TOP
|
特許
|
意匠
|
商標
特許ウォッチ
Twitter
他の特許を見る
10個以上の画像は省略されています。
公開番号
2025145664
公報種別
公開特許公報(A)
公開日
2025-10-03
出願番号
2024045960
出願日
2024-03-22
発明の名称
組成物、硬化物および光学部材
出願人
富士フイルム株式会社
代理人
弁理士法人特許事務所サイクス
主分類
C08L
101/00 20060101AFI20250926BHJP(有機高分子化合物;その製造または化学的加工;それに基づく組成物)
要約
【課題】耐光性に優れ、かつ、ヘイズの抑制された硬化物を製造することができる組成物、硬化物および光学部材を提供する。
【解決手段】式(1)で表される化合物と、硬化性化合物と、を含む組成物;式(1)中、Q
1
は式(Q-1)で表される基を表す;Q
2
は、=CR
q2
R
q3
等を表す;R
1
は、-O-Y
11
などを表す。前述の組成物を用いた硬化物および光学部材。
<com:Image com:imageContentCategory="Drawing"> <com:ImageFormatCategory>JPEG</com:ImageFormatCategory> <com:FileName>2025145664000026.jpg</com:FileName> <com:HeightMeasure com:measureUnitCode="Mm">39</com:HeightMeasure> <com:WidthMeasure com:measureUnitCode="Mm">150</com:WidthMeasure> </com:Image> 【選択図】なし
特許請求の範囲
【請求項1】
式(1)で表される化合物と、硬化性化合物と、を含む組成物;
JPEG
2025145664000024.jpg
43
148
式(1)中、Q
1
は式(Q-1)で表される基を表す;
Q
2
は、=O、=S、=NR
q1
または=CR
q2
R
q3
を表し、R
q1
~R
q3
は、各々独立して水素原子または置換基を表し、R
q2
とR
q3
は互いに結合して環を形成してもよい;
R
1
は、-O-Y
11
、-OC(=O)-Y
11
、-OC(=O)O-Y
11
、-OC(=O)NR
y11
-Y
11
、-OSO
2
-Y
11
またはエチレン性不飽和結合を有する重合性基を含む基を表し、R
y11
は水素原子、アルキル基、アラルキル基またはアリール基を表し、Y
11
は、アルキル基、アラルキル基またはアリール基を表す;
JPEG
2025145664000025.jpg
26
151
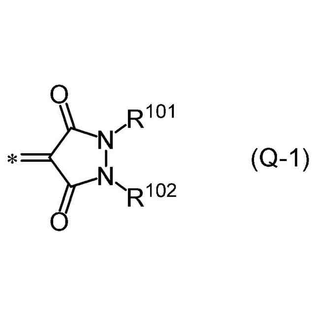
式(Q-1)中、*は結合手を表し、R
101
およびR
102
は、各々独立して、水素原子、アルキル基、アラルキル基、アリール基、複素環基またはエチレン性不飽和結合を有する重合性基を含む基を表す。
続きを表示(約 570 文字)
【請求項2】
前記式(1)のR
1
は、-O-Y
11
であり、Y
11
は、アルキル基、アラルキル基またはアリール基である、請求項1に記載の組成物。
【請求項3】
前記Y
11
は、炭素数2~30のアルキル基である、請求項2に記載の組成物。
【請求項4】
前記式(1)のQ
2
は、=CR
q2
R
q3
である、請求項1または2に記載の組成物。
【請求項5】
前記硬化性化合物は、樹脂および重合性化合物から選ばれる少なくとも1種を含む、請求項1または2に記載の組成物。
【請求項6】
前記硬化性化合物は、樹脂を含み、前記樹脂が、(メタ)アクリル樹脂、ポリスチレン樹脂、ポリエステル樹脂、ポリウレタン樹脂、チオウレタン樹脂、ポリイミド樹脂、エポキシ樹脂、ポリカーボネート樹脂、フタレート樹脂、セルロースアシレート樹脂および環状オレフィン樹脂から選ばれる少なくとも1種である、請求項1または2に記載の組成物。
