TOP
|
特許
|
意匠
|
商標
特許ウォッチ
Twitter
他の特許を見る
公開番号
2025156613
公報種別
公開特許公報(A)
公開日
2025-10-14
出願番号
2025134660,2025537940
出願日
2025-08-13,2025-03-19
発明の名称
記録紙
出願人
日本製紙株式会社
代理人
個人
主分類
B41M
5/333 20060101AFI20251002BHJP(印刷;線画機;タイプライター;スタンプ)
要約
【課題】感熱記録適性とインクジェット記録適性に共に優れ、かつ耐熱性及び記録層の強度に優れた記録紙を提供する。
【解決手段】支持体と、該支持体上に設けられてロイコ染料及び電子受容性顕色剤を含有する記録層と、を有する記録紙であって、記録層は、電子受容性顕色剤を含み、かつ電子受容性顕色剤のエタノールに対する溶解度が0.3g/ml以下であり、記録層は、インクを受容する顔料としてシリカを含有し、かつ、記録層に対するシリカの固形分配合量が20質量%以上である。
【選択図】なし
特許請求の範囲
【請求項1】
支持体と、該支持体上に設けられてロイコ染料及び電子受容性顕色剤を含有する記録層と、を有する記録紙であって、
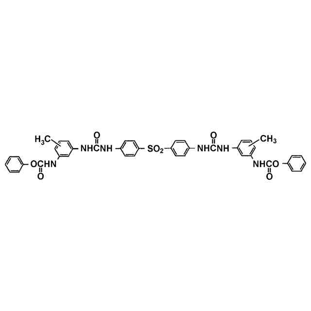
前記電子受容性顕色剤が、下記一般式(1)で表されるウレア化合物で表され、
TIFF
2025156613000007.tif
35
159
(式中、Xは-O-又は-NH-を表し、R
1
は、水素原子または-SO
2
-R
3
を表し、R
3
は、置換若しくは無置換のアルキル基、アラルキル基又はアリール基を表し、R
2
は、水素原子又はアルキル基を表し、mは0又は1を表す。)
前記記録層は、前記電子受容性顕色剤を含み、かつ前記電子受容性顕色剤の99.5%エタノールに対する溶解度が0.3g/ml以下であり、
前記記録層は、インクを受容する顔料としてシリカを含有し、かつ、前記記録層に対する前記シリカの固形分配合量が20質量%以上である、記録紙。
続きを表示(約 610 文字)
【請求項2】
前記記録紙が、感熱記録適性を有するインクジェット記録媒体である、請求項1に記載の記録紙。
【請求項3】
前記記録紙が、インクジェット記録適性を有する感熱記録紙である、請求項1に記載の記録紙。
【請求項4】
前記記録層は、前記電子受容性顕色剤を一種類のみ含む、請求項1又は2に記載の記録紙。
【請求項5】
前記感熱記録層のセロピック試験による剥離強度が150N/m以上である、請求項1又は2に記載の記録紙。
【請求項6】
前記電子受容性顕色剤の99.7%IPAに対する溶解度が0.5g/ml以下である請求項1又は2に記載の記録紙。
【請求項7】
前記シリカの吸油量が130ml/100g以上である、請求項1又は2に記載の記録紙。
【請求項8】
前記記録層は増感剤を含有し、かつ前記記録層に対する前記増感剤の合計含有量が30重量%以下である、請求項1又は2に記載の記録紙。
【請求項9】
前記記録紙の縦方向の引張強度(JIS P8113)が、3kN/m以上である、請求項1又は2に記載の記録紙。
【請求項10】
前記記録紙を、90℃の熱板に0.1MPaで5秒間接触させて得られる発色濃度が0.40以下である、請求項1又は2に記載の記録紙。
(【請求項11】以降は省略されています)
発明の詳細な説明
【技術分野】
【0001】
この発明は、インクジェット記録適性を有する記録紙に関する。
続きを表示(約 2,100 文字)
【背景技術】
【0002】
一般に、感熱記録体等の記録紙は通常無色ないし淡色の電子供与性ロイコ染料(以下、「ロイコ染料」ともいう。)とフェノール性化合物等の電子受容性顕色剤(以下、「顕色剤」ともいう。)を、それぞれ微細な粒子に磨砕分散した後、両者を混合し、バインダー、顔料、感度向上剤(増感剤)、滑剤およびその他の助剤を添加して得られた塗工液を、紙、合成紙、フィルム、プラスチック等の支持体に塗工したものであり、サーマルヘッド、ホットスタンプ、熱ペン、レーザー光等の加熱による瞬時の化学反応により発色し、記録画像が得られる。
【0003】
感熱記録体は、記録時に騒音がない、現像定着の必要がない、メンテナンスフリーである、機器が比較的安価である、コンパクトである、得られた発色が非常に鮮明であるといった特徴があり、ファクシミリ、コンピューターの端末プリンタ、自動券売機、計測用レコーダー、ハンディターミナルなどに広範囲に使用されている。
【0004】
また、感熱記録体に対し、感熱記録のみならず、インクジェット記録適性が要求されることがある。例えば、ATMやラベル等の用途の場合、あらかじめ共通なレイアウトでUVインク等の印刷が施され、金銭やバーコードといった各々異なる情報が感熱記録される。しかしながら、インクジェット記録方式によって感熱記録体等の記録紙へ印刷した場合は、記録部における感熱記録層記録層の発色による地発色が重なって、インクジェット記録画像が暗色化したり不鮮明になるなどの問題が発生する。
そこで、アセトニトリルに対する溶解度が特定範囲の顕色剤を用いることで、感熱記録体にインクジェット記録適性を持たせる技術が知られている(特許文献1)。
