれている。
【0008】
また、特許文献4~8のような二元錯体触媒では、複数種類の触媒を用いることが不利となりうる状況があることが本発明者らの検討により明らかになった。
すなわち、触媒の重合活性はオレフィン重合のための水素濃度の変動などの条件の変化に影響を受ける。その影響は触媒によって異なるので、複数種類の触媒を用いると、わずかな条件の変化であっても触媒間での活性のバランスの変動が起こり、ハイロードメルトフローレート(HLMFR)や分子量分布(MWD)など重合体の特性も影響を受けることがある。そのため、重合条件のわずかな変動でさえ製品重合体のポリマー分子構造は過敏な影響を受けて、既存のオレフィン重合用触媒に対して行われる商業プラント運転の管理方法では得られる重合体の品質が一定にならない場合があるという製造上の問題があった。
【0009】
従来技術における二元錯体触媒によるポリエチレンの問題点を解消し、メタロセン系ポリエチレンの成型加工性と製品強度を改善するため、分子量分布が広く、かつ高分子量領域に長鎖分岐を有し逆コモノマー組成分布を示すエチレン系重合体を製造可能なオレフィン重合用触媒が望まれていたが、さらに、均一な特性の重合体を安定して得られる重合用触媒が望まれていた。
【課題を解決するための手段】
【0010】
本発明者らは、触媒活性が影響を受ける要素を検討したところ、触媒は特に水素濃度に対して活性が敏感であり、HLMFRやMWDの急激な変動の原因の一つとなっていることを見出した。そこで、触媒活性の高い金属錯体と共重合活性の高い金属触媒であって、かつ水素に対する影響が同じないし近い傾向であるものを組合せて用いることで、互いの触媒活性を阻害することなく、成形加工性に優れ、高分子量領域により多くのコモノマーが導入されたポリオレフィンが安定的に得られることを見出し、本発明に至った。
(【0011】以降は省略されています)
この特許をJ-PlatPat(特許庁公式サイト)で参照する
関連特許
株式会社カネカ
断熱材
3日前
東ソー株式会社
ペレット
26日前
株式会社カネカ
硬化性組成物
4か月前
ユニチカ株式会社
透明シート
2か月前
ユニチカ株式会社
透明シート
1か月前
株式会社コバヤシ
成形体
1か月前
東レ株式会社
熱硬化性樹脂組成物
2か月前
東レ株式会社
ポリエステルフィルム
24日前
東レ株式会社
引抜成形品の製造方法
2か月前
東ソー株式会社
プラスチゾル組成物
3日前
東レ株式会社
ポリエステルフィルム
1か月前
丸住製紙株式会社
変性パルプ
1か月前
東ソー株式会社
ゴム用接着性改質剤
27日前
住友精化株式会社
吸水剤の製造方法
1か月前
東レ株式会社
ポリエステルフィルム
4か月前
東レ株式会社
ポリプロピレンフィルム
1か月前
花王株式会社
樹脂組成物
4か月前
横浜ゴム株式会社
重荷重タイヤ
1か月前
東ソー株式会社
エチレン系重合用触媒
6日前
東レ株式会社
ポリオレフィン微多孔膜
3か月前
東ソー株式会社
樹脂組成物および蓋材
2か月前
東ソー株式会社
樹脂組成物および蓋材
2か月前
日本特殊陶業株式会社
樹脂成形体
1か月前
UBE株式会社
衝撃吸収材
1か月前
アイカ工業株式会社
光硬化性樹脂組成物
1か月前
株式会社コバヤシ
光硬化性組成物
3か月前
株式会社スリーボンド
硬化性樹脂組成物
1か月前
三洋化成工業株式会社
熱成形用樹脂組成物
1か月前
株式会社カネカ
シーリング材
1か月前
株式会社カネカ
硬化性組成物
1か月前
住友ベークライト株式会社
ポリマー
27日前
ノリタケ株式会社
担体構造体
1か月前
株式会社カネカ
硬化性組成物
2か月前
住友化学株式会社
樹脂組成物
1か月前
住友ベークライト株式会社
ポリマー
27日前
株式会社大阪ソーダ
熱可塑性材料用組成物
4か月前
続きを見る
他の特許を見る