TOP
|
特許
|
意匠
|
商標
特許ウォッチ
Twitter
他の特許を見る
10個以上の画像は省略されています。
公開番号
2025168299
公報種別
公開特許公報(A)
公開日
2025-11-07
出願番号
2025070509
出願日
2025-04-22
発明の名称
pH応答性コポリマー及びそれを含む抗体分離用カラム充填剤
出願人
個人
代理人
弁理士法人谷川国際特許事務所
主分類
C08F
220/00 20060101AFI20251030BHJP(有機高分子化合物;その製造または化学的加工;それに基づく組成物)
要約
【課題】耐久性に優れ、安価に製造可能な、抗体の分離に有用な新規物質及びそれを用いた抗体の分離手段を提供すること。
【解決手段】pH応答性コポリマーは、下記一般式[I]
【化1】
<com:Image com:imageContentCategory="Drawing"> <com:ImageFormatCategory>JPEG</com:ImageFormatCategory> <com:FileName>2025168299000022.jpg</com:FileName> <com:HeightMeasure com:measureUnitCode="Mm">18</com:HeightMeasure> <com:WidthMeasure com:measureUnitCode="Mm">84</com:WidthMeasure> </com:Image> (式中、R
1
、R
2
、R
3
及びR
4
は、互いに独立して、主鎖を構成する有機基、R
5
はイミダゾール骨格を含むpH応答性を持つカチオン性基、R
6
はpH応答性を持つアニオン性基、R
7
は電荷を持たない有機基、R
8
は架橋性基、lは1以上の整数、mは1以上の整数、nは0以上の整数、oは0以上の整数を表し、各繰り返し単位中のR
1
~R
8
は単一種類のものでも複数種類のものであってもよい)
で表され、pHに応じて電荷が変化する。
【選択図】なし
特許請求の範囲
【請求項1】
下記一般式[I]
JPEG
2025168299000019.jpg
12
56
(式中、R
1
、R
2
、R
3
及びR
4
は、互いに独立して、主鎖を構成する有機基、R
5
はイミダゾール骨格を含むpH応答性を持つカチオン性基、R
6
はpH応答性を持つアニオン性基、R
7
は電荷を持たない有機基、R
8
は架橋性基、lは1以上の整数、mは1以上の整数、nは0以上の整数、oは0以上の整数を表し、各繰り返し単位中のR
1
~R
8
は単一種類のものでも複数種類のものであってもよい)
で表され、pHに応じて電荷が変化する、pH応答性コポリマー。
続きを表示(約 1,000 文字)
【請求項2】
前記カチオン性基が、下記一般式
JPEG
2025168299000020.jpg
27
71
(各式中、R
9
はあってもなくてもよいスペーサー基、R
10
~R
12
は、互いに独立して水素又は有機基を表す)
から成る群より選ばれる少なくとも1種である、請求項1記載のpH応答性コポリマー。
【請求項3】
前記カチオン性基が、ヒスタミンメタクリルアミド残基である、請求項2記載のpH応答性コポリマー。
【請求項4】
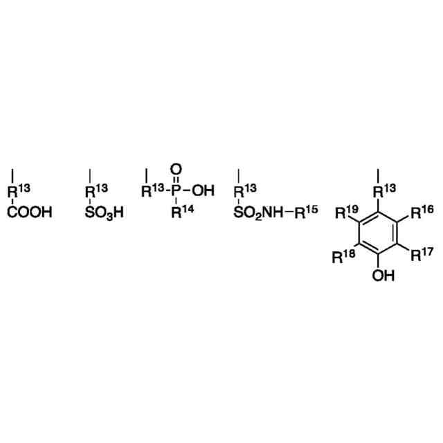
前記アニオン性基が、下記一般式
JPEG
2025168299000021.jpg
31
107
(式中、R
13
はあってもなくてもよいスペーサー基、R
14
~R
19
は、互いに独立して水素又は有機基を表す)
から成る群より選ばれる少なくとも1種である、請求項1記載のpH応答性コポリマー。
【請求項5】
前記アニオン性基が、カルボキシル基を含む基である、請求項4記載のpH応答性コポリマー。
【請求項6】
前記R
7
が、メタクリル酸エステル残基又はアクリル酸エステル残基である、請求項1記載のpH応答性コポリマー。
【請求項7】
R
1
、R
2
、R
3
及びR
4
は、互いに独立して、炭素数2~4のアルキル基である、請求項1記載のpH応答性コポリマー。
【請求項8】
前記架橋性基がエチレン性不飽和結合を含む基である、請求項1記載のpH応答性コポリマー。
【請求項9】
前記架橋性基同士の架橋により複数の分子が架橋された形態にある請求項1~8のいずれか1項に記載のpH応答性コポリマー。
【請求項10】
前記R
1
を含むユニットを100モルとした場合、R
2
を含むユニットが20モル~500モル、R
3
を含むユニットが0モル~2000モル、R
4
を含むユニットが0モル~400モルである、請求項1記載のpH応答性コポリマー。
(【請求項11】以降は省略されています)
発明の詳細な説明
【技術分野】
【0001】
本発明は、pH応答性コポリマー及びそれを含むカラム充填剤、とりわけ、抗体分離用カラム充填剤に関する。
続きを表示(約 1,800 文字)
【背景技術】
【0002】
従来より、抗体は、抗原検査用試薬や抗体医薬として広く用いられている。抗体の中でも、単一クローンに由来するモノクローナル抗体は、同じ特性を有する抗体のみから成るため、広く用いられている。モノクローナル抗体は、通常、ハイブリドーマの培養液やハイブリドーマを移植した動物の腹水から精製されている。この精製のために、プロテインAカラムが広く用いられている(非特許文献1)。プロテインAは、IgG抗体のFc領域に高い親和性を有するタンパク質であり、幅広い抗体を結合することができる。