【先行技術文献】
【特許文献】
【0005】
特開2003-226076号公報
特開2022-151636号公報
【発明の概要】
【発明が解決しようとする課題】
【0006】
しかしながら、特許文献1記載の顕色剤を用いた場合、耐熱性が充分ではなかった。
また、特許文献2記載の技術の場合、記録層用塗工液において、溶媒としてエタノールを用いているので、記録層の強度が充分ではなかった。塗工層の強度が弱い場合、インクジェット連帳プリンタでの印刷で不具合が生じるおそれがあり、インクジェット記録適性が低下する。
そこで本発明は、感熱記録適性とインクジェット記録適性に共に優れ、かつ耐熱性及び記録層の強度に優れた記録紙を提供することを目的とする。
【課題を解決するための手段】
【0007】
本発明者らは鋭意検討の結果、電子受容性顕色剤のエタノールに対する溶解度を規定することにより、上記課題を解決できることを見出し、本発明を完成させるに至った。
即ち、本発明は、支持体と、該支持体上に設けられてロイコ染料及び電子受容性顕色剤を含有する記録層と、を有する記録紙であって、前記電子受容性顕色剤が、下記一般式(1)で表されるウレア化合物で表され、
TIFF
2025156613000001.tif
35
159
(式中、Xは-O-又は-NH-を表し、R
1
は、水素原子または-SO
2
-R
3
を表し、R
3
は、置換若しくは無置換のアルキル基、アラルキル基又はアリール基を表し、R
2
は、水素原子又はアルキル基を表し、mは0又は1を表す。)前記記録層は、前記電子受容性顕色剤を含み、かつ前記電子受容性顕色剤のエタノールに対する溶解度が0.3g/ml以下であり、前記記録層は、インクを受容する顔料としてシリカを含有し、かつ、前記記録層に対する前記シリカの固形分配合量が20質量%以上である。
【発明の効果】
【0008】
本発明によれば、感熱記録適性とインクジェット記録適性に共に優れ、かつ耐熱性及び記録層の強度に優れた記録紙を得ることができる。
【発明を実施するための形態】
【0009】
以下、本発明の具体的な詳細について説明する。
本発明の記録紙は、支持体と、該支持体上に設けられてロイコ染料及び電子受容性顕色剤を含有する記録層と、を有する記録紙である。この記録層は、電子受容性顕色剤を含み、かつ電子受容性顕色剤のエタノールに対する溶解度が0.3g/ml以下である。また、記録層は、インクを受容する顔料としてシリカを含有し、かつ、記録層に対するシリカの固形分配合量が20質量%以上である。
【0010】
以下、本発明の記録紙の記録層で使用される各種材料を例示するが、バインダー、架橋剤、顔料などは上記課題に対する所望の効果を阻害しない範囲で、必要に応じて設けられた各塗工層にも使用することが可能である。
この記録層は、例えば感熱記録層やインク受理層となる。
(【0011】以降は省略されています)
この特許をJ-PlatPat(特許庁公式サイト)で参照する
関連特許
日本製紙株式会社
耐雪紙
10日前
日本製紙株式会社
圧着紙
9日前
日本製紙株式会社
測定装置
4日前
日本製紙株式会社
風船玩具
20日前
日本製紙株式会社
消臭性板紙
5日前
日本製紙株式会社
ヘアケア製品
1か月前
日本製紙株式会社
印刷用塗工紙
5日前
日本製紙株式会社
農薬用添加剤
1か月前
日本製紙株式会社
分散剤組成物
16日前
日本製紙株式会社
導電性フィルム
10日前
日本製紙株式会社
導電性フィルム
10日前
日本製紙株式会社
樹皮率の予測方法
23日前
日本製紙株式会社
菓子用スポンジ生地
20日前
日本製紙株式会社
ハードコートフィルム
4日前
日本製紙株式会社
包装材、包装物及び包装方法
2日前
日本製紙株式会社
全固体電池用電極および全固体電池
18日前
東北整練株式会社
紙糸及び紙糸の製造方法
1か月前
日本製紙株式会社
記録紙
5日前
UBE株式会社
ポリアミド樹脂強化用セルロース系繊維
12日前
日本製紙株式会社
セルロースナノファイバーと有機溶媒とを含有する懸濁液とその製造方法
1か月前
日本製紙株式会社
光アップコンバージョン組成物、フィルム及び光アップコンバージョン方法
11日前
日本製紙株式会社
紙製容器用プルトップ、該プルトップを有する紙製容器、及び紙製容器の製造方法
11日前
国立大学法人信州大学
複合材料の製造方法及び複合材料
10日前
日本製紙株式会社
包装用基材、包装用材料、包装用材料の製造方法
1か月前
日本製紙株式会社
非水電解質二次電池電極用結合剤、非水電解質二次電池用電極組成物、非水電解質二次電池用電極および非水電解質二次電池
20日前
個人
箔熱転写装置
1か月前
シヤチハタ株式会社
印判
4か月前
シヤチハタ株式会社
反転式印判
9か月前
キヤノン株式会社
記録装置
1か月前
三光株式会社
感熱記録材料
6か月前
独立行政法人 国立印刷局
印刷物
7か月前
株式会社リコー
液体吐出装置
7か月前
株式会社リコー
画像形成装置
20日前
独立行政法人 国立印刷局
記録媒体
8か月前
株式会社リコー
液体吐出装置
4か月前
日本製紙株式会社
感熱記録体
7か月前
続きを見る
他の特許を見る