TOP
|
特許
|
意匠
|
商標
特許ウォッチ
Twitter
他の特許を見る
10個以上の画像は省略されています。
公開番号
2025164121
公報種別
公開特許公報(A)
公開日
2025-10-30
出願番号
2024067918
出願日
2024-04-19
発明の名称
感光性樹脂組成物、感光性樹脂皮膜、感光性ドライフィルム、パターン形成方法、表示装置、及びマイクロLEDディスプレイ
出願人
信越化学工業株式会社
代理人
個人
,
個人
,
個人
主分類
G03F
7/004 20060101AFI20251023BHJP(写真;映画;光波以外の波を使用する類似技術;電子写真;ホログラフイ)
要約
【課題】高いリソグラフィー解像性、良好な青色光吸収特性を有する被膜を容易に形成できる感光性樹脂組成物、該感光性樹脂組成物を用いて得られる感光性樹脂皮膜、感光性ドライフィルム及びこれらを用いるパターン形成方法、並びに前記感光性樹脂組成物を用いて得られる表示装置を提供することを目的とする。
【解決手段】赤色もしくは緑色の蛍光を発することのできる量子ドット含有フォトレジスト硬化膜を透過した青色LED光吸収用の感光性樹脂組成物であって、(A)(メタ)アクリロイル基を側鎖に有するアクリル樹脂、(B)波長490~430nmのいずれかに吸収極大波長を持つ染料、(C)オキシム系光ラジカル発生剤、(D)界面活性剤、及び(E)溶剤を含むものであることを特徴とする感光性樹脂組成物。
【選択図】図1
特許請求の範囲
【請求項1】
赤色もしくは緑色の蛍光を発することのできる量子ドット含有フォトレジスト硬化膜を透過した青色LED光吸収用の感光性樹脂組成物であって、
(A)(メタ)アクリロイル基を側鎖に有するアクリル樹脂、
(B)波長490~430nmのいずれかに吸収極大波長を持つ染料、
(C)オキシム系光ラジカル発生剤、
(D)界面活性剤、及び
(E)溶剤
を含むものであることを特徴とする感光性樹脂組成物。
続きを表示(約 1,100 文字)
【請求項2】
前記(A)成分は、重量平均分子量Mwが10,000~50,000かつ二重結合当量が≦300g/mоlかつ酸価が≦10mgKOH/gであるアルカリ不溶性樹脂であることを特徴とする請求項1に記載の感光性樹脂組成物。
【請求項3】
前記(B)成分を前記感光性樹脂組成物の不揮発成分中に0.5~15質量%含むものであることを特徴とする請求項1に記載の感光性樹脂組成物。
【請求項4】
波長450~470nmの透過率が2%以下、波長515~535nmの透過率が80%以上、及び波長620~640nmの透過率が80%以上である膜厚1~10μmの硬化膜を与えるものであることを特徴とする請求項1に記載の感光性樹脂組成物。
【請求項5】
請求項1から請求項4のいずれか一項に記載の感光性樹脂組成物の乾燥体であることを特徴とする感光性樹脂皮膜。
【請求項6】
支持フィルムと、前記支持フィルム上に形成された請求項5に記載の感光性樹脂皮膜とを備えるものであることを特徴とする感光性ドライフィルム。
【請求項7】
パターン形成方法であって、
(i)請求項1から請求項4のいずれか一項に記載の感光性樹脂組成物を、赤色もしくは緑色の蛍光を発することのできる量子ドット含有フォトレジストで形成されたパターンを備えた基板上に塗布し、前記基板上に感光性樹脂皮膜を形成する工程、
(ii)前記感光性樹脂皮膜を露光する工程、及び
(iii)前記露光した感光性樹脂皮膜を現像液にて現像し、非露光部を溶解除去して量子ドット含有フォトレジスト上に膜厚1~10μmのパターンを形成する工程
を含むことを特徴とするパターン形成方法。
【請求項8】
前記(ii)工程の後にポストベイクを行わないことを特徴とする請求項7に記載のパターン形成方法。
【請求項9】
パターン形成方法であって、
(i’)請求項6に記載の感光性ドライフィルムの前記感光性樹脂皮膜を、赤色もしくは緑色の蛍光を発することのできる量子ドット含有フォトレジストで形成されたパターンを備えた基板上に貼り付けて、前記基板上に前記感光性樹脂皮膜を形成する工程、
