TOP
|
特許
|
意匠
|
商標
特許ウォッチ
Twitter
他の特許を見る
10個以上の画像は省略されています。
公開番号
2025147851
公報種別
公開特許公報(A)
公開日
2025-10-07
出願番号
2024048323
出願日
2024-03-25
発明の名称
測定装置
出願人
株式会社ミツトヨ
代理人
弁理士法人樹之下知的財産事務所
主分類
G01B
5/00 20060101AFI20250930BHJP(測定;試験)
要約
【課題】測定実施部の実際の温度に対応した適正な補正処理を実施可能な測定装置を提供する。
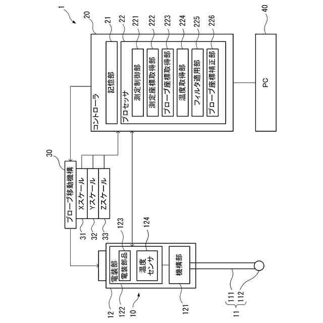
【解決手段】三次元測定機1(測定装置)は、被測定物に対する測定処理を実施するプローブ10(測定実施部)と、プローブ10の一部に配置される電装部122と、電装部122に設けられ、温度を測定して測定した温度に基づいた検出信号を出力する温度センサ124と、被測定物の測定結果を算出するコントローラ20(測定算出部)と、を備え、コントローラ20は、温度センサ124から出力される検出信号に対してローパスフィルタを適用した処理信号に基づいて、測定処理により得られた測定値を補正して測定結果を算出する。
【選択図】図1
特許請求の範囲
【請求項1】
被測定物に対する測定処理を実施する測定実施部と、
前記測定実施部の一部に配置される電装部と、
前記電装部に設けられ、温度を測定して測定した温度に基づいた検出信号を出力する温度センサと、
前記被測定物の測定結果を算出する測定算出部と、を備え、
前記測定算出部は、前記温度センサから出力される前記検出信号に対してローパスフィルタを適用した処理信号に基づいて、前記測定処理により得られた測定値を補正して前記測定結果を算出する、
測定装置。
続きを表示(約 440 文字)
【請求項2】
前記ローパスフィルタは、記憶部に記録されたフィルタプログラムであり、
前記測定算出部は、記憶部に記録された前記フィルタプログラムを読み込み実行することで、前記温度センサから出力された前記検出信号に対して前記ローパスフィルタを適用して前記処理信号を算出する、
請求項1に記載の測定装置。
【請求項3】
前記ローパスフィルタは、ローパスフィルタ回路であり、
前記温度センサから出力された前記検出信号は、前記ローパスフィルタ回路に入力され、当該ローパスフィルタ回路から出力された前記処理信号が前記測定算出部に出力される、
請求項1に記載の測定装置。
【請求項4】
前記測定実施部は、前記被測定物に対して接触可能なスタイラスと、前記スタイラスを保持する支持部とを含むプローブであり、
前記電装部及び前記温度センサは、前記支持部の内部に設けられている、
請求項1に記載の測定装置。
発明の詳細な説明
【技術分野】
【0001】
本発明は、測定装置に関する。
続きを表示(約 2,100 文字)
【背景技術】
【0002】
測定装置により被測定対象の表面上の座標を測定する場合、温度変化による測定装置の寸法変動を考慮する必要がある。例えば、特許文献1に記載の測定装置(三次元測定機)では、プローブの温度を測定する温度センサがプローブに設けられ、測定されたプローブの温度と、基準温度(通常は20℃)との温度差に基づいて、測定データの温度補正を更に行ってもよいことが記載されている。
【先行技術文献】
【特許文献】
【0003】
特開2005-181293公報
【発明の概要】
【発明が解決しようとする課題】
【0004】
上述したような測定装置では、プローブの温度を測定して温度に基づく補正処理を実施する。ここで、プローブとして、スタイラスと、スタイラスを支持する支持部と、支持部の内部に設けられてスタイラスの移動機構を構成する機構部と、センサ部と電装部とが設けられることがある。この場合、電装部に設けられた電装部品が通電されることで、当該電装部品が熱源となる。
しかしながら、プローブにおいて熱源である電装部品を含む電装部から離れるにしたがって、熱の伝搬に時間がかかるため、経過時間に対する温度上昇が緩やかとなり、かつ、放熱によって電装部から離れた位置ほど飽和温度も低下する。したがって、発熱源である電装部に温度センサが設けられる場合、当該温度センサの測定値から算出されたプローブ全体の伸びと、実際のプローブ全体の伸びとは直ちには一致しない。このため、例えば測定装置の電源をオンにした直後において、温度センサで測定される温度に基づいて補正を行うと、プローブ全体の伸びに対する適正な補正処理が実施できない、との課題があり、温度上昇が飽和するまで待機する等の必要があった。
【0005】
また、プローブの各部にそれぞれ温度センサを設け、プローブの各部の温度をそれぞれ測定することも考えられるが、この場合、温度センサが被測定物や測定装置の他の部分に干渉しないように温度センサのスペースを確保する必要がある。また、複数の温度センサを設けるため、装置のコストが高くなり、各温度センサから電装部までの配線が必要となるので、配線が複雑化するとの課題もある。
