TOP
|
特許
|
意匠
|
商標
特許ウォッチ
Twitter
他の特許を見る
10個以上の画像は省略されています。
公開番号
2025162804
公報種別
公開特許公報(A)
公開日
2025-10-28
出願番号
2024066231
出願日
2024-04-16
発明の名称
遊泳速度測定装置、遊泳速度測定方法、及びプログラム
出願人
古野電気株式会社
代理人
個人
,
個人
,
個人
主分類
G01S
15/58 20060101AFI20251021BHJP(測定;試験)
要約
【課題】遊泳速度の計測精度を向上させることが可能な遊泳速度測定装置を提供する。
【解決手段】遊泳速度測定装置は、定期的に水中に発射され、水中を遊泳する遊泳物により反射された超音波ピングに基づいてエコー信号を生成するトランスデューサと、2つのエコー信号の位相差に基づいて、遊泳物の視線速度を算出する視線速度算出部と、2つのエコー信号に基づいて、時間に対する遊泳物とトランスデューサの間の距離の一次微分を算出する距離微分算出部と、視線速度と距離の一次微分とに基づいて、遊泳物の遊泳速度を算出する遊泳速度算出部と、を備える。
【選択図】図1
特許請求の範囲
【請求項1】
定期的に水中に発射され、前記水中を遊泳する遊泳物により反射された超音波ピングに基づいてエコー信号を生成するトランスデューサと、
2つの前記エコー信号の位相差に基づいて、前記遊泳物の視線速度を算出する視線速度算出部と、
前記2つの前記エコー信号に基づいて、時間に対する前記遊泳物と前記トランスデューサの間の距離の一次微分を算出する距離微分算出部と、
前記視線速度と前記距離の一次微分とに基づいて、前記遊泳物の遊泳速度を算出する遊泳速度算出部と、
を備える、遊泳速度測定装置。
続きを表示(約 1,100 文字)
【請求項2】
前記遊泳速度算出部は、前記視線速度と前記距離の一次微分との比較に基づいて、前記視線速度を補正する、
請求項1に記載の遊泳速度測定装置。
【請求項3】
前記遊泳速度算出部は、前記補正された視線速度と前記距離との積に基づいて、前記遊泳速度を算出する、
請求項2に記載の遊泳速度測定装置。
【請求項4】
前記遊泳速度算出部は、前記積が時間に関する一次関数であることに基づいて、前記遊泳速度を算出する、
請求項3に記載の遊泳速度測定装置。
【請求項5】
前記遊泳速度算出部は、前記一次関数の傾きが前記遊泳速度の二乗に対応することに基づいて、前記遊泳速度を算出する、
請求項4に記載の遊泳速度測定装置。
【請求項6】
前記エコー信号において同じ前記遊泳物からのエコーをトラッキングするトラッキング部をさらに備える、
請求項1に記載の遊泳速度測定装置。
【請求項7】
前記トランスデューサは、シングルビームトランスデューサである、
請求項1に記載の遊泳速度測定装置。
【請求項8】
前記トランスデューサは、1又は複数の受波ビームを形成することで前記エコー信号を生成し、
前記2つの前記エコー信号は、前記1又は複数の受波ビームの1つで生成される、
