TOP
|
特許
|
意匠
|
商標
特許ウォッチ
Twitter
他の特許を見る
10個以上の画像は省略されています。
公開番号
2025157260
公報種別
公開特許公報(A)
公開日
2025-10-15
出願番号
2025106937,2022561153
出願日
2025-06-25,2021-03-25
発明の名称
複屈折データの効率的な読み取り
出願人
マイクロソフト テクノロジー ライセンシング,エルエルシー
,
MICROSOFT TECHNOLOGY LICENSING, LLC
代理人
個人
,
個人
,
個人
,
個人
,
個人
主分類
G11B
7/005 20060101AFI20251007BHJP(情報記憶)
要約
【課題】誘電性記憶媒体において複屈折として記憶されたデータの読み取りに利用される時間を削減するシステム及び方法を提供する。
【解決手段】複屈折データを読み取るためのシステム(800)であって、1つ又は複数の光源(802~806)と、1つ又は複数の光源によって出力された第1の波長帯域の光から第1の偏光を生成するように位置決めされた第1の偏光状態ジェネレータ(808)と、第2の偏光状態ジェネレータ(810)と、第1の偏光及び第2の偏光を介してサンプル領域(814)の画像を取得する画像センサ(822)と、サンプル領域と画像センサとの間に配置された偏光状態分析器(824)と、第1の波長帯域の光を通過させて画像センサに到達させる第1のバンドパスフィルタと、第2の波長帯域の光を通過させて画像センサに到達させるように構成された第2のバンドパスフィルタと、を含む。
【選択図】図8
特許請求の範囲
【請求項1】
複屈折データを読み取るためのシステムであって、
1つ又は複数の光源と、
前記1つ又は複数の光源によって出力された第1の波長帯域の光から第1の偏光を生成するように位置決めされた第1の偏光状態ジェネレータと、
前記1つ又は光源によって出力された第2の波長帯域の光から第2の偏光を生成するように位置決めされた第2の偏光状態ジェネレータと、
前記第1の偏光及び前記第2の偏光が通過するサンプル領域の画像を取得するように構成された画像センサと、
前記サンプル領域と前記画像センサとの間に光学的に配置された偏光状態分析器と、
前記偏光状態分析器と前記画像センサとの間に光学的に配置された第1のバンドパスフィルタであって、前記第1の波長帯域の光を通過させるように構成された第1のバンドパスフィルタと、
前記偏光状態分析器と前記画像センサとの間に光学的に配置された第2のバンドパスフィルタであって、前記第2の波長帯域の光を通過させるように構成された第2のバンドパスフィルタと
を含む、システム。
続きを表示(約 1,600 文字)
【請求項2】
前記1つ又は複数の光源によって出力された第3の波長帯域の光から第3の偏光を生成するように位置決めされた第3の偏光状態ジェネレータであって、前記第3の波長帯域が、前記第1の波長帯域及び前記第2の波長帯域とは異なる、第3の偏光状態ジェネレータと、
前記偏光状態分析器と前記画像センサとの間に光学的に配置された第3のバンドパスフィルタであって、前記第3の波長帯域の光を通過させるように構成された第3のバンドパスフィルタと
をさらに含む、請求項1に記載のシステム。
【請求項3】
前記サンプル領域の光学的に上流において前記第1の偏光と前記第2の偏光を組み合わせるように構成されたビームコンバイナをさらに含む、請求項1に記載のシステム。
