TOP
|
特許
|
意匠
|
商標
特許ウォッチ
Twitter
他の特許を見る
10個以上の画像は省略されています。
公開番号
2025140836
公報種別
公開特許公報(A)
公開日
2025-09-29
出願番号
2024040437
出願日
2024-03-14
発明の名称
AlN単結晶基板及びデバイス
出願人
日本碍子株式会社
代理人
個人
,
個人
,
個人
主分類
C30B
29/38 20060101AFI20250919BHJP(結晶成長)
要約
【課題】波長265nmでの低い吸収定数を有し、かつ、チッピングが発生しにくいAlN単結晶基板を提供する。
【解決手段】AlN単結晶で構成され、かつ、直径50mm以上の円板状である、AlN単結晶基板であって、AlN単結晶基板の表面に、長さ40mmの少なくとも1本の第一仮想線分を、第一仮想線分上における4mm間隔の複数の測定点で波長265nmでの吸収係数を測定した場合に、全測定点における吸収係数の最大値が25cm
-1
以下であり、かつ、全測定点間での吸収係数の最大値と最小値の差が5cm
-1
以内となるように引くことができ、かつ、AlN単結晶基板の表面に、少なくとも1本の第一仮想線分と直交する長さ40mmの長さの第二仮想線分を、第二仮想線分上における4mm間隔の複数の測定点で波長265nmでの吸収係数を測定した場合に、上記同様の条件を満たすように引くことができることによって特定される、AlN単結晶基板。
【選択図】図1
特許請求の範囲
【請求項1】
AlN単結晶で構成され、かつ、直径50mm以上の円板状である、AlN単結晶基板であって、
前記AlN単結晶基板の表面に、長さ40mmの少なくとも1本の第一仮想線分を、前記第一仮想線分上における4mm間隔の複数の測定点で波長265nmでの吸収係数を測定した場合に、全測定点における吸収係数の最大値が25cm
-1
以下であり、かつ、全測定点間での吸収係数の最大値と最小値の差が5cm
-1
以内となるように引くことができ、かつ、
前記AlN単結晶基板の前記表面に、前記少なくとも1本の第一仮想線分と直交する長さ40mmの長さの第二仮想線分を、前記第二仮想線分上における4mm間隔の複数の測定点で波長265nmでの吸収係数を測定した場合に、全測定点における吸収係数の最大値が25cm
-1
以下であり、かつ、全測定点間での吸収係数の最大値と最小値の差が5cm
-1
以内となるように引くことができることによって特定される、AlN単結晶基板。
続きを表示(約 390 文字)
【請求項2】
前記第一仮想線分上の前記全測定点間での吸収係数の最大値と最小値の差が3cm
-1
以内であり、かつ、前記第二仮想線分上の前記全測定点間での吸収係数の最大値と最小値の差が3cm
-1
以内である、請求項1に記載のAlN単結晶基板。