請求項1に記載の遊泳速度測定装置。
【請求項9】
トランスデューサで、定期的に水中に発射され、前記水中を遊泳する遊泳物により反射された超音波ピングに基づいてエコー信号を生成し、
2つの前記エコー信号の位相差に基づいて、前記遊泳物の視線速度を算出し、
前記2つの前記エコー信号に基づいて、時間に対する前記遊泳物と前記トランスデューサの間の距離の一次微分を算出し、
前記視線速度と前記距離の一次微分とに基づいて、前記遊泳物の遊泳速度を算出する、
遊泳速度測定方法。
【請求項10】
トランスデューサで、定期的に水中に発射され、前記水中を遊泳する遊泳物により反射された超音波ピングに基づいて生成されたエコー信号を取得すること、
2つの前記エコー信号の位相差に基づいて、前記遊泳物の視線速度を算出すること、
前記2つの前記エコー信号に基づいて、時間に対する前記遊泳物と前記トランスデューサの間の距離の一次微分を算出すること、及び
前記視線速度と前記距離の一次微分とに基づいて、前記遊泳物の遊泳速度を算出すること、
をコンピュータに実行させるためのプログラム。
発明の詳細な説明
【技術分野】
【0001】
本発明は、遊泳速度測定装置、遊泳速度測定方法、及びプログラムに関する。
続きを表示(約 1,100 文字)
【背景技術】
【0002】
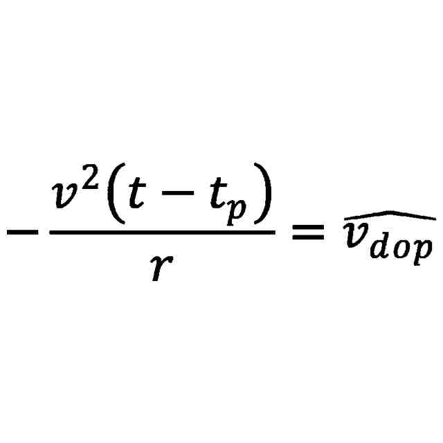
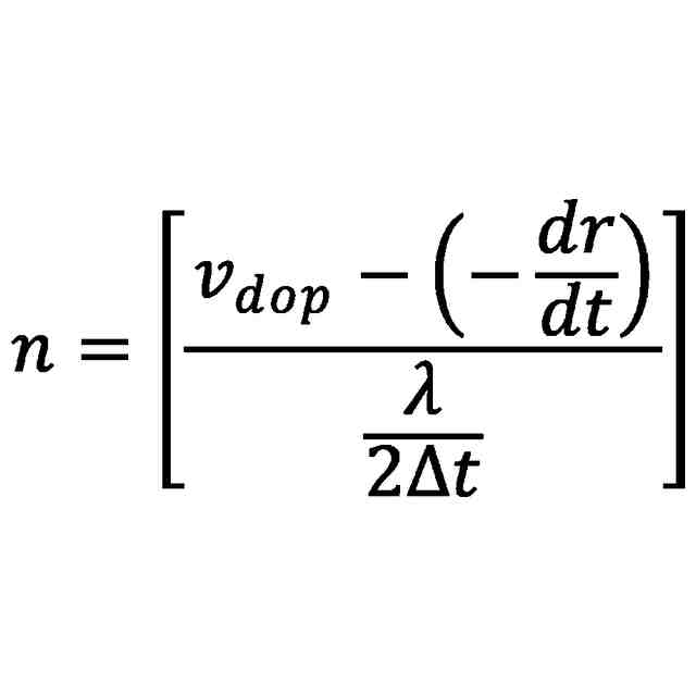
特許文献1には、シングルビームトランスデューサを用い、トランスデューサと魚の距離が双曲線に従って時間とともに変化することを利用して、魚の遊泳速度を算出する技術が開示されている(段落0085~0094参照)。
【先行技術文献】
【特許文献】
【0003】
特開2022-158950号公報
【発明の概要】
【発明が解決しようとする課題】
【0004】
しかしながら、特許文献1に開示された技術では、遊泳速度の計測精度が十分でない。
【0005】
本発明は、上記課題に鑑みてなされたものであり、その主な目的は、遊泳速度の計測精度を向上させることが可能な遊泳速度測定装置、遊泳速度測定方法、及びプログラムを提供することにある。
【課題を解決するための手段】
【0006】
上記課題を解決するため、本発明の一の態様の遊泳速度測定装置は、定期的に水中に発射され、前記水中を遊泳する遊泳物により反射された超音波ピングに基づいてエコー信号を生成するトランスデューサと、2つの前記エコー信号の位相差に基づいて、前記遊泳物の視線速度を算出する視線速度算出部と、前記2つの前記エコー信号に基づいて、時間に対する前記遊泳物と前記トランスデューサの間の距離の一次微分を算出する距離微分算出部と、前記視線速度と前記距離の一次微分とに基づいて、前記遊泳物の遊泳速度を算出する遊泳速度算出部と、を備える。これによれば、遊泳速度の計測精度を向上させることが可能となる。
【0007】
