TOP
|
特許
|
意匠
|
商標
特許ウォッチ
Twitter
他の特許を見る
10個以上の画像は省略されています。
公開番号
2025162615
公報種別
公開特許公報(A)
公開日
2025-10-28
出願番号
2024065879
出願日
2024-04-16
発明の名称
負荷制御装置
出願人
株式会社明電舎
代理人
個人
,
個人
,
個人
,
個人
主分類
G05B
11/36 20060101AFI20251021BHJP(制御;調整)
要約
【課題】軌道拘束された制御対象に対する負荷計算の軽減および負荷設計の自由度を確保する。
【解決手段】モード逆変換(Q
2a
-1
)部2は、アクチュエータの位置応答から制御対象の動作軌道についてモード変換行列を用いて接線・法線のモードを算出する。負荷制御器3は、接線のモードの指令値に基づき接線上に沿って制御対象の動作に印加する負荷を制御する加速度参照値を算出する。位置制御器4は、法線のモードの指令値に基づき制御対象の位置制御を直線軌道上に拘束する加速度参照値を算出する。モード逆変換(Q
2a
-1
)部5は、両加速度参照値から各アクチュエータの加速度参照値へモードを逆変換する。加速度制御器6は、各アクチュエータの加速度参照値から各アクチュエータのトルク指令を算出する。
【選択図】図1
特許請求の範囲
【請求項1】
制御対象の動作する軌道を制御し、軌道上の動作に負荷を印加するアクチュエータを制御する装置であって、
前記アクチュエータの位置応答から制御対象の動作軌道についてモード変換行列を用いて接線・法線のモードを算出するモード変換部と、
前記接線のモードの指令値に基づき接線上に沿って前記制御対象の動作に印加する負荷を制御する加速度参照値を算出する負荷制御器と、
前記法線のモードの指令値に基づき前記制御対象の位置制御を直線軌道上に拘束する加速度参照値を算出する位置制御器と、
前記両加速度参照値から前記各アクチュエータの加速度参照値へモードの逆変換をするモード逆変換部と、
前記各アクチュエータの加速度参照値から前記各アクチュエータのトルク指令を算出する加速度制御器と、
を備え、
前記接線の方向では拘束軌道上での負荷を制御する一方、前記法線の方向では軌道の拘束を制御し、
前記接線の方向の制御と前記法線の方向の制御とをそれぞれ独立に制御することを特徴とする負荷制御装置。
続きを表示(約 940 文字)
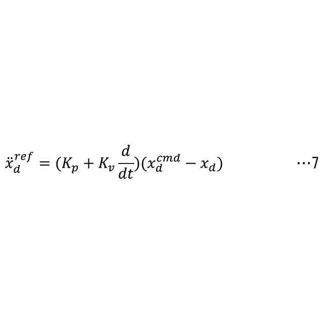
【請求項2】
前記モード変換部は、
前記モード変換行列を用いて前記アクチュエータの位置応答[x
1
,x
2
]から制御対象の動作軌道について接線・法線モード[x
c
,x
d
]を算出する一方、
前記位置制御器は、
前記法線モードの指令値(式3)をゼロとする位置制御を実行することで制御対象の動作を「y=ax」で表現される直線に軌道を拘束する
ことを特徴とする請求項1記載の負荷制御装置。
TIFF
2025162615000021.tif
16
166
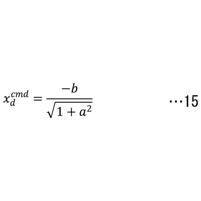
【請求項3】
前記モード変換部は、
前記モード変換行列を用いて前記アクチュエータの位置応答[x
1
,x
2
]から制御対象の動作軌道について接線・法線モード[x
c
,x
d
]を算出する一方、
前記位置制御器には、
式15に示す指令値の位置制御を実行することで前記制御対象の動作を「y=ax+b」で表現される直線に軌道を拘束する
ことを特徴とする請求項1記載の負荷制御装置。
TIFF
2025162615000022.tif
20
166
【請求項4】
前記位置制御器は、
前記直線のパラメータ「a,b」を順次更新することで前記制御対象の動作を「y=f(x)」で表現される非線形な曲線の軌道に拘束する
ことを特徴とする請求項3記載の負荷制御装置。
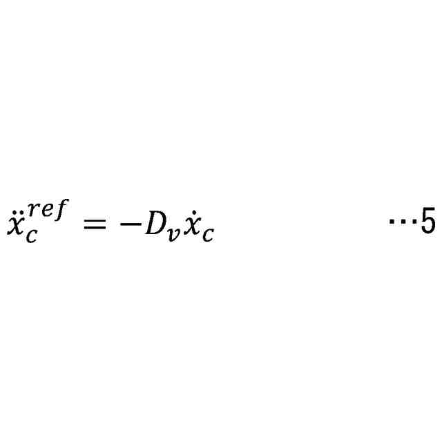
【請求項5】
前記制御対象は、
前記アクチュエータとして、
x軸の回転運動に対する電動機と、
y軸の直動運動に対する電動機と、
を備え、
前記モード変換部は、前記各電動機の位置応答[x,y]を前記アクチュエータの位置応答[x
1
,x
2
]として、
前記各運動の動作を拘束して負荷を印加することを特徴とする請求項2~4のいずれか記載の負荷制御装置。
発明の詳細な説明
【技術分野】
【0001】
本発明は、制御対象の動作する軌道を制御し、軌道上の動作に対する負荷を制御する装置に関する。
続きを表示(約 1,600 文字)
【背景技術】
【0002】
非特許文献1は、「拘束する軌道およびトルクリミットを拘束条件とし、最短時間で拘束する軌道に向かう制御入力を求める」最適化問題を定式化し、解を算出している。
【0003】
特許文献1および非特許文献2は、ロボットの手先位置を経路へ誘導するポテンシャル場を生成する。そのようなポテンシャル場を生成するためには、カーネルガウス関数を要素とする多くのポテンシャル場の重ね合わせ・重み調整が必要となる。経路への拘束を強めるためには谷断面の傾斜を急勾配とし、経路上の推進力を高めるには谷底の経路の落差を大きくするなどのポテンシャルの設計を行う。