【0006】
なお、上記の課題は、特許文献1のようなプローブを備えた測定装置に限定されるものではなく、測定を実施する測定実施部に配置された電装部に温度センサを設けるその他の測定装置においても同様の課題がある。例えば、被測定物の長さを測定する長さ測定機では、長手方向に沿ったスケール上で、電装部である検出ヘッドを移動させて被測定物の長さを測定する。このような長さ測定機では、スケールの温度変化による寸法変動に対する補正処理を実施する場合がある。ここで、温度測定対象のスケールから僅かに離れた位置に配置される電装部(例えば検出ヘッド)に温度センサを設ける場合、上記プローブと同様、電装部の熱がスケールに伝搬するまで時間がかかり、温度センサの測定値から算出されたスケール全体の伸びと、実際のスケール全体の伸びとが乖離することがある。したがって、電装部とスケールの温度上昇が飽和するまで、温度に対する適正な補正処理が実施できない。
【0007】
本発明は、測定実施部の実際の温度に対応した適正な補正処理を実施可能な測定装置を提供することを目的とする。
【課題を解決するための手段】
【0008】
本開示の第一態様に係る測定装置は、被測定物に対する測定処理を実施する測定実施部と、前記測定実施部の一部に配置される電装部と、前記電装部に設けられ、温度を測定して測定した温度に基づいた検出信号を出力する温度センサと、前記被測定物の測定結果を算出する測定算出部と、を備え、前記測定算出部は、前記温度センサから出力される前記検出信号に対してローパスフィルタを適用した処理信号に基づいて、前記測定処理により得られた測定値を補正して前記測定結果を算出する。
【0009】
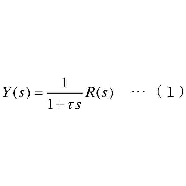
このような構成では、温度センサは、熱源となる電装部の温度を測定することになり、例えば電源をオンに切り替えた直後では、温度センサの温度が急峻に変化するが、温度センサから出力される検出信号に対してローパスフィルタを適用することで、急峻な温度変化に対応した信号値が急峻に変化する検出信号を、信号値が緩やかに変化する処理信号に変換することができる。これにより、処理信号に基づいて測定値を補正することで、測定実施部の緩やかな温度変化に対応した補正処理を実施できる。すなわち、測定実施部の実際の温度に対応した適正な補正処理を実施することができる。
【0010】
上記態様の測定装置において、前記ローパスフィルタは、記憶部に記録されたフィルタプログラムであり、前記測定算出部は、記憶部に記録された前記フィルタプログラムを読み込み実行することで、前記温度センサから出力された前記検出信号に対して前記ローパスフィルタを適用して前記処理信号を算出することが好ましい。
(【0011】以降は省略されています)
この特許をJ-PlatPat(特許庁公式サイト)で参照する
関連特許
株式会社ミツトヨ
測定器
26日前
株式会社ミツトヨ
測定装置
1か月前
株式会社ミツトヨ
画像測定機およびプログラム
1か月前
株式会社ミツトヨ
2値化画像生成方法、欠陥検査方法及びプログラム
1か月前
株式会社ミツトヨ
外観検査方法、検査範囲指定方法およびプログラム
1か月前
株式会社ミツトヨ
データ処理装置、測定システム、データ処理方法及びプログラム
2か月前
ホヤ レンズ タイランド リミテッド
プラスチックレンズの製造方法
1か月前
ホヤ レンズ タイランド リミテッド
プラスチックレンズ及びその製造方法、並びに眼鏡
1か月前
個人
メジャー文具
1か月前
個人
採尿及び採便具
20日前
日本精機株式会社
検出装置
14日前
個人
アクセサリー型テスター
1か月前
個人
計量機能付き容器
9日前
個人
高精度同時多点測定装置
1か月前
甲神電機株式会社
電流検出装置
14日前
ユニパルス株式会社
ロードセル
1か月前
株式会社ミツトヨ
測定器
26日前
アズビル株式会社
電磁流量計
29日前
大成建設株式会社
風洞実験装置
9日前
株式会社ヨコオ
ソケット
1か月前
トヨタ自動車株式会社
監視装置
1か月前
株式会社チノー
放射光測温装置
1か月前
ダイキン工業株式会社
監視装置
1か月前
株式会社ヨコオ
ソケット
1か月前
ローム株式会社
半導体装置
1か月前
日本特殊陶業株式会社
ガスセンサ
7日前
大和製衡株式会社
組合せ計量装置
23日前
双庸電子株式会社
誤配線検査装置
15日前
個人
システム、装置及び実験方法
29日前
TDK株式会社
ガスセンサ
1か月前
大和製衡株式会社
組合せ計量装置
23日前
長崎県
形状計測方法
1か月前
個人
計量具及び計量機能付き容器
9日前
個人
非接触による電磁パルスの測定方法
12日前
愛知電機株式会社
軸部材の外観検査装置
23日前
日本信号株式会社
距離画像センサ
12日前
続きを見る
他の特許を見る