TOP
|
特許
|
意匠
|
商標
特許ウォッチ
Twitter
他の特許を見る
10個以上の画像は省略されています。
公開番号
2025150775
公報種別
公開特許公報(A)
公開日
2025-10-09
出願番号
2024051840
出願日
2024-03-27
発明の名称
融雪レドーム
出願人
三恵技研工業株式会社
代理人
個人
主分類
G01S
7/03 20060101AFI20251002BHJP(測定;試験)
要約
【課題】外側から視認される融雪レドームの外表面側の意匠性を高めることができると共に、融雪レドームの設置スペースを省スペース化することができる。
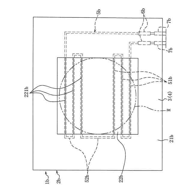
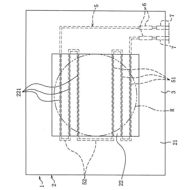
【解決手段】レーダー装置10の前方に配置される電磁波透過性の基体2を有し、基体2のレーダー装置10側の面の電磁波照射領域Rにフレネルレンズ部が形成され、フレネルレンズ部のレンズ溝の延びる方向とレンズ溝の底部の位置に略倣うようにしてヒーター線5が配線される融雪レドーム1であり、好適にはリニアフレネルレンズ部22のレンズ溝221の延びる方向とレンズ溝221の底部222の位置に略倣うようにしてヒーター線5が配線される。
【選択図】図2
特許請求の範囲
【請求項1】
レーダー装置の前方に配置される電磁波透過性の基体を有し、
前記基体の前記レーダー装置側の面の電磁波照射領域にフレネルレンズ部が形成され、
前記フレネルレンズ部のレンズ溝の延びる方向と前記レンズ溝の底部の位置に略倣うようにしてヒーター線が配線されていることを特徴とする融雪レドーム。
続きを表示(約 760 文字)
【請求項2】
前記フレネルレンズ部がリニアフレネルレンズ部であり、
車載レーダー装置の前方に配置され、
前記リニアフレネルレンズ部のレンズ溝が略水平方向に延びるように配設されることを特徴とする請求項1記載の融雪レドーム。
【請求項3】
前記ヒーター線が前記基体に埋設されていることを特徴とする請求項1又は2記載の融雪レドーム。
【請求項4】
前記ヒーター線が前記レンズ溝の底部に配置するようにして配線されていることを特徴とする請求項1又は2記載の融雪レドーム。
【請求項5】
前記ヒーター線が前記基体の前記レーダー装置と逆側の面に配線されていることを特徴とする請求項1又は2記載の融雪レドーム。
【請求項6】
電磁波透過性の背面基材が、前記基体の前記レーダー装置側に積層配置されて前記基体に密着され、
前記背面基材の突条が前記レンズ溝と噛み合うように配設され、
前記背面基材の前記レーダー装置側の面に前記ヒーター線が配線されていることを特徴とする請求項1又は2記載の融雪レドーム。
【請求項7】
電磁波透過性の背面基材が、前記基体の前記レーダー装置側に積層配置されて前記基体に密着され、
前記背面基材の突条が前記レンズ溝と噛み合うように配設され、
前記背面基材に前記ヒーター線が埋設されていることを特徴とする請求項1又は2記載の融雪レドーム。
【請求項8】
前記フレネルレンズ部が円形フレネルレンズ部であり、
同心円状の前記レンズ溝の相互間にレドーム正面視で架設されるようにして前記ヒーター線の一部が配線されていることを特徴とする請求項1記載の融雪レドーム。
発明の詳細な説明
【技術分野】
【0001】
本発明は、電磁波を送受信するレーダー装置の電磁波照射側に配置される融雪レドームに関する。
続きを表示(約 2,300 文字)
【背景技術】
【0002】
