TOP
|
特許
|
意匠
|
商標
特許ウォッチ
Twitter
他の特許を見る
公開番号
2025148417
公報種別
公開特許公報(A)
公開日
2025-10-07
出願番号
2025114256,2023203550
出願日
2025-07-07,2019-06-11
発明の名称
エルゴチオネイン、アスコルビン酸2-グルコシド、アスコルビン酸、およびそれらの組み合わせの筋分化促進作用
出願人
長瀬産業株式会社
代理人
個人
,
個人
,
個人
主分類
A23L
33/175 20160101AFI20250930BHJP(食品または食料品;他のクラスに包含されないそれらの処理)
要約
【課題】筋肉の再生を促進するための、有効かつ安全な組成物を見出す。
【解決手段】エルゴチオネインを含み、所望によりアスコルビン酸2-グルコシドおよび/またはアスコルビン酸をさらに含んでもよい、筋肉再生促進用組成物。
【選択図】なし
特許請求の範囲
【請求項1】
エルゴチオネインを含む、筋肉再生促進用組成物。
続きを表示(約 140 文字)
【請求項2】
さらにアスコルビン酸2-グルコシドおよび/またはアスコルビン酸を含む、請求項1記載の組成物。
【請求項3】
経口組成物である、請求項1または2記載の組成物。
【請求項4】
飲食物または医薬組成物である、請求項1または2記載の飲食物。
発明の詳細な説明
【技術分野】
【0001】
本発明は細胞の分化促進に関する。詳細には、本発明は、エルゴチオネインを含む筋分化促進用培地および培地添加剤、ならびに筋分化促進用医薬組成物および飲食物等に関する。
続きを表示(約 2,800 文字)
【背景技術】
【0002】
近年、高齢化社会が進むなかで、運動機能低下、転倒・骨折リスクの上昇、ロコモティブシンドローム等の筋量や筋力の低下に伴う様々な障害が問題となっている。これらの障害を治療、改善するためには、筋肉の再生が重要であり、筋肉の再生には筋分化が必要である。筋分化について様々な研究がなされている(例えば、非特許文献1参照)。
【先行技術文献】
【非特許文献】
【0003】
Onitsuka Y. Investigation of an efficient culture condition for the differentiation of murine skeletal myoblasts. Jpn. J. Vet. Res . 2013. 61(1&2): 39.
【発明の概要】
【発明が解決しようとする課題】
【0004】
ロコモティブシンドロームなどの筋肉の再生が必要な症状や状態を治療、改善するために、筋分化を促進する有効かつ安全な薬剤や方法を見出す必要がある。
【課題を解決するための手段】
【0005】
本発明者らは、上記課題を解決するために鋭意研究を重ね、エルゴチオネインが筋分化を促進すること、エルゴチオネインとアスコルビン酸2-グルコシドおよび/またはアスコルビン酸を併用することにより筋分化が大幅に促進されること、アスコルビン酸2-グルコシドが単独で筋分化を促進すること、およびアスコルビン酸が単独で筋分化を促進することを初めて見出し、本発明を完成させるに至った。
【0006】
したがって、本発明は、下記のものを提供する。
(1)エルゴチオネインを含む、筋分化を促進するための培地。
(2)さらにアスコルビン酸2-グルコシドおよび/またはアスコルビン酸を含む、(1)記載の培地。
(3)エルゴチオネインを含む、筋分化を促進するための培地添加剤。
(4)さらにアスコルビン酸2-グルコシドおよび/またはアスコルビン酸を含む、(3)記載の培地添加剤。
(5)エルゴチオネインを含む、筋分化を促進するためのキット。
(6)さらにアスコルビン酸2-グルコシドおよび/またはアスコルビン酸を含む、(5)記載のキット。
(7)エルゴチオネインを含む培地にて細胞を培養することを含む、細胞の筋分化を促進する方法。
(8)培地がさらにアスコルビン酸2-グルコシドおよび/またはアスコルビン酸を含むものである、(7)記載の方法。
(9)エルゴチオネインを含む、筋分化を促進するための医薬組成物。
(10)さらにアスコルビン酸2-グルコシドおよび/またはアスコルビン酸を含む、(9)記載の医薬組成物。
(11)筋肉の再生を促進するための、(9)または(10)記載の医薬組成物。
(12)エルゴチオネインを含む、筋分化を促進するための飲食物。
(13)さらにアスコルビン酸2-グルコシドおよび/またはアスコルビン酸を含む、(12)記載の飲食物。
(14)筋肉の再生を促進するための、(12)または(13)記載の飲食物。
【発明の効果】
【0007】
