TOP
|
特許
|
意匠
|
商標
特許ウォッチ
Twitter
他の特許を見る
公開番号
2025161283
公報種別
公開特許公報(A)
公開日
2025-10-24
出願番号
2024064346
出願日
2024-04-12
発明の名称
排ガス浄化用触媒
出願人
トヨタ自動車株式会社
代理人
弁理士法人平木国際特許事務所
主分類
B01J
23/89 20060101AFI20251017BHJP(物理的または化学的方法または装置一般)
要約
【課題】本発明は、排ガス浄化用触媒において、触媒金属の触媒活性を向上する手段を提供する。
【解決手段】本発明の一態様は、担体と、該担体に担持された、ロジウムを含む触媒金属ナノ粒子とを有する排ガス浄化用触媒であって、該触媒金属ナノ粒子に、ロジウムの総物質量に対して、30から50 mol%の範囲の鉄と、30から90 mol%の範囲のイリジウムとが固溶している、前記排ガス浄化用触媒に関する。
【選択図】図3
特許請求の範囲
【請求項1】
担体と、該担体に担持された、ロジウムを含む触媒金属ナノ粒子とを有する排ガス浄化用触媒であって、
該触媒金属ナノ粒子に、ロジウムの総物質量に対して、30から50 mol%の範囲の鉄と、30から90 mol%の範囲のイリジウムとが固溶している、
前記排ガス浄化用触媒。
発明の詳細な説明
【技術分野】
【0001】
本発明は、排ガス浄化用触媒に関する。
続きを表示(約 1,400 文字)
【背景技術】
【0002】
自動車等の排ガス浄化用触媒は、エンジンから排出される排ガスに含まれる炭化水素(HC)及び一酸化炭素(CO)を酸化して水及び二酸化炭素に、窒素酸化物(NOx)を還元して窒素に、それぞれ変換する。このような触媒活性を有する排ガス浄化用触媒としては、通常は、パラジウム(Pd)、ロジウム(Rh)及び白金(Pt)等の触媒貴金属の粒子を含有する触媒層を、耐熱性の基材に被覆した貴金属担持触媒が使用される。
【0003】
例えば、特許文献1は、ロジウムとイリジウムが少なくとも部分的に固溶してなる二元金属粒子であって、CuKα線によるX線回折において40.66°<2θ<41.07°の位置に回折ピークを有する二元金属粒子を触媒担体に担持してなる、排ガス浄化用触媒を記載する。
【先行技術文献】
【特許文献】
【0004】
特開2015-180485号公報
【発明の概要】
【発明が解決しようとする課題】
【0005】
排ガス浄化用触媒においては、原材料コスト削減のため触媒金属の使用量削減が求められている。特に、Rhは、近年価格が倍増する等、価格高騰が著しい。このため、Rhを含む触媒金属の使用量削減のため、該触媒金属の触媒活性の向上が求められている。
【0006】
それ故、本発明は、排ガス浄化用触媒において、触媒金属の触媒活性を向上する手段を提供することを目的とする。
【課題を解決するための手段】
【0007】
本発明者らは、前記課題を解決するための手段を種々検討した。本発明者らは、Rhを含む触媒金属ナノ粒子において、鉄(Fe)及びイリジウム(Ir)を所定量固溶させることにより、Rhの使用量を削減しつつ触媒活性を向上させることができることを見出した。本発明者らは、前記知見に基づき、本発明を完成した。
【0008】
すなわち、本発明は、以下の態様及び実施形態を包含する。