【先行技術文献】
【特許文献】
【0004】
US11554485B2
【非特許文献】
【0005】
”An Efficient Robot Arm Control Under Geometric Path Constraints”
“Learning Potential Functions from Human Demonstrations with Encapsulated Dynamic and Compliant Behaviors”
Kiyoshi Ohishi,Yuzuru Ohba,Seiichiro Katsura “Kinematics and Dynamics of Motion Control Based on Acceleration Control” IEEJ Trans.IA,Vol.127,No6.2007
【発明の概要】
【発明が解決しようとする課題】
【0006】
しかしながら、非特許文献1の技術は、制御対象の軌道を拘束することは可能なものの、軌道上の動作に対する負荷調整は想定されていない。
【0007】
そこで、非特許文献2および特許文献1の技術が提案されているが、ポテンシャル場が複雑であるほど要素となる関数の重ね合わせ・重み調整が多く必要となり、計算負荷が高まるおそれがある。
【0008】
また、軌道上の負荷については、ポテンシャル場の保存力を通して与えているため、時間に応じた負荷の変化などは与えることができず、負荷の設計自由度が制限されるおそれもある。
【0009】
本発明は、このような従来技術の問題を解決するためになされ、軌道拘束された制御対象に対する負荷計算の軽減および負荷設計の自由度を確保することを解決課題としている。
【課題を解決するための手段】
【0010】
(1)本発明は、制御対象の動作する軌道を制御し、軌道上の動作に負荷を印加するアクチュエータを制御する装置であって、
前記アクチュエータの位置応答から制御対象の動作軌道についてモード変換行列を用いて接線・法線のモードを算出するモード変換部と、
前記接線のモードの指令値に基づき接線上に沿って前記制御対象の動作に印加する負荷を制御する加速度参照値を算出する負荷制御器と、
前記法線のモードの指令値に基づき前記制御対象の位置制御を直線軌道上に拘束する加速度参照値を算出する位置制御器と、
前記両加速度参照値から前記各アクチュエータの加速度参照値へモードの逆変換をするモード逆変換部と、
前記各アクチュエータの加速度参照値から前記各アクチュエータのトルク指令を算出する加速度制御器と、
を備え、
前記接線の方向では拘束軌道上での負荷を制御する一方、前記法線の方向では軌道の拘束を制御し、
前記接線の方向の制御と前記法線の方向の制御とをそれぞれ独立に制御することを特徴としている。
(【0011】以降は省略されています)
この特許をJ-PlatPat(特許庁公式サイト)で参照する
関連特許
株式会社明電舎
回転機
1か月前
株式会社明電舎
成膜装置
23日前
株式会社明電舎
回転電機
2か月前
株式会社明電舎
回転電機
2か月前
株式会社明電舎
回転電機
1か月前
株式会社明電舎
ドローン
1か月前
株式会社明電舎
負荷制御装置
22日前
株式会社明電舎
負荷制御装置
22日前
株式会社明電舎
電力変換装置
2か月前
株式会社明電舎
電力変換装置
2か月前
株式会社明電舎
車両固定装置
1か月前
株式会社明電舎
車両固定装置
1か月前
株式会社明電舎
負荷制御装置
22日前
株式会社明電舎
電力系統システム
1か月前
株式会社明電舎
センサ固定用治具
1か月前
株式会社明電舎
電流制御システム
1か月前
株式会社明電舎
ロータ及び回転機
1か月前
株式会社明電舎
オゾン水の生成装置
1か月前
株式会社明電舎
オゾン水の生成装置
1か月前
株式会社明電舎
オゾン水の生成装置
1か月前
株式会社明電舎
電極構造,真空インタラプタ
2か月前
株式会社明電舎
遮断器のリンク機構、遮断器
1か月前
株式会社明電舎
不良検知装置及び不良検知方法
1か月前
株式会社明電舎
半導体モジュールおよび電力変換装置
1か月前
株式会社明電舎
ロータ、回転電機及び車両駆動用装置
1か月前
株式会社明電舎
架線位置計測装置及び架線位置計測方法
1か月前
株式会社明電舎
水冷式回転機のフレーム、及びその製造方法
1か月前
株式会社明電舎
目標車速パターンデータ生成方法及び試験方法
1か月前
株式会社明電舎
電力変換装置および電力変換装置のゲート指令生成方法
1か月前
株式会社明電舎
出力調整機構、電界放射装置及び電界放射装置の出力制御方法
1か月前
株式会社明電舎
絶縁型DC/DC変換器および絶縁型DC/DC変換器の制御方法
1か月前
株式会社明電舎
部分放電測定システムおよびその測定装置、部分放電測定方法、部分放電測定プログラム
2か月前
国立大学法人長岡技術科学大学
グリッドフォーミングインバータの制御装置および制御方法
1か月前
個人
生産早送り装置
3か月前
株式会社豊田自動織機
産業車両
2か月前
株式会社カネカ
製造システム
2か月前
続きを見る
他の特許を見る