上記態様において、前記遊泳速度算出部は、前記視線速度と前記距離の一次微分との比較に基づいて、前記視線速度を補正してもよい。これによれば、遊泳速度の計測精度を向上させることが可能となる。
【0008】
上記態様において、前記遊泳速度算出部は、前記補正された視線速度と前記距離との積に基づいて、前記遊泳速度を算出してもよい。これによれば、遊泳速度の計測精度を向上させることが可能となる。
【0009】
上記態様において、前記遊泳速度算出部は、前記積が時間に関する一次関数であることに基づいて、前記遊泳速度を算出してもよい。これによれば、遊泳速度の計測精度を向上させることが可能となる。
【0010】
上記態様において、前記遊泳速度算出部は、前記一次関数の傾きが前記遊泳速度の二乗に対応することに基づいて、前記遊泳速度を算出してもよい。これによれば、遊泳速度の計測精度を向上させることが可能となる。
(【0011】以降は省略されています)
この特許をJ-PlatPat(特許庁公式サイト)で参照する
関連特許
古野電気株式会社
送受波器
1か月前
古野電気株式会社
位置推定装置
12日前
古野電気株式会社
位置推定装置
12日前
古野電気株式会社
ヘリカルアンテナ
19日前
古野電気株式会社
アンテナ装置、送信機、及びレーダー
19日前
古野電気株式会社
魚量情報表示システムおよび魚量情報表示方法
5日前
古野電気株式会社
画像表示装置、画像表示方法およびプログラム
19日前
古野電気株式会社
船舶航行支援システム、および、船舶航行支援方法
1か月前
古野電気株式会社
遊泳速度測定装置、遊泳速度測定方法、及びプログラム
1か月前
古野電気株式会社
海図情報表示システム、海図情報表示方法、及びプログラム
1か月前
古野電気株式会社
レーダ装置、エコー画像生成方法およびエコー画像生成プログラム
1か月前
古野電気株式会社
機器診断装置、遠隔機器監視方法、遠隔機器監視システム及び機器診断プログラム
6日前
個人
視触覚センサ
4日前
個人
採尿及び採便具
1か月前
日本精機株式会社
検出装置
1か月前
個人
計量機能付き容器
29日前
愛知電機株式会社
外観検査装置
今日
株式会社カクマル
境界杭
19日前
日本精機株式会社
発光表示装置
12日前
愛知電機株式会社
外観検査方法
今日
甲神電機株式会社
電流検出装置
1か月前
株式会社ミツトヨ
測定器
1か月前
ユニパルス株式会社
トルク変換器
4日前
ユニパルス株式会社
トルク変換器
4日前
ユニパルス株式会社
トルク変換器
4日前
株式会社トプコン
測量装置
11日前
アズビル株式会社
電磁流量計
1か月前
大成建設株式会社
風洞実験装置
29日前
個人
システム、装置及び実験方法
1か月前
個人
非接触による電磁パルスの測定方法
1か月前
愛知電機株式会社
軸部材の外観検査装置
1か月前
日本特殊陶業株式会社
ガスセンサ
4日前
個人
計量具及び計量機能付き容器
29日前
日本信号株式会社
距離画像センサ
1か月前
大和製衡株式会社
組合せ計量装置
1か月前
大和製衡株式会社
組合せ計量装置
1か月前
続きを見る
他の特許を見る