TOP
|
特許
|
意匠
|
商標
特許ウォッチ
Twitter
他の特許を見る
公開番号
2025147022
公報種別
公開特許公報(A)
公開日
2025-10-03
出願番号
2025129711,2021028152
出願日
2025-08-01,2021-02-25
発明の名称
肝機能向上剤および肝機能向上用経口組成物
出願人
丸善製薬株式会社
代理人
個人
,
個人
,
個人
主分類
A61K
31/192 20060101AFI20250926BHJP(医学または獣医学;衛生学)
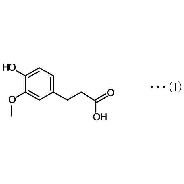
要約
【課題】天然物由来の化合物の中から、肝機能向上作用において優れた作用を有するものを見出し、それらを有効成分とする肝機能向上剤を提供する。
【解決手段】下記式(I)で表される化合物を有効成分とし、肝細胞アデノシン三リン酸産生促進作用に基づく肝機能向上用途に用いられる肝機能向上剤、および下記式(I)で表される化合物を配合し、肝細胞アデノシン三リン酸産生促進作用に基づく肝機能向上用途に用いられる肝機能向上用経口組成物。
【化1】
<com:Image com:imageContentCategory="Drawing"> <com:ImageFormatCategory>TIFF</com:ImageFormatCategory> <com:FileName>2025147022000008.tif</com:FileName> <com:HeightMeasure com:measureUnitCode="Mm">39</com:HeightMeasure> <com:WidthMeasure com:measureUnitCode="Mm">159</com:WidthMeasure> </com:Image>
【選択図】なし
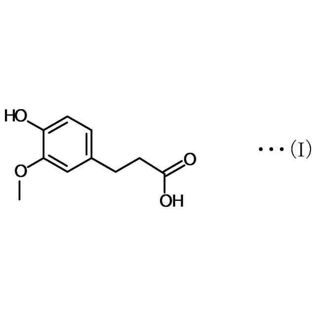
特許請求の範囲
【請求項1】
下記式(I)で表される化合物を有効成分とし、
肝細胞アデノシン三リン酸産生促進作用
に基づく肝機能向上用途に用いられる
ことを特徴とする肝機能向上剤。
TIFF
2025147022000006.tif
39
159
続きを表示(約 150 文字)
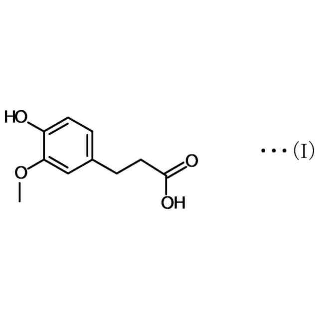
【請求項2】
下記式(I)で表される化合物を配合し、
肝細胞アデノシン三リン酸産生促進作用
に基づく肝機能向上用途に用いられる
ことを特徴とする肝機能向上用経口組成物。
TIFF
2025147022000007.tif
39
159
発明の詳細な説明
【技術分野】
【0001】
本発明は、天然物由来の化合物を有効成分とする、肝機能向上剤に関するものである。さらに本発明は、当該化合物を配合した肝機能向上用経口組成物にも関する。
続きを表示(約 2,000 文字)
【背景技術】
【0002】
肝臓は、代謝の中心的な役割を担う生命維持に不可欠の臓器であり、その主な機能だけでも、糖・たんぱく質・脂質・ホルモンの代謝、有害物質の解毒、胆汁の生成、血液の貯蔵などが挙げられる。肝臓は障害を受けても症状が現れにくい臓器であるが、それでも飲酒、栄養過多、薬剤の乱用、肝炎ウイルス等により肝機能が障害を受けると、疲労感、倦怠感、食欲不振等を示し、さらには黄胆等を呈する場合がある。そして、肝機能障害が進行すると、肝炎、肝硬変等の生活習慣病につながるおそれがあり、肝機能を向上させること、障害から保護することは、健康な生活を維持するうえで極めて重要である。
【0003】
肝臓を保護する生体内成分として、グルタチオンが知られている。グルタチオンは、グルタミン酸、システイン、グリシンの3つのアミノ酸からなるトリペプチドであり、細胞内の主要なシステイン残基を有する化合物である。グルタチオンは、主に肝臓で産生されて全身に供給され、細胞内においてラジカルの捕捉、酸化還元による細胞機能の調節、各種酵素のSH供与体等としての役割のほか、特に肝臓においては解毒機構に関与し、肝機能を保護することが知られている。肝臓のグルタチオンは、飲酒によりエタノールを代謝する過程、あるいは薬剤を代謝・解毒する過程等において大量に消費され、肝臓グルタチオン量が低下すると、急性または慢性アルコール性肝炎、薬剤性肝炎等の肝機能障害の原因となるほか、全身のグルタチオン量が減少し、白内障、パーキンソン病、皮膚におけるシミの生成等、多様な症状の原因となることが知られている。
【0004】
したがって、肝臓(肝細胞)におけるグルタチオンの産生を促進することができれば、肝機能を向上させ、またグルタチオン減少に起因した各種障害の予防、治療または改善が期待できると考えられる。肝細胞においてグルタチオン産生促進作用を有するものとして、リクイリチン(特許文献1参照)等が知られている。