【請求項3】
前記第一仮想線分上の前記全測定点における吸収係数の最大値が15cm
-1
以下であり、かつ、前記第二仮想線分上の前記全測定点における吸収係数の最大値が15cm
-1
以下である、請求項1又は2に記載のAlN単結晶基板。
【請求項4】
前記AlN単結晶基板が、直径100mm以上の円板状である、請求項1又は2に記載のAlN単結晶基板。
【請求項5】
請求項1又は2に記載のAlN単結晶基板を備えた、デバイス。
発明の詳細な説明
【技術分野】
【0001】
本開示は、AlN単結晶基板及びデバイスに関するものである。
続きを表示(約 2,400 文字)
【背景技術】
【0002】
近年、窒化アルミニウム(AlN)単結晶が、AlN系半導体を用いた深紫外線発光素子の下地基板として注目されている。例えば、AlN系半導体として、AlNやAlGaN等が用いられる。これらのAlN系半導体は直接遷移型のバンド構造を有するため、発光デバイスに適しており、深紫外領域のLED(Light Emitting Diode)やLD(Laser Diode)への応用が可能である。
【0003】
特許文献1(WO2023/181258)には、加工された際にクラックが発生しにくいAlN単結晶基板が開示されている。このAlN単結晶基板は、AlN単結晶基板の25℃における熱伝導率(W/m・K)をλ
25
、AlN単結晶基板の200℃における熱伝導率(W/m・K)をλ
200
、AlN単結晶基板の25℃における電気抵抗率(Ω・cm)をρ、AlN単結晶基板の透過スペクトルにおける640~660nmにおける透過率(%)の平均値をT
640-660
、透過スペクトルにおける260~280nmにおける透過率(%)の平均値をT
260-280
としたとき、5≦[(λ
25
-λ
200
)×log
10
ρ]/(T
640-660
-T
260-280
)≦50の関係式を満たすものである。
【先行技術文献】
【特許文献】
【0004】
WO2023/181258A1
【非特許文献】
【0005】
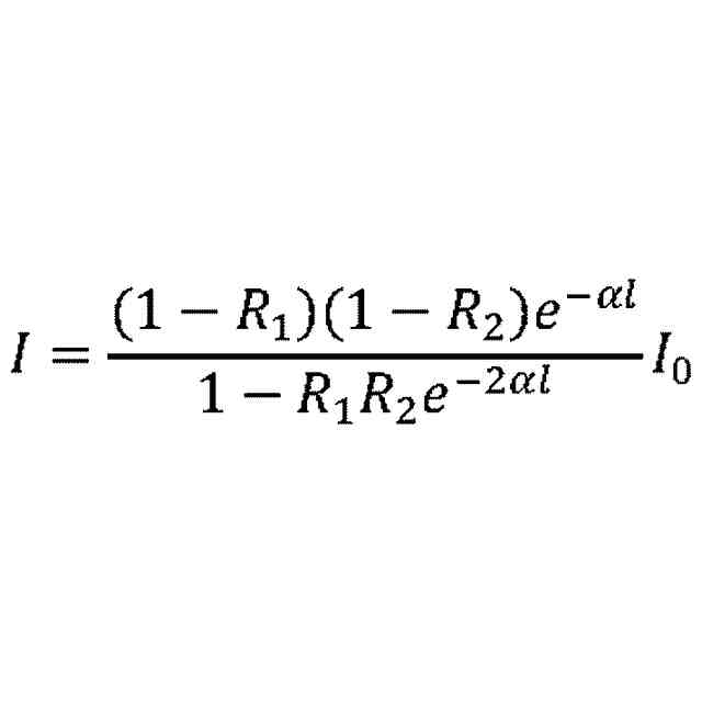
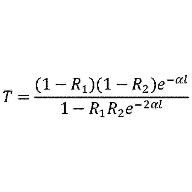
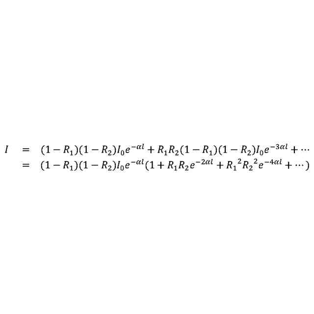
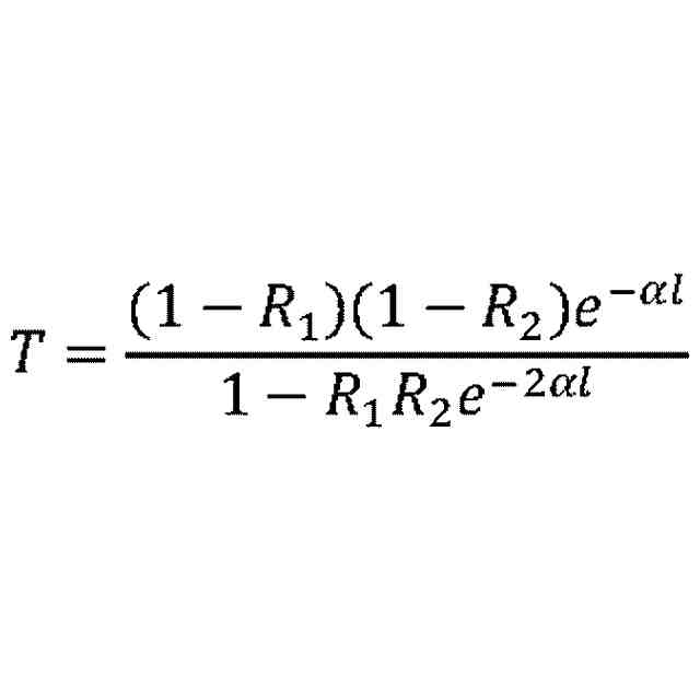
「光学技術の基礎用語-光と光学に関連する用語の解説サイト-」における「光の多重反射による反射率と透過率」というウェブサイト記事(URL: https://www.optics-words.com/kogaku_kiso/multiple_reflection.htmlから2024年2月20日時点で入手可能)