従来、電磁波を送受信するレーダー装置の照射側に配置される融雪レドームとして、特許文献1の誘電体レンズアンテナとして示されている融雪レドームがある。特許文献1の融雪レドームは、外方に凸側が配置される平凸レンズ状の誘電体レンズの外表面に、又は誘電体レンズの外表面に形成された整合層の外表面に、複数の直線状の発熱線を直列接続してなる発熱体を配置して構成され、誘電体レンズの外表面又は整合層の外表面に付着した雪を融雪できるようになっている(特許文献1の図1、図2参照)。
【先行技術文献】
【特許文献】
【0003】
特許第3650953号公報
【発明の概要】
【発明が解決しようとする課題】
【0004】
しかしながら、特許文献1の誘電体レンズアンテナとして示されている融雪レドームは、平凸レンズ状の誘電体レンズの凸側を外方に突出するように配置するものであるため、平凸レンズの凸部形状にデザインの自由度が拘束され、レドーム外表面側の意匠性が低下するという問題がある。また、車両等に設置される融雪レドームの設置スペースは、より省スペース化することが望まれる。
【0005】
本発明は上記課題に鑑み提案するものであり、外側から視認される融雪レドームの外表面側の意匠性を高めることができると共に、融雪レドームの設置スペースを省スペース化することができる融雪レドームを提供することを目的とする。
【課題を解決するための手段】
【0006】
本発明の融雪レドームは、レーダー装置の前方に配置される電磁波透過性の基体を有し、前記基体の前記レーダー装置側の面の電磁波照射領域にフレネルレンズ部が形成され、前記フレネルレンズ部のレンズ溝の延びる方向と前記レンズ溝の底部の位置に略倣うようにしてヒーター線が配線されていることを特徴とする。
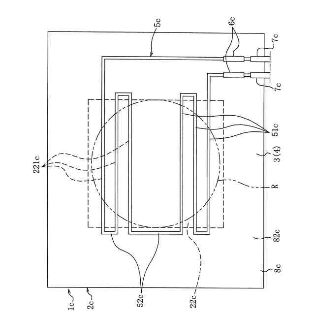
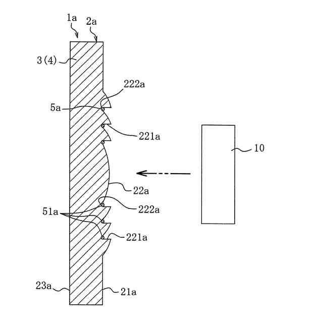
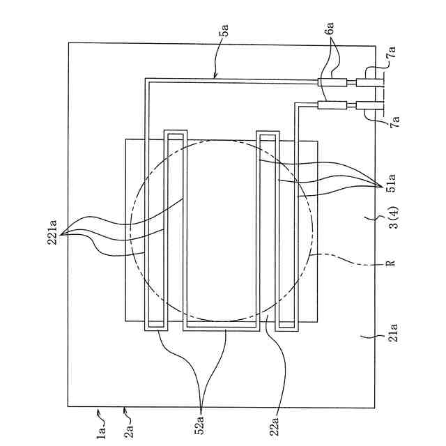
これによれば、基体のレーダー装置側の面の電磁波照射領域にフレネルレンズ部を形成することにより、レドーム外表面に凸部形状を形成する必要性を無くし、レドーム外表面側のデザインの自由度を高めることができ、外側から視認される融雪レドームの外表面側の意匠性を高めることができる。また、基体に形成するレンズ部をフレネルレンズ部とすることにより、レドーム基体の厚さやレドーム基体の裏側への突出高さを抑制することができ、融雪レドームや、融雪レドームとレーダー装置とで構成されるレーダー構造の設置に必要とされる設置スペースを省スペース化することができる。また、フレネルレンズ部のレンズ溝の延びる方向とレンズ溝の底部の位置に略倣うようにしてヒーター線を配線することにより、レーダー装置の検知に寄与しないか、寄与度が低い基体の部位を所望の融雪機能を得るために有効活用することができると共に、ヒーター線の設置によるレーダー装置が照射する電磁波や反射波の減衰を大幅に低減することができる。
【0007】
本発明の融雪レドームは、前記フレネルレンズ部がリニアフレネルレンズ部であり、車載レーダー装置の前方に配置され、前記リニアフレネルレンズ部のレンズ溝が略水平方向に延びるように配設されることを特徴とする。
これによれば、基体のリニアフレネルレンズ部のレンズ溝を略水平方向に延びるように配設することにより、車載レーダー装置の電磁波の照射波を略水平方向で屈折させずに対象物に照射し、対象物で反射した反射波を略水平方向で屈折させずに車載レーダー装置で受信することができる。従って、車両に対して対象物が存在する角度を車載レーダー装置が安定して正確に検知することができる。また、車載レーダー装置が照射する電磁波のうち、積極的に利用されていない上下方向の放射幅を対象物の検知に利用して、車載レーダー装置が照射する電磁波の反射波の受信強度を高めることができる。