【0005】
肝機能を向上させる成分として、アデノシン三リン酸(ATP)が知られている。ATPは、ブドウ糖や脂肪の代謝により産生され、エネルギー源として利用される。肝臓においては、エタノールや薬剤の代謝・解毒等、肝臓で行われる多くの化学反応におけるエネルギー源としてATPが利用されており、ATPの産生量が低下すると、これらの代謝・解毒等の効率が低下するほか、労働や運動等の活動に必要なエネルギーが不足し、その結果として疲労を招くと考えられている。
そのため、肝臓においてATPの産生を促進することができれば、エタノール摂取に起因した諸症状(例えば、二日酔い等)の予防または改善、薬剤に起因した肝障害の予防、治療または改善のほか、疲労回復を促進することができると考えられる。肝細胞においてATP産生促進作用を有するものとして、ヒハツ抽出物(特許文献2参照)等が知られている。
【0006】
また、肝機能を向上させる方法として、肝細胞の増殖を促進する方法が挙げられる。肝臓は再生能力が高い臓器ではあるが、脂肪肝、慢性肝炎、肝硬変等、肝機能障害が持続している状態においては、十分な肝再生が期待できない。そのため、肝細胞の増殖を効率的に促進することができれば、肝機能障害の治療・改善につながるものと考えられる。肝細胞増殖促進作用を有するものとして、ピログルタミン酸ならびにアスパラギン酸およびグルタミン酸との組み合わせ(特許文献3参照)等が知られている。
【先行技術文献】
【特許文献】
【0007】
特開2009-269889号公報
特開2011-184381号公報
国際公開第2014/208381号
【発明の概要】
【発明が解決しようとする課題】
【0008】
本発明は、天然物由来の化合物の中から、肝機能向上作用において優れた作用を有するものを見出し、それらを有効成分とする肝機能向上剤を提供することを目的とする。
また、本発明は、肝機能向上作用において優れた作用を有する天然物由来化合物を配合した、肝機能向上用途に用いられる経口組成物を提供することを目的とする。
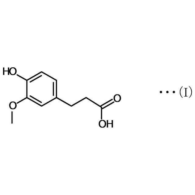
【課題を解決するための手段】
【0009】
上記課題を解決するために、本発明の肝機能向上剤は、下記式(I)で表される化合物を有効成分とすることを特徴とする。また、本発明の肝機能向上用経口組成物は、下記式(I)で表される化合物を配合することを特徴とする。
【0010】
TIFF
2025147022000001.tif
39
159
【発明の効果】
(【0011】以降は省略されています)
この特許をJ-PlatPat(特許庁公式サイト)で参照する
関連特許
丸善製薬株式会社
エラスターゼ活性阻害剤
2か月前
丸善製薬株式会社
飲食品、苦味抑制剤、及び苦味抑制方法
1か月前
丸善製薬株式会社
飲食品、酸味抑制剤、及び酸味抑制方法
1か月前
丸善製薬株式会社
飲食品、苦味抑制剤、及び苦味抑制方法
1か月前
丸善製薬株式会社
飲食品、苦味抑制剤、及び苦味抑制方法
1か月前
丸善製薬株式会社
飲食品、酸味抑制剤、及び酸味抑制方法
1か月前
丸善製薬株式会社
飲食品、酸味抑制剤、及び酸味抑制方法
1か月前
丸善製薬株式会社
トラネキサム酸の結晶化抑制用組成物及びその使用
2か月前
丸善製薬株式会社
皮膚化粧料、頭髪化粧料および飲食品
2か月前
丸善製薬株式会社
肝機能向上剤および肝機能向上用経口組成物
2か月前
丸善製薬株式会社
表皮角化細胞増殖促進剤及びトランスグルタミナーゼ-1mRNA発現促進剤
5日前
丸善製薬株式会社
エストロゲン受容体β mRNA発現促進剤、III型コラーゲン mRNA発現促進剤、エラスチン mRNA発現促進剤、マトリックスメタロプロテアーゼ-1 mRNA発現抑制剤及びマトリックスメタロプロテアーゼ-3 mRNA発現抑制剤
2か月前
個人
貼付剤
1か月前
個人
簡易担架
19日前
個人
短下肢装具
4か月前
個人
足踏み器具
26日前
個人
腋臭防止剤
19日前
個人
排尿補助器具
1か月前
個人
白内障治療法
8か月前
個人
前腕誘導装置
4か月前
個人
洗井間専家。
8か月前
個人
嚥下鍛錬装置
4か月前
個人
ウォート指圧法
1か月前
個人
歯の修復用材料
5か月前
個人
胸骨圧迫補助具
2か月前
個人
ホバーアイロン
7か月前
個人
腰ベルト
1か月前
個人
汚れ防止シート
2か月前
個人
アイマスク装置
3か月前
個人
テスト肺
今日
個人
バッグ式オムツ
5か月前
個人
矯正椅子
6か月前
個人
車椅子持ち上げ器
8か月前
個人
排尿排便補助器具
21日前
個人
陣痛緩和具
4か月前
個人
湿布連続貼り機。
3か月前
続きを見る
他の特許を見る