【発明の概要】
【0006】
紫外域で発光するLEDにAlN単結晶基板を用いる場合、紫外域における高い透過率(すなわち低い吸収係数)が望まれる。したがって、紫外域で低い吸収係数を有するAlN単結晶基板が望まれている。しかしながら、LED製造におけるデバイスの歩留まりを上げるためには、AlN単結晶基板には、低い吸収係数は勿論のこと、チッピング(欠けやクラックといった欠陥)が少ないことが求められる。
【0007】
本発明者らは、今般、互いに直交する2本の仮想線分上における4mm間隔の複数の測定点で測定される波長265nmでの吸収係数が所定の条件を満たすAlN単結晶基板であると、チッピング(欠けやクラックといった欠陥)が発生しにくくなることを見出した。
【0008】
したがって、本発明の目的は、波長265nmで低い吸収定数を有し、かつ、チッピング(欠けやクラックといった欠陥)が発生しにくいAlN単結晶基板を提供することにある。
【0009】
本開示によれば、以下の態様が提供される。
[態様1]
AlN単結晶で構成され、かつ、直径50mm以上の円板状である、AlN単結晶基板であって、
前記AlN単結晶基板の表面に、長さ40mmの少なくとも1本の第一仮想線分を、前記第一仮想線分上における4mm間隔の複数の測定点で波長265nmでの吸収係数を測定した場合に、全測定点における吸収係数の最大値が25cm
-1
以下であり、かつ、全測定点間での吸収係数の最大値と最小値の差が5cm
-1
以内となるように引くことができ、かつ、
前記AlN単結晶基板の前記表面に、前記少なくとも1本の第一仮想線分と直交する長さ40mmの長さの第二仮想線分を、前記第二仮想線分上における4mm間隔の複数の測定点で波長265nmでの吸収係数を測定した場合に、全測定点における吸収係数の最大値が25cm
-1
以下であり、かつ、全測定点間での吸収係数の最大値と最小値の差が5cm
-1
以内となるように引くことができることによって特定される、AlN単結晶基板。
[態様2]
前記第一仮想線分上の前記全測定点間での吸収係数の最大値と最小値の差が3cm
-1
以内であり、かつ、前記第二仮想線分上の前記全測定点間での吸収係数の最大値と最小値の差が3cm
-1
以内である、態様1に記載のAlN単結晶基板。
[態様3]
前記第一仮想線分上の前記全測定点における吸収係数の最大値が15cm
-1
以下であり、かつ、前記第二仮想線分上の前記全測定点における吸収係数の最大値が15cm
-1
以下である、態様1又は2に記載のAlN単結晶基板。
[態様4]
前記AlN単結晶基板が、直径100mm以上の円板状である、態様1~3のいずれか一つに記載のAlN単結晶基板。
[態様5]
態様1~4のいずれか一つに記載のAlN単結晶基板を備えた、デバイス。