【0008】
本発明の融雪レドームは、前記ヒーター線が前記基体に埋設されていることを特徴とする。
これによれば、ヒーター線をレドーム基体に埋設することにより、所望のヒーター線の配線や所望の基体への熱伝導を安定して行うことができる。また、ヒーター線の周囲に設けられるレドーム基体でヒーター線の防水性、耐候性を確保することができる。また、例えば基体の外表面を意匠面とする場合等に、ヒーター線の設置による基体の外表面の凹凸を無くして平滑性を確保することができる。
【0009】
本発明の融雪レドームは、前記ヒーター線が前記レンズ溝の底部に配置するようにして配線されていることを特徴とする。
これによれば、ヒーター線をレンズ溝の底部に配置することにより、レーダー装置の検知に寄与しないか、寄与度が低い基体の部位を所望の融雪機能を得るために有効活用することができると共に、ヒーター線の設置によるレーダー装置が照射する電磁波や反射波の減衰を大幅に低減することができる。また、例えば基体の外表面を意匠面とする場合等に、ヒーター線の設置による基体の外表面の凹凸を無くして平滑性を確保することができる。
【0010】
本発明の融雪レドームは、前記ヒーター線が前記基体の前記レーダー装置と逆側の面に配線されていることを特徴とする。
これによれば、レドーム基体の電磁波照射領域の外表面に付着した雪、或いはレドーム基体の電磁波照射領域の外表面の外層に付着した雪に対する融雪機能をより高めることができる。
(【0011】以降は省略されています)
この特許をJ-PlatPat(特許庁公式サイト)で参照する
関連特許
三恵技研工業株式会社
ルアー
1日前
三恵技研工業株式会社
融雪レドーム
1か月前
日本精機株式会社
検出装置
24日前
個人
採尿及び採便具
1か月前
個人
アクセサリー型テスター
1か月前
個人
高精度同時多点測定装置
1か月前
個人
計量機能付き容器
19日前
甲神電機株式会社
電流検出装置
24日前
日本精機株式会社
発光表示装置
2日前
株式会社カクマル
境界杭
9日前
株式会社ミツトヨ
測定器
1か月前
株式会社トプコン
測量装置
1日前
アズビル株式会社
電磁流量計
1か月前
大成建設株式会社
風洞実験装置
19日前
ローム株式会社
半導体装置
1か月前
双庸電子株式会社
誤配線検査装置
25日前
長崎県
形状計測方法
1か月前
個人
システム、装置及び実験方法
1か月前
日本信号株式会社
距離画像センサ
22日前
日本特殊陶業株式会社
ガスセンサ
1日前
愛知時計電機株式会社
ガスメータ
1か月前
個人
計量具及び計量機能付き容器
19日前
個人
非接触による電磁パルスの測定方法
22日前
ローム株式会社
半導体装置
1か月前
愛知電機株式会社
軸部材の外観検査装置
1か月前
日本特殊陶業株式会社
ガスセンサ
17日前
大和製衡株式会社
組合せ計量装置
1か月前
大和製衡株式会社
組合せ計量装置
1か月前
トヨタ自動車株式会社
測定システム
1か月前
株式会社タイガーカワシマ
揚穀装置
1日前
日本特殊陶業株式会社
センサ
1か月前
株式会社不二越
X線測定装置
22日前
株式会社デンソー
電流センサ
1か月前
日本特殊陶業株式会社
センサ
3日前
個人
液位検視及び品質監視システム
17日前
キーコム株式会社
画像作成システム
9日前
続きを見る
他の特許を見る