【請求項7】
請求項1または2に記載の組成物を用いて得られる硬化物。
【請求項8】
請求項7に記載の硬化物を含む光学部材。
発明の詳細な説明
【技術分野】
【0001】
本発明は、ベンゾビスジチオール化合物を含む組成物に関する。また、本発明はベンゾビスジチオール化合物を含む組成物を用いた硬化物および光学部材に関する。
続きを表示(約 2,600 文字)
【背景技術】
【0002】
ベンゾビスジチオール化合物は、紫外線の吸収性に優れ、紫外線吸収剤などに用いられている。例えば、特許文献1には、特定のベンゾビスジチオールを紫外線吸収剤として用いることが記載されている。
【先行技術文献】
【特許文献】
【0003】
特開2009-209126号公報
【発明の概要】
【発明が解決しようとする課題】
【0004】
本発明者が、ベンゾビスジチオール化合物を含む組成物について鋭意検討を進めたところ、得られる硬化物のヘイズや耐光性について、更なる改善の余地があることが分かった。
【0005】
よって、本発明の目的は、耐光性に優れ、かつ、ヘイズの抑制された硬化物を製造することができる組成物を提供することにある。また、本発明の目的は、硬化物および光学部材を提供することにある。
【課題を解決するための手段】
【0006】
本発明は以下を提供する。
【0007】
<1> 式(1)で表される化合物と、硬化性化合物と、を含む組成物;
JPEG
2025145664000001.jpg
43
149
式(1)中、Q
1
は式(Q-1)で表される基を表す;
Q
2
は、=O、=S、=NR
q1
または=CR
q2
R
q3
を表し、R
q1
~R
q3
は、各々独立して水素原子または置換基を表し、R
q2
とR
q3
は互いに結合して環を形成してもよい;
R
1
は、-O-Y
11
、-OC(=O)-Y
11
、-OC(=O)O-Y
11
、-OC(=O)NR
y11
-Y
11
、-OSO
2
-Y
11
またはエチレン性不飽和結合を有する重合性基を含む基を表し、R
y11
は水素原子、アルキル基、アラルキル基またはアリール基を表し、Y
11
は、アルキル基、アラルキル基またはアリール基を表す;
JPEG
2025145664000002.jpg
28
147
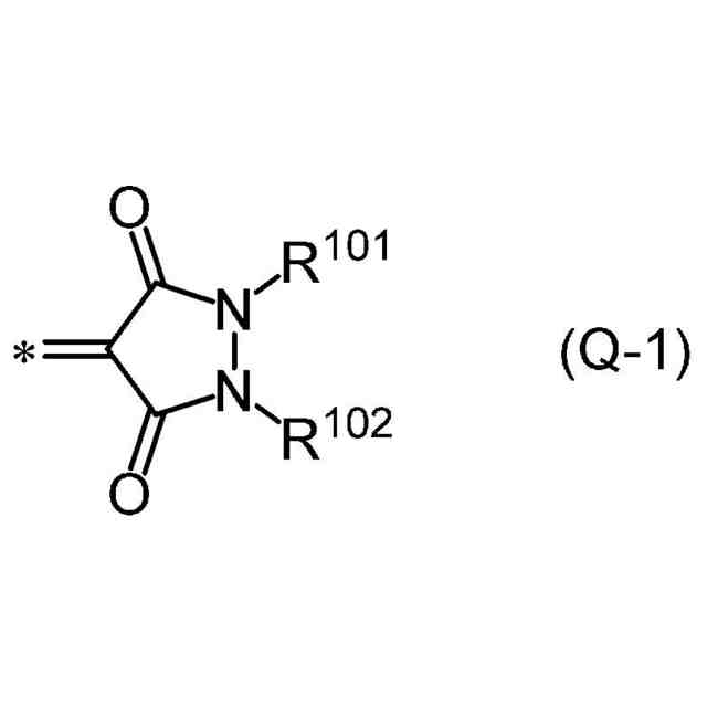
式(Q-1)中、*は結合手を表し、R
101
およびR
102
は、各々独立して、水素原子、アルキル基、アラルキル基、アリール基、複素環基またはエチレン性不飽和結合を有する重合性基を含む基を表す。
<2> 上記式(1)のR
1
は、-O-Y
11
であり、Y
11
は、アルキル基、アラルキル基またはアリール基である、<1>に記載の組成物。
<3> 上記Y
11
は、炭素数2~30のアルキル基である、<2>に記載の組成物。
<4> 上記式(1)のQ
2
は、=CR
q2
R
q3
である、<1>または<2>に記載の組成物。
<5> 上記硬化性化合物は、樹脂および重合性化合物から選ばれる少なくとも1種を含む、<1>~<4>のいずれか1つに記載の組成物。
<6> 上記硬化性化合物は、樹脂を含み、上記樹脂が、(メタ)アクリル樹脂、ポリスチレン樹脂、ポリエステル樹脂、ポリウレタン樹脂、チオウレタン樹脂、ポリイミド樹脂、エポキシ樹脂、ポリカーボネート樹脂、フタレート樹脂、セルロースアシレート樹脂および環状オレフィン樹脂から選ばれる少なくとも1種である、<1>~<5>のいずれか1つに記載の組成物。
<7> <1>~<6>のいずれか1つに記載の組成物を用いて得られる硬化物。
<8> <7>に記載の硬化物を含む光学部材。
【発明の効果】
【0008】