【請求項4】
前記第1のバンドパスフィルタ及び前記第2のバンドパスフィルタが、前記画像センサのピクセルと統合される、請求項1に記載のシステム。
【請求項5】
前記1つ又は複数の光源が、前記第1の波長帯域の光を出力するように構成された第1の光源と、前記第2の波長帯域の光を出力するように構成された第2の光源とを含む、請求項1に記載のシステム。
【請求項6】
前記第1のバンドパスフィルタを介して前記画像センサにおいて受信された光及び前記第2のバンドパスフィルタを介して前記画像センサにおいて受信された光に基づいて、前記サンプル領域に配置された記憶媒体のボクセルの複屈折値を決定するために実行可能な命令を含むコンピューティングシステムをさらに含む、請求項1に記載のシステム。
【請求項7】
前記記憶媒体が、石英ガラス媒体を含む、請求項6に記載のシステム。
【請求項8】
前記サンプル領域の上流に光学的に位置決めされた強度マスク及び位相マスクのうちの1つ又は複数をさらに含む、請求項1に記載のシステム。
【請求項9】
複屈折測定を実行するための方法であって、
1つ又は複数の光源によって出力された第1の波長帯域の光から第1の偏光を生成することであって、前記第1の偏光が、第1の偏光状態を含む、生成することと、
前記1つ又は複数の光源によって出力された第2の波長帯域の光から第2の偏光を生成することであって、前記第2の波長帯域が、前記第1の波長帯域とは異なり、前記第2の偏光が、前記第1の偏光状態とは異なる第2の偏光状態を含む、生成することと、
前記第1の偏光及び前記第2の偏光を記憶媒体のボクセルに通し、それにより、前記第1の偏光状態を第1の修正偏光状態に変更し、前記第2の偏光状態を第2の修正偏光状態に変更することと、
前記第1の偏光及び前記第2の偏光を前記記憶媒体の前記ボクセルに通した後に、前記第1の偏光及び前記第2の偏光を偏光状態分析器に通すことと、
前記第1の偏光を第1のバンドパスフィルタに通して画像センサの第1の領域に到達させることと、
前記第2の偏光を第2のバンドパスフィルタに通して前記画像センサの第2の領域に到達させることと
を含む、方法。
【請求項10】
前記1つ又は複数の光源によって出力された第3の波長帯域の光から第3の偏光を生成することであって、前記第3の波長帯域が、前記第1の波長帯域及び前記第2の波長帯域とは異なり、前記第3の偏光が、前記第1の偏光状態及び前記第2の偏光状態とは異なる第3の偏光状態を含む、生成することと、
前記第3の偏光を前記偏光状態分析器と前記画像センサとの間に光学的に配置された第3のバンドパスフィルタに通すことであって、前記第3のバンドパスフィルタが、前記第3の波長帯域の光を通過させるように構成される、通すことと
をさらに含む、請求項9に記載の方法。
(【請求項11】以降は省略されています)
発明の詳細な説明
【背景技術】
【0001】
背景
[0001] 過去10年間にわたり、世界のデータの大半はクラウドへ移動した。需要の増加を満たすため、クラウドプロバイダは、様々なデータ記憶技術に依拠する。これらの記憶技術は、不揮発性メモリ(NVM)、フラッシュ、ハードディスクドライブ(HDD)、磁気テープ及び光ディスクを含む。これらの記憶技術は、コスト、レイテンシ、スループット、記憶密度、失敗率及び媒体寿命の点において互いに異なる。
続きを表示(約 3,600 文字)
【発明の概要】
【0002】
概要