【図面の簡単な説明】
【0010】
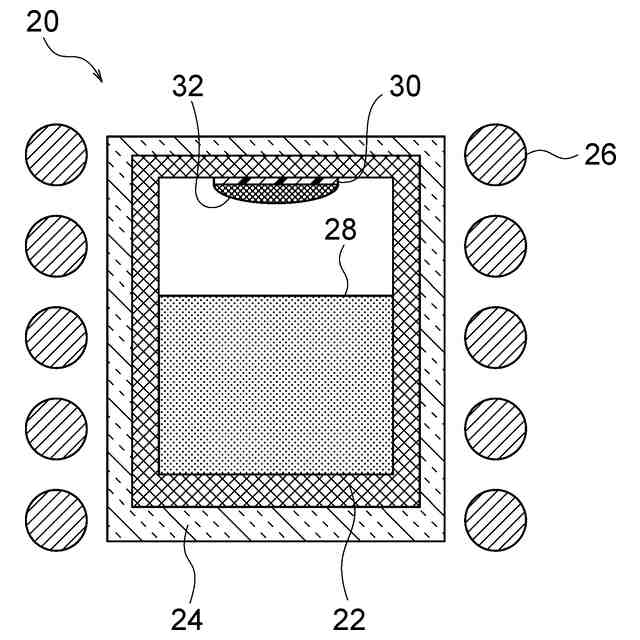
AlN単結晶基板上の第一仮想線分及び第二仮想線分を仮想的に示す模式上面図である。
光の吸収がある場合の多重反射の透過率を説明するための概念図である。
AlN原料粉末の作製に用いられる熱処理装置の構成を示す模式断面図である。
昇華法に用いられる結晶成長装置の構成を示す模式断面図である。
【発明を実施するための形態】
(【0011】以降は省略されています)
この特許をJ-PlatPat(特許庁公式サイト)で参照する
関連特許
日本碍子株式会社
電池
1か月前
日本碍子株式会社
熱交換器
6日前
日本碍子株式会社
把持方法
2日前
日本碍子株式会社
ガスセンサ
2か月前
日本碍子株式会社
ガスセンサ
27日前
日本碍子株式会社
空調システム
1か月前
日本碍子株式会社
ハニカム構造体
2か月前
日本碍子株式会社
ハニカム構造体
1か月前
日本碍子株式会社
ハニカム構造体
6日前
日本碍子株式会社
ハニカム構造体
2日前
日本碍子株式会社
ハニカム構造体
17日前
日本碍子株式会社
金属溶湯濾過部材
2か月前
日本碍子株式会社
アルカリ二次電池
6日前
日本碍子株式会社
導波素子の製造方法
9日前
日本碍子株式会社
半導体製造装置用部材
2か月前
日本碍子株式会社
半導体製造装置用部材
25日前
日本碍子株式会社
センサ素子およびガスセンサ
4日前
日本碍子株式会社
センサ素子およびガスセンサ
1か月前
日本碍子株式会社
AlN単結晶基板及びデバイス
6日前
日本碍子株式会社
ロボットハンドおよびロボット
2日前
日本碍子株式会社
ロボットハンドおよびロボット
2日前
日本碍子株式会社
流体処理装置用筒状部材の製造方法
1か月前
日本碍子株式会社
車両用空調システム及びその制御方法
1か月前
日本碍子株式会社
センサ素子の製造方法およびスラリー付着装置
6日前
日本碍子株式会社
センサ素子の製造方法およびスラリー付着装置
6日前
日本碍子株式会社
ハニカム構造体の電気抵抗を測定するための方法
17日前
日本碍子株式会社
微細構造材料の設計支援方法および設計支援装置
1か月前
日本碍子株式会社
微細構造材料のモデル生成方法およびモデル生成装置
1か月前
日本碍子株式会社
センサ素子
1か月前
日本碍子株式会社
ウエハ載置台
2か月前
日本碍子株式会社
フォトニック結晶素子
18日前
日本碍子株式会社
半導体製造装置用部材
25日前
日本碍子株式会社
接合体および弾性波素子
2か月前
日本碍子株式会社
ヒーターエレメント及び車室浄化システム
2か月前
日本碍子株式会社
複合基板、弾性表面波素子および複合基板の製造方法
2日前
SECカーボン株式会社
坩堝
5か月前
続きを見る
他の特許を見る