【0003】
また、FabやscFvなどの抗体の抗原結合性断片は、抗体と同様に抗原結合能を有し、バイオ医薬品や診断薬として近年注目されている。抗体断片は抗体と比べて分子サイズが小さく、細胞への浸透の容易であり、体外へのクリアランスが迅速、製剤の粘性が低いなどの利点がある。更に、抗体断片の生産には大腸菌を宿主とした発現システムが広く用いられ、遺伝子操作が簡便で、費用対効果が高い生産が実現される。一方で、抗体断片の精製工程には依然として大きな課題があり、低コストでの大規模製造の障壁となっている。
【0004】
すなわち、抗体の精製にはプロテインAアフィニティクロマトグラフィーが汎用性の高い初期回収ステップとして最も広く利用される一方、抗体断片にはプロテインAの結合ターゲットであるFc領域が存在せず、その精製にプロテインAを用いることができない。そのため、抗体断片は通常、プロテインLアフィニティクロマトグラフィーと、イオン交換クロマトグラフィーなどを組み合わせた複数のステップによって精製される。プロテインLは、Peptostreptococcus magnus細菌の表面に発現するタンパク質であり、そのBドメインはIg軽鎖結合性を有する。しかしプロテインLはκ軽鎖に対してのみ親和性を示すため、λ軽鎖を有するIgGの精製に用いることができない。一方、ラクダ科のアフィニティーリガンド (LamdaFabSelect)はλ軽鎖に対してのみ親和性を示し、λ軽鎖を有するIgGの精製に使用することができる。また、ヒスチジンタグなどのペプチドタグが付いた抗体断片の精製には、固定化金属イオンアフィニティークロマトグラフィー (IMAC)を使用することができる。しかし、ペプチドタグが抗体断片の凝集を引き起こすことや、タグの切断および除去ステップを精製工程に組み込む必要があるなど、問題点が多い。このように、幅広いクラスのFabの精製に対して適応可能な手段が現状存在せず、包括的なFab精製法の開発が求められている。
【0005】
一方、本願出願人は、先にpH応答性コポリマーを発明し、特許出願した(特許文献1)。しかしながら、特許文献1には、イミダゾール骨格を持つカチオン性基を有するpH応答性コポリマーは記載されておらず、pH応答性コポリマーを抗体の分離に用いることも記載されていない。
【先行技術文献】
【特許文献】
【0006】
特開2020-143183号公報
【非特許文献】
【0007】
Low, D.; O'Leary, R.; Pujar, N. S. Future of antibody purification. J Chromatogr B Analyt Technol Biomed Life Sci. 2007, 848 (1), 48-63.
【発明の概要】
【発明が解決しようとする課題】
【0008】
上記のとおり、抗体の分離にはプロテインAカラムが広く用いられている。しかしながら、プロテインAは、タンパク質であるので耐久性がなく、また、製造コストが高いという問題がある。耐久性に優れ、安価に製造可能な、プロテインAに代わることができる、化学合成が可能な物質が求められている。
【0009】
また、簡便で汎用性の高い、抗体の抗原結合性断片の分離手段も求められている。
【0010】
したがって、本発明の目的は、耐久性に優れ、安価に製造可能な、抗体の分離に有用な新規物質及びそれを用いた抗体の分離手段を提供することである。
(【0011】以降は省略されています)
この特許をJ-PlatPat(特許庁公式サイト)で参照する
関連特許
株式会社カネカ
断熱材
3日前
東ソー株式会社
ペレット
26日前
株式会社カネカ
硬化性組成物
4か月前
ユニチカ株式会社
透明シート
2か月前
ユニチカ株式会社
透明シート
1か月前
株式会社コバヤシ
成形体
1か月前
東レ株式会社
熱硬化性樹脂組成物
2か月前
東レ株式会社
引抜成形品の製造方法
2か月前
東レ株式会社
ポリエステルフィルム
4か月前
東レ株式会社
ポリエステルフィルム
24日前
東ソー株式会社
ゴム用接着性改質剤
27日前
住友精化株式会社
吸水剤の製造方法
1か月前
東レ株式会社
ポリエステルフィルム
1か月前
丸住製紙株式会社
変性パルプ
1か月前
東ソー株式会社
プラスチゾル組成物
3日前
東ソー株式会社
樹脂組成物および蓋材
2か月前
東ソー株式会社
樹脂組成物および蓋材
2か月前
花王株式会社
樹脂組成物
4か月前
東レ株式会社
ポリプロピレンフィルム
1か月前
東レ株式会社
ポリオレフィン微多孔膜
3か月前
東ソー株式会社
エチレン系重合用触媒
6日前
横浜ゴム株式会社
重荷重タイヤ
1か月前
株式会社スリーボンド
硬化性樹脂組成物
1か月前
株式会社コバヤシ
光硬化性組成物
3か月前
アイカ工業株式会社
光硬化性樹脂組成物
1か月前
日本特殊陶業株式会社
樹脂成形体
1か月前
UBE株式会社
衝撃吸収材
1か月前
住友ベークライト株式会社
ポリマー
27日前
三洋化成工業株式会社
熱成形用樹脂組成物
1か月前
住友ベークライト株式会社
ポリマー
27日前
ノリタケ株式会社
担体構造体
1か月前
株式会社カネカ
硬化性組成物
1か月前
株式会社カネカ
硬化性組成物
2か月前
住友化学株式会社
樹脂組成物
1か月前
株式会社カネカ
シーリング材
1か月前
株式会社大阪ソーダ
熱可塑性材料用組成物
4か月前
続きを見る
他の特許を見る