(実施形態1) 担体と、該担体に担持された、ロジウムを含む触媒金属ナノ粒子とを有する排ガス浄化用触媒であって、
該触媒金属ナノ粒子に、ロジウムの総物質量に対して、30から50 mol%の範囲の鉄と、30から90 mol%の範囲のイリジウムとが固溶している、
前記排ガス浄化用触媒。
【発明の効果】
【0009】
本発明により、排ガス浄化用触媒において、触媒金属の触媒活性を向上する手段を提供することが可能となる。
【図面の簡単な説明】
【0010】
試験5の排ガス浄化用触媒の走査透過電子顕微鏡画像である。
比較例1及び2、並びに試験2の排ガス浄化用触媒のNO-CO反応における反応温度と触媒活性との関係を示すグラフである。図中、横軸は、測定時の温度(℃)であり、縦軸は、NOからN
2
への転化率(%)である。
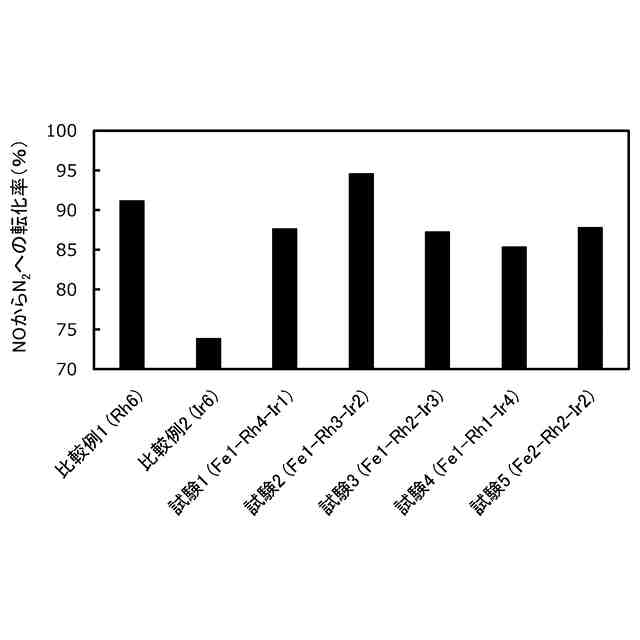
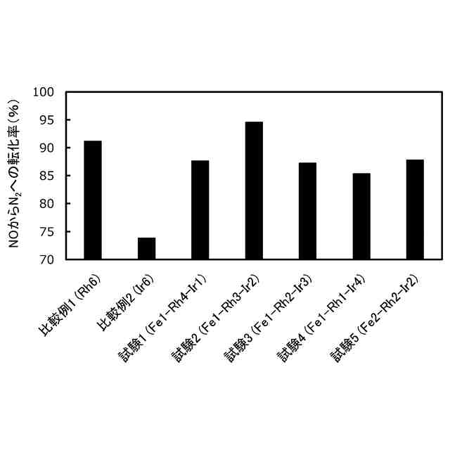
比較例1及び2、並びに試験1から5の排ガス浄化用触媒の320℃におけるNO-CO反応の触媒活性を示すグラフである。図中、縦軸は、NOからN
2
への転化率(%)である。
【発明を実施するための形態】
(【0011】以降は省略されています)
特許ウォッチbot のツイートを見る
この特許をJ-PlatPat(特許庁公式サイト)で参照する
関連特許
株式会社西部技研
除湿装置
1か月前
株式会社日本触媒
ドロー溶質
1か月前
プライミクス株式会社
攪拌装置
7日前
日本バイリーン株式会社
フィルタ
21日前
サンノプコ株式会社
消泡剤
1か月前
東レ株式会社
遠心ポッティング方法
28日前
トヨタ自動車株式会社
濾過装置
22日前
株式会社切川物産
撹拌装置
8日前
トヨタ紡織株式会社
フィルタ
1日前
トヨタ紡織株式会社
水流帯電装置
1日前
個人
気液混合装置
1か月前
栗田工業株式会社
ギ酸の回収方法
8日前
松岡紙業 株式会社
油吸着体の製造方法
1か月前
東芝ライテック株式会社
光照射装置
22日前
富士電機株式会社
ガス処理システム
1か月前
株式会社フクハラ
圧縮空気圧回路ユニット
1か月前
株式会社明電舎
成膜装置
1か月前
東芝ライテック株式会社
紫外線処理装置
7日前
日本化薬株式会社
直鎖ブテン製造用触媒及びその使用
28日前
本田技研工業株式会社
二酸化炭素回収装置
1か月前
個人
フッ化炭素糸物にフッ素をコーティングした浄水手段
1か月前
いであ株式会社
PFAS除去用バイオ炭の製造方法
23日前
三浦工業株式会社
撹拌装置
1か月前
日本碍子株式会社
電気加熱式担体
1か月前
三菱重工業株式会社
石膏脱水システム
21日前
JFEエンジニアリング株式会社
二酸化炭素回収方法
1か月前
栗田工業株式会社
有機物含有水の脱泡処理装置
15日前
オルガノ株式会社
ろ過膜の洗浄方法及び洗浄装置
15日前
株式会社豊田中央研究所
二酸化炭素回収システム
1日前
株式会社大気社
気体処理装置
1か月前
大阪瓦斯株式会社
二酸化炭素回収システム
1か月前
大阪瓦斯株式会社
二酸化炭素回収システム
1か月前
三菱ケミカル株式会社
精製ガスの製造方法
1か月前
みづほ工業株式会社
撹拌装置、及び撹拌羽根取付け方法
1か月前
パナソニックIPマネジメント株式会社
除湿装置
1か月前
パナソニックIPマネジメント株式会社
除湿装置
1か月前
続きを見る
他の特許を見る