(ii’)前記感光性樹脂皮膜を露光する工程、及び
(iii’)前記露光した感光性樹脂皮膜を現像液にて現像し、非露光部を溶解除去して量子ドット含有フォトレジスト上に膜厚1~10μmのパターンを形成する工程
を含むことを特徴とするパターン形成方法。
【請求項10】
前記(ii’)工程の後にポストベイクを行わないことを特徴とする請求項9に記載のパターン形成方法。
(【請求項11】以降は省略されています)
発明の詳細な説明
【技術分野】
【0001】
本発明は、感光性樹脂組成物、感光性樹脂皮膜、感光性ドライフィルム、パターン形成方法、表示装置、及びマイクロLEDディスプレイに関する。
続きを表示(約 1,600 文字)
【背景技術】
【0002】
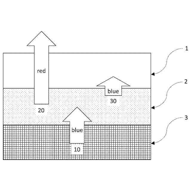
赤色、緑色および青色のサブピクセルを含むディスプレイを形成するために、様々な方法が提案されている。その中の一つの方法として、色変換構造体を通してLEDアレイからの光を青色であるより短い波長から、赤色および緑色であるより長い波長の光に変換する方法がある。この色変換を担うものとしては量子ドットが用いられている。
【0003】
近年、このLEDアレイはマイクロサイズとなっており、これを用いたマイクロLEDディスプレイが注目されている。色変換構造体をLEDアレイ上に形成する方法としては感光性材料を用いたリソグラフィープロセスがあるが(特許文献1)、パターンを形成するためにリソグラフィープロセス中の露光波長の透過率を確保すると、硬化膜に下から青色LEDの光を当てた際に量子ドットにより色変換されずに透過してしまう青色光が表に出てきてしまいディスプレイの鮮明さを欠いてしまう問題がある(一般的に量子ドットの吸光度がリソグラフィープロセス中の露光波長>青色LED光波長のため)。
【先行技術文献】
【特許文献】
【0004】
特開2021-089347号公報
【発明の概要】
【発明が解決しようとする課題】
【0005】
赤色に発光する量子ドット含有フォトレジスト硬化膜が青色LED上に積層されたサブピクセル、緑色に発光する量子ドット含有フォトレジスト硬化膜が青色LED上に積層されたサブピクセル、これらが積層されていない青色LEDからなるサブピクセルの3つで色の三原色を成して一つのピクセルとしてフルカラーの色を表現するわけだが、量子ドット含有フォトレジスト硬化膜が青色の光を透過してしまうとフルカラーの表現が困難になる。これを解決するためには赤色に発光する量子ドット含有フォトレジスト硬化膜と緑色に発光する量子ドット含有フォトレジスト硬化膜の上だけに選択的に(量子ドット含有フォトレジスト硬化膜が積層されていない青色LEDからなるサブピクセル上にまで積層してしまうと青の発光が取り出せなくなってしまうため)青色の光の吸収層を形成できる材料を開発する必要がある。
【0006】
本発明は、前記事情に鑑みなされたもので、高いリソグラフィー解像性、良好な青色光吸収特性を有する被膜を容易に形成できる感光性樹脂組成物、該感光性樹脂組成物を用いて得られる感光性樹脂皮膜、感光性ドライフィルム及びこれらを用いるパターン形成方法、並びに前記感光性樹脂組成物を用いて得られる表示装置を提供することを目的とする。
【課題を解決するための手段】
【0007】
上記課題を解決するために、本発明では、
赤色もしくは緑色の蛍光を発することのできる量子ドット含有フォトレジスト硬化膜を透過した青色LED光吸収用の感光性樹脂組成物であって、
(A)(メタ)アクリロイル基を側鎖に有するアクリル樹脂、
(B)波長490~430nmのいずれかに吸収極大波長を持つ染料、
(C)オキシム系光ラジカル発生剤、
(D)界面活性剤、及び
(E)溶剤
を含むものである感光性樹脂組成物を提供する。
【0008】
このようなものであれば、高いリソグラフィー解像性、良好な青色光吸収特性を有する被膜を容易に形成できる感光性樹脂組成物となる。
【0009】
