TOP
|
特許
|
意匠
|
商標
特許ウォッチ
Twitter
他の特許を見る
10個以上の画像は省略されています。
公開番号
2025133683
公報種別
公開特許公報(A)
公開日
2025-09-11
出願番号
2024170007
出願日
2024-09-30
発明の名称
同環内に2つ以上のトリフルオロメチル基を有するフェノール化合物の製造方法及び同環内に2つ以上のトリフルオロメチル基を有するフェノール化合物
出願人
国立大学法人山口大学
,
東ソー・ファインケム株式会社
代理人
個人
主分類
C07C
37/62 20060101AFI20250904BHJP(有機化学)
要約
【課題】電子材料、電気・電子分野、感光性樹脂組成物などの機能性材料、医薬品及び農薬の原料として有用な化合物である、同環内に2つ以上のトリフルオロメチル基を有するフェノール化合物を効率的に製造する方法を提供する。
【解決手段】芳香環が炭素原子のみで構成されているフェノール化合物に対し、塩基存在下、光照射してトリフルオロヨードメタンと反応させることにより、同環内にトリフルオロメチル基を2つ以上導入することを特徴とする、同環内に2つ以上のトリフルオロメチル基を有するフェノール化合物の製造方法、および同環内に2つ以上のトリフルオロメチル基を有するフェノール化合物が提供される。
【選択図】なし
特許請求の範囲
【請求項1】
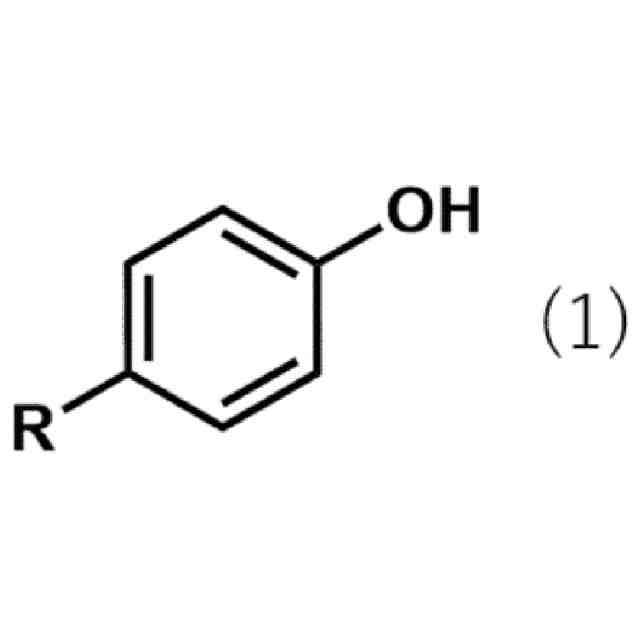
下記一般式(1)
JPEG
2025133683000034.jpg
23
170
(式(1)中、Rは水素原子、炭素数1~15のアルキル基、ハロゲン原子で置換された炭素数1~15のアルキル基、芳香族基で置換されたアルキル基、芳香族基、アルコキシ基、アルキルチオ基、アルコキシ基で置換された炭素数1~15のアルキル基、アルキルチオ基で置換された炭素数1~15のアルキル基、またはカルボアルコキシ基または(tert-ブトキシカルボニル)アミノ基を示す。)
または
下記一般式(2)
JPEG
2025133683000035.jpg
34
170
(式(2)中、R
1
は、なし(すなわち直接結合)、エーテル結合、チオエーテル結合、アルコキシ基で置換された炭素数1~15のアルキリデン基、アルキルチオ基で置換された炭素数1~15のアルキリデン基、カルボアルコキシ基で置換された炭素数1~15のアルキリデン基、炭素数1~15のアルキリデン基、芳香族基で置換されたアルキリデン基、ハロゲン原子で置換された炭素数1~15のアルキリデン基、フェニレン基、X
1
の基、またはX
2
の基を示す。
ここで、X
1
は下記式(2-1)であり、X
2
は下記式(2-2)であり、式中のZは芳香環との結合位置を示す。
JPEG
2025133683000036.jpg
26
170
JPEG
2025133683000037.jpg
29
170
)
で表されるフェノール化合物類を塩基存在下、光照射してトリフルオロヨードメタンと反応させる、