本発明によれば、エルゴチオネインを含む筋分化促進用培地および培地添加剤、ならびに筋分化促進用医薬組成物および飲食物等が提供される。本発明の培地、培地添加剤、医薬組成物および飲食物は、優れた筋分化促進能を有する。本発明の医薬組成物および飲食物は、特に高齢者や外傷を負った人、病中・病後の人などに有益である。これらの効果は、エルゴチオネインとアスコルビン酸2-グルコシドおよび/またはアスコルビン酸を併用することによって大幅に増強される。また、アスコルビン酸2-グルコシド単独、アスコルビン酸単独、あるいはこれらを併用した場合にも上記効果が得られる。エルゴチオネインは生体内に見出される物質であり、アスコルビン酸2-グルコシドは食品添加物および医薬部外品として承認されている物質であり、アスコルビン酸は果実、野菜など自然界に広く存在している物質であるので、本発明の培地、培地添加剤、医薬組成物および飲食物は安全性が高い。
【図面の簡単な説明】
【0008】
図1は、エルゴチオネインがC2C12細胞の筋分化に与える影響を示す顕微写真である。左の写真は分化前のC2C12細胞、中の写真はEGT無添加の分化培地で分化したC2C12細胞(対象)、右の写真は0.5mM EGTを添加した分化培地で分化したC2C12細胞である。
図2は、エルゴチオネインがC2C12細胞のMyoD mRNA発現レベルに与える影響を示すグラフである。
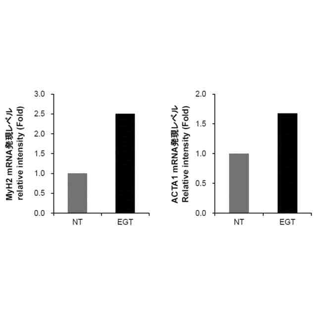
図3は、エルゴチオネインがC2C12細胞のMyH2 mRNAおよびACTA1 mRNAの発現レベルに与える影響を示すグラフである。
図4は、抗酸化剤エダラボンがC2C12細胞のMyH2 mRNA発現レベルに影響しないことを示すグラフである。
図5は、エルゴチオネインとアスコルビン酸2-グルコシドの併用、およびアスコルビン酸2-グルコシドの単独使用がC2C12細胞のMyH2 mRNAの発現レベル(上パネル)およびACTA1 mRNAの発現レベル(下パネル)に与える影響を示すグラフである。図中、EGTはエルゴチオネイン添加培地、AGはアスコルビン酸2-グルコシド添加培地、E+AGはエルゴチオネインおよびアスコルビン酸2-グルコシドを添加した培地を用いたことを示す。NTはエルゴチオネインおよびアスコルビン酸2-グルコシドを添加しない培地を用いたことを示す。
図6は、エルゴチオネインとアスコルビン酸の併用、およびアスコルビン酸の単独使用がC2C12細胞のMyH2 mRNAの発現レベル(上パネル)およびACTA1 mRNAの発現レベル(下パネル)に与える影響を示すグラフである。図中、EGTはエルゴチオネイン添加培地、VCはアスコルビン酸添加培地、E+VCはエルゴチオネインおよびアスコルビンを添加した培地を用いたことを示す。NTはエルゴチオネインおよびアスコルビン酸を添加しない培地を用いたことを示す。
【発明を実施するための形態】
【0009】
本発明は、第1の態様において、エルゴチオネインを含む、筋分化を促進するための培地を提供する。
【0010】
本発明者らは、エルゴチオネインが筋分化を促進することを初めて見出した。
(【0011】以降は省略されています)
この特許をJ-PlatPat(特許庁公式サイト)で参照する
関連特許
長瀬産業株式会社
化粧料用添加剤
13日前
長瀬産業株式会社
情報処理システム、情報処理システムの制御方法、およびプログラム
2か月前
長瀬産業株式会社
バッテリーデバイス用クーリング部材、同クーリング部材を含むバッテリー構造体及びクーリング部材の製造方法
13日前
個人
健康促進霊芝茶
2か月前
株式会社東洋新薬
飲料
今日
株式会社東洋新薬
飲料
今日
ライソン株式会社
焙煎機
6か月前
不二製油株式会社
組成物
2か月前
不二製油株式会社
グミ類
3か月前
不二製油株式会社
加工食品
3か月前
個人
ヨーグルト等の発酵器
2か月前
不二製油株式会社
油性食品
2か月前
不二製油株式会社
油脂組成物
4か月前
株式会社東洋新薬
経口組成物
3か月前
三生医薬株式会社
経口組成物
2日前
個人
可食性素材からなる容器
29日前
池田食研株式会社
風味改善剤
5か月前
池田食研株式会社
微粉状食品
5か月前
株式会社東洋新薬
経口組成物
1か月前
株式会社東洋新薬
経口組成物
5か月前
不二製油株式会社
油脂組成物
3か月前
不二製油株式会社
光照射油脂
2か月前
株式会社東洋新薬
飲料
2か月前
不二製油株式会社
チーズ様食品
6か月前
アサヒ飲料株式会社
飲料
5か月前
奥野製薬工業株式会社
処理方法
2か月前
東ソー株式会社
食品品質保持剤
4か月前
日本メナード化粧品株式会社
飲料
2か月前
不二製油株式会社
被覆用油性食品
2か月前
東洋ライス株式会社
搗精米
3か月前
個人
発酵あんこの製造方法
1か月前
株式会社ミルボン
組成物及び方法
6日前
株式会社ソディック
食品搬送装置
4か月前
株式会社エポック社
絞出具
2か月前
不二製油株式会社
カカオ含有飲食物
2か月前
個人
海ぶどうの加工処理方法
27日前
続きを見る
他の特許を見る