また、前記(A)成分は、重量平均分子量Mwが10,000~50,000かつ二重結合当量が≦300g/mоlかつ酸価が≦10mgKOH/gであるアルカリ不溶性樹脂であることが好ましい。
【0010】
(A)(メタ)アクリロイル基を側鎖に有するアクリル樹脂の重量平均分子量が前記範囲内にあれば、現像時に露光部の膜減少が生じにくく、非露光部分の溶解性が良好である。
(【0011】以降は省略されています)
特許ウォッチbot のツイートを見る
この特許をJ-PlatPat(特許庁公式サイト)で参照する
関連特許
信越化学工業株式会社
化粧料
27日前
信越化学工業株式会社
電磁波遮蔽部材
1か月前
信越化学工業株式会社
炭化金属被覆材料
4日前
信越化学工業株式会社
光ファイバ母材の製造方法
24日前
信越化学工業株式会社
複合基板およびその製造方法
1か月前
信越化学工業株式会社
非晶質固体分散体を含む複合物
27日前
信越化学工業株式会社
オルガノポリシロキサンを含む冷媒
9日前
信越化学工業株式会社
オルガノポリシロキサンを含む冷媒
9日前
信越化学工業株式会社
オルガノポリシロキサンを含む冷媒
9日前
信越化学工業株式会社
光ファイバ用多孔質母材の製造装置
24日前
信越化学工業株式会社
熱伝導性シリコーン組成物及びその硬化物
24日前
信越化学工業株式会社
酸化物単結晶複合基板およびその製造方法
1か月前
信越化学工業株式会社
熱伝導性シリコーン組成物及びその硬化物
11日前
信越化学工業株式会社
室温硬化性オルガノポリシロキサン組成物
26日前
信越化学工業株式会社
超音波カップリング材複合膜及び超音波検査方法
3日前
信越化学工業株式会社
オルガノポリシロキサン及びこれを含有する化粧料
16日前
信越化学工業株式会社
含窒素多官能オルガノキシシラン化合物の製造方法
11日前
信越化学工業株式会社
キーパッド作製用シリコーンゴム組成物及びキーパッド
25日前
信越化学工業株式会社
環状アミノオルガノキシシラン化合物およびその製造方法
27日前
信越化学工業株式会社
オニウム塩、化学増幅レジスト組成物及びパターン形成方法
18日前
信越化学工業株式会社
密着膜形成用組成物、パターン形成方法、及び密着膜の形成方法
9日前
信越化学工業株式会社
反射型フォトマスクブランク、及び反射型フォトマスクの製造方法
25日前
信越化学工業株式会社
金属含有膜形成用化合物、金属含有膜形成用組成物、パターン形成方法
3日前
信越化学工業株式会社
徐放性フェロモン製剤
9日前
信越化学工業株式会社
有機膜形成用組成物、有機膜形成方法、パターン形成方法、及び重合体
18日前
信越化学工業株式会社
ミラブル型フロロシリコーンゴム組成物及び輸送機のエンジン周辺用ゴム部品
16日前
信越化学工業株式会社
合成石英ガラス基板及びその製造方法、並びに光学素子パッケージ封止用窓材の製造方法
9日前
信越化学工業株式会社
ラジカル重合性基含有環状オルガノシロキサン、その製造方法およびそれを含む硬化性組成物
17日前
信越化学工業株式会社
ラジカル重合性基含有環状オルガノシロキサン誘導体、その製造方法およびそれを含む硬化性組成物
17日前
信越化学工業株式会社
多層構造型の感光性ドライフィルム、パターン形成方法、表示装置、及びマイクロLEDディスプレイ
24日前
信越化学工業株式会社
ネガ型感光性樹脂組成物、パターン形成方法、硬化被膜形成方法、層間絶縁膜、表面保護膜、及び電子部品
24日前
信越化学工業株式会社
ミラブル型シリコーンゴム原料混合物及びコンパウンド並びに、コンパウンドの製造方法及び組成物の製造方法
16日前
信越化学工業株式会社
重合体、ネガ型感光性樹脂組成物、パターン形成方法、硬化被膜形成方法、層間絶縁膜、表面保護膜、及び電子部品
24日前
信越化学工業株式会社
感光性樹脂組成物、感光性樹脂皮膜、感光性ドライフィルム、パターン形成方法、表示装置、及びマイクロLEDディスプレイ
24日前
信越化学工業株式会社
感光性樹脂組成物、感光性樹脂皮膜、感光性ドライフィルム、パターン形成方法、表示装置、及びマイクロLEDディスプレイ
24日前
個人
表示装置
1か月前
続きを見る
他の特許を見る