[0002] この概要は、簡略化した形態で色々な概念を紹介するために提供しており、さらなる説明については、以下の詳細な説明で行っている。この概要は、特許請求される対象物の主要な特徴又は不可欠な特徴を識別することも、特許請求される対象物の範囲を制限するために使用することも意図しない。その上、特許請求される対象物は、この開示のいずれかの部分に記述されている不利点のいずれか又はすべてを解決する実装形態に限定されない。
【0003】
[0003] データを記憶するための有望な技術は、誘電性記憶媒体において局所的な複屈折ボクセルとしてデータを符号化することである。そのようなデータは、高密度で記憶することができ、記憶媒体は、磁気及び他の記憶媒体と比べて長い寿命を有し得る。しかし、データを復号するために局所的な複屈折を読み取ることは、異なる偏光状態で多数の光学測定を実行することを伴う。追加の測定の各々は、媒体の読み取りに必要な時間を増大する。従って、本明細書で開示される技術の態様は、局所的な複屈折として記憶されたデータの読み取りに利用される時間を削減する上で役立つ。
【課題を解決するための手段】
【0004】
[0004] 一態様は、複屈折データを読み取るためのシステムを提供する。システムは、1つ又は複数の光源と、1つ又は複数の光源によって出力された第1の波長帯域の光から第1の偏光を生成するように位置決めされた第1の偏光状態ジェネレータと、1つ又は複数の光源によって出力された第2の波長帯域の光から第2の偏光を生成するように位置決めされた第2の偏光状態ジェネレータと、第1の偏光及び第2の偏光が通過するサンプル領域の画像を取得するように構成された画像センサと、サンプル領域と画像センサとの間に光学的に配置された偏光状態分析器と、偏光状態分析器と画像センサとの間に光学的に配置された第1のバンドパスフィルタであって、第1の波長帯域の光を通過させるように構成された第1のバンドパスフィルタと、偏光状態分析器と画像センサとの間に光学的に配置された第2のバンドパスフィルタであって、第2の波長帯域の光を通過させるように構成された第2のバンドパスフィルタとを含む。いくつかの例では、3つ以上の波長帯域の光を使用して3つ以上の異なる偏光状態を生成するために3つ以上の偏光状態ジェネレータを使用することができ、偏光状態分析器と画像センサとの間で3つ以上の対応するバンドパスフィルタを使用することができる。この態様を用いると、ボクセルの多数の波長多重化測定を時間的に重複する方法で行うことができ、それにより、波長多重化なしの順次測定の使用と比べて、複屈折データの読み取りに利用される時間量が削減される。
【0005】
[0005] 別の態様は、コンピューティングデバイス上で、複屈折ボクセルを通じて1つ又は複数の既定の偏光状態を含む光を誘導し、画像センサにおいて光を受信することによって、複屈折ボクセルに対する測定データを取得することと、測定データに基づいて、複屈折ボクセルの2つの可能な複屈折状態に相当するポアンカレ球の表面上の2つの点を決定することであって、各状態が、方位角及びリターダンスを含む複屈折値セットを1つずつ含む、決定することと、方位角及びリターダンスを決定するために制約を適用することと、決定された方位角及びリターダンスを含む決定された複屈折値を出力することとを含む、方法を提供する。この態様を用いると、方位角及びリターダンスを決定するために制約を適用することにより、制約が適用されない場合より少ない測定で、ボクセルの複屈折値を決定することができる。
【図面の簡単な説明】