本発明によれば、耐光性に優れ、かつ、ヘイズの抑制された硬化物を製造することができる組成物を提供することができる。また、本発明は、硬化物および光学部材を提供することができる。
【発明を実施するための形態】
【0009】
以下において、本発明の内容について詳細に説明する。
本明細書における基(原子団)の表記において、置換および無置換を記していない表記は、置換基を有さない基と共に置換基を有する基を包含する。例えば、「アルキル基」とは、置換基を有さないアルキル基(無置換アルキル基)のみならず、置換基を有するアルキル基(置換アルキル基)をも包含する。
本明細書において「~」を用いて表される数値範囲は、「~」の前後に記載される数値を下限値および上限値として含む範囲を意味する。
本明細書において、全固形分とは、組成物の全成分から溶剤を除いた成分の合計量をいう。
本明細書において、「(メタ)アクリレート」は、アクリレートおよびメタクリレートの双方、または、いずれかを表し、「(メタ)アクリル」は、アクリルおよびメタクリルの双方、または、いずれかを表し、「(メタ)アリル」は、アリルおよびメタリルの双方、または、いずれかを表し、「(メタ)アクリロイル」は、アクリロイルおよびメタクリロイルの双方、または、いずれかを表す。
本明細書において「工程」との語は、独立した工程を意味するだけではなく、他の工程と明確に区別できない場合であってもその工程の所期の作用が達成されれば、本用語に含まれる。
本明細書において、重量平均分子量(Mw)および数平均分子量(Mn)は、ゲルパーミエーションクロマトグラフィ(GPC)により測定したポリスチレン換算値として定義される。
【0010】
<組成物>
本発明の組成物は、式(1)で表される化合物と、硬化性化合物と、を含むことを特徴とする。
(【0011】以降は省略されています)
この特許をJ-PlatPat(特許庁公式サイト)で参照する
関連特許
富士フイルム株式会社
内視鏡システム及びその作動方法
1日前
富士フイルム株式会社
超音波画像解析装置及び超音波画像解析プログラム
1日前
富士フイルム株式会社
撮像システム及びプログラム
今日
富士フイルム株式会社
面圧解析装置、方法、プログラム及び記録媒体
今日
富士フイルム株式会社
機上現像型平版印刷版原版、及び印刷版の作製方法
5日前
東ソー株式会社
ペレット
7日前
ユニチカ株式会社
透明シート
23日前
ユニチカ株式会社
透明シート
2か月前
株式会社カネカ
硬化性組成物
3か月前
株式会社コバヤシ
成形体
20日前
東レ株式会社
熱硬化性樹脂組成物
2か月前
東ソー株式会社
ゴム用接着性改質剤
8日前
住友精化株式会社
吸水剤の製造方法
1か月前
東レ株式会社
ポリエステルフィルム
5日前
東レ株式会社
ポリエステルフィルム
3か月前
東レ株式会社
ポリエステルフィルム
27日前
丸住製紙株式会社
変性パルプ
23日前
東レ株式会社
引抜成形品の製造方法
1か月前
東レ株式会社
ポリオレフィン微多孔膜
2か月前
花王株式会社
樹脂組成物
3か月前
横浜ゴム株式会社
重荷重タイヤ
19日前
東ソー株式会社
樹脂組成物および蓋材
1か月前
東ソー株式会社
樹脂組成物および蓋材
1か月前
東レ株式会社
ポリプロピレンフィルム
19日前
株式会社スリーボンド
硬化性樹脂組成物
19日前
アイカ工業株式会社
光硬化性樹脂組成物
19日前
株式会社コバヤシ
光硬化性組成物
2か月前
日本特殊陶業株式会社
樹脂成形体
1か月前
UBE株式会社
衝撃吸収材
23日前
住友ベークライト株式会社
ポリマー
8日前
ノリタケ株式会社
担体構造体
13日前
株式会社カネカ
シーリング材
12日前
住友ベークライト株式会社
ポリマー
8日前
株式会社カネカ
硬化性組成物
1か月前
株式会社カネカ
硬化性組成物
1か月前
三洋化成工業株式会社
熱成形用樹脂組成物
15日前
続きを見る
他の特許を見る