【0006】
図面の簡単な説明
[0006]記憶媒体の複屈折ボクセルの読み取りを概略的に示す。
[0007]複屈折ボクセルとして符号化されたデータを含む記憶媒体の概略描写を示す。
[0008]球上の場所として偏光状態を表すポアンカレ球を示す。
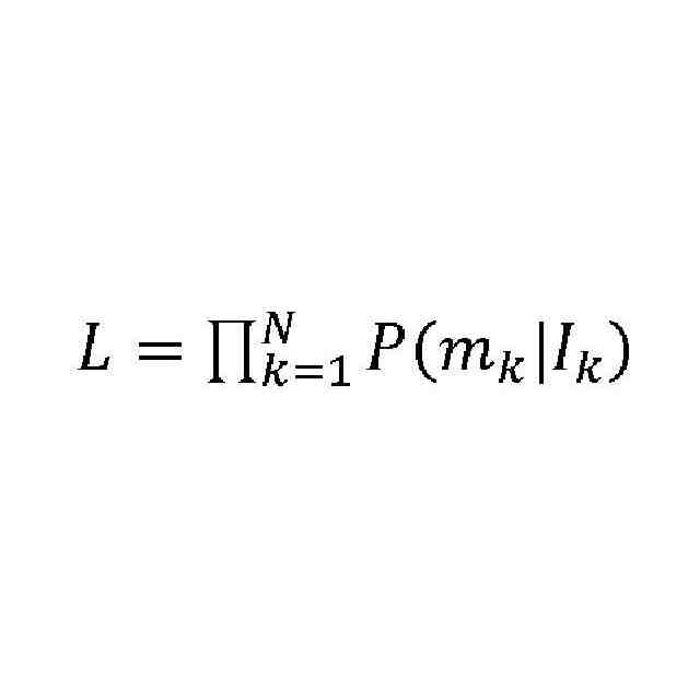
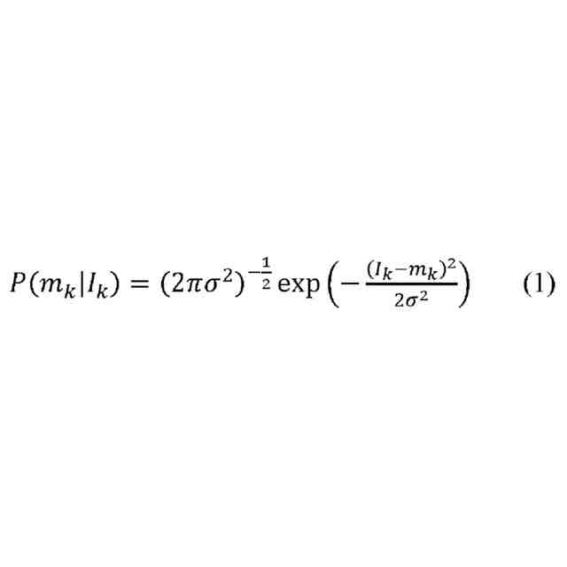
[0009]尤度関数に対して決定された最大値に基づいて複屈折値を決定するための例示的な方法を描写するフロー図を示す。
[0010]複屈折値を測定するための偏光状態の例を示す。
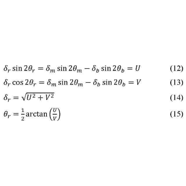
[0011]2測定に基づく及び1測定に基づく複屈折値の例示的な解を示す。
[0012]波長多重化を使用して複屈折測定値を取得するための例示的な方法を描写するフロー図を示す。
[0013]波長多重化を利用して複屈折データを読み取るための例示的なシステムのブロック図を示す。
[0014]同じ画像源からの光を使用して異なる偏光状態の光を波長多重化するための例示的なシステムを示す。
[0015]波長多重化を介して複屈折ボクセルを測定するための例示的な方法を描写するフロー図を示す。
[0015]波長多重化を介して複屈折ボクセルを測定するための例示的な方法を描写するフロー図を示す。
[0016]複屈折値に対するバックグラウンド補正を実行するための例示的な方法を描写するフロー図を示す。
[0017]例示的なコンピューティングシステムのブロック図を示す。
【発明を実施するための形態】
【0007】
詳細な説明
[0018] 上記で言及されるように、クラウドデータ記憶のための有望な技術の1つは、ガラスなどの誘電性固体基板にデータを光学的に書き込むための高出力の短パルスレーザ照射の使用を伴う。照射は、その焦点において、偏光イメージングを使用して後に読み取ることができる局所的な複屈折を誘発する。「ボクセル」という用語は、本明細書では、個々のデータ値(すなわち、シンボル)を記憶することができる基板の任意の離散体積を指すために使用される。ボクセルに記憶されるデータは、様々な形態を取ることができる。原理上、基板格子のミュラー行列係数のいずれも、データを符号化するために操作することができる。石英ガラス基板を使用する例では、焦点を合わせた偏光照射からの格子摂動は、焦点に局在する非天然の複屈折の形態を取る。それに従って、基板の各ボクセルは、リターダンスの大きさ及び方位角を有する非常に小さな波長板としてモデル化することができる。これらのモデルパラメータは、所定のボクセルに所望のシンボルを書き込むために独立して操作することができる。ここでは、ビームの偏光角は、ボクセルの方位角を決定し、様々な他の因子(パルス振幅、継続時間、エネルギー、数及び/又はパルス間の間隔)は、ボクセルのリターダンスを決定する。
【0008】
[0019] 達成可能な方位角及び/又はリターダンスの大きさの連続空間を離散間隔に分割することにより、離散間隔のうちの1つの中にそのボクセルの複屈折を書き込むことによって、マルチビットデータ値を符号化して各ボクセルに埋め込むことができる。さらに、いくつかの例では、ボクセル構造の多数の平行層は、基板の照射面の下方の指定された深度にレーザ照射の焦点を合わせることによって、同じ基板に書き込むことができる。これらの特徴により、個別に又は組合せで、大量のデータを単一の媒体に書き込むことができる。いくつかの例では、記憶媒体は、固体の板状の構成を含む。他の例では、記憶媒体は、別の基板上に形成された薄層を含む。さらなる例では、記憶媒体は、角柱又は円柱など、他の任意の適切な構成を有し得る。
【0009】
[0020] 複屈折ボクセルは、光が通過すると異方的に挙動するが、その理由は、異なる光の偏光状態が異なる速度でサンプル中を移動するためである。光が複屈折ボクセル中を移動するか又は複屈折ボクセルに反射すると、その偏光状態は、サンプルの方位角及びリターダンスに依存するような特定の方法で変化する。従って、ボクセルの方位角及びリターダンスに関する情報は、複屈折ボクセルと相互作用した偏光の偏光状態を測定することによって得ることができる。
【0010】
[0021] 偏光状態(延いてはボクセルの角度及びリターダンス)を測定するためのいくつかの方法は、異なる入力又は出力(或いはその両方)偏光を使用して一連の測定を実行することを伴う。図1は、記憶媒体100に記憶された複屈折データの読み取りを概略的に示す。光源102からの光は、偏光状態ジェネレータ(PSG)104を通過し、偏光状態ジェネレータ(PSG)104は、PSGが決定した偏光角を有する偏光を出力する。光源は、LED、レーザ又は他の光源を含み得る。
(【0011】以降は省略されています)
この特許をJ-PlatPat(特許庁公式サイト)で参照する
関連特許
日本発條株式会社
記録装置
1か月前
RAMXEED株式会社
記憶装置
14日前
株式会社ナノバブル研究所
データ消去装置
1か月前
ローム株式会社
RAM
1か月前
キオクシア株式会社
半導体記憶装置
1か月前
ローム株式会社
メモリ装置
1か月前
キオクシア株式会社
記憶装置
1か月前
キオクシア株式会社
半導体記憶装置
1か月前
キオクシア株式会社
記憶装置
1か月前
株式会社東芝
磁気ヘッド、及び、磁気記録装置
1か月前
株式会社東芝
磁気ヘッド、及び、磁気記録装置
2か月前
キオクシア株式会社
記憶装置
1か月前
ローム株式会社
半導体メモリ装置
14日前
ローム株式会社
半導体記憶装置
1か月前
ローム株式会社
半導体記憶装置
1か月前
キオクシア株式会社
磁気記憶装置
1か月前
ローム株式会社
不揮発性メモリ装置
1か月前
ローム株式会社
不揮発性メモリ装置
1か月前
ローム株式会社
不揮発性メモリ装置
1か月前
キオクシア株式会社
メモリデバイス
1か月前
キオクシア株式会社
半導体記憶装置
2か月前
キオクシア株式会社
メモリシステム
1か月前
株式会社JVCケンウッド
車載装置
5日前
キオクシア株式会社
メモリデバイス
1か月前
日本発條株式会社
記録装置、カバー、及びカバーの製造方法
1か月前
キオクシア株式会社
半導体記憶装置、メモリシステム
1か月前
ニデックインスツルメンツ株式会社
磁気ヘッドおよびカードリーダ
2か月前
キオクシア株式会社
半導体記憶装置
1か月前
キオクシア株式会社
半導体記憶装置
1か月前
ローム株式会社
不揮発性半導体記憶装置
1か月前
株式会社東芝
磁気ディスク装置
2か月前
株式会社東芝
磁気ディスク装置
2か月前
キオクシア株式会社
半導体装置及び記憶媒体
1か月前
キオクシア株式会社
半導体記憶装置
1か月前
ルネサスエレクトロニクス株式会社
半導体装置
22日前
国立大学法人 東京大学
読出回路及び磁気メモリ装置
2か月前
続きを見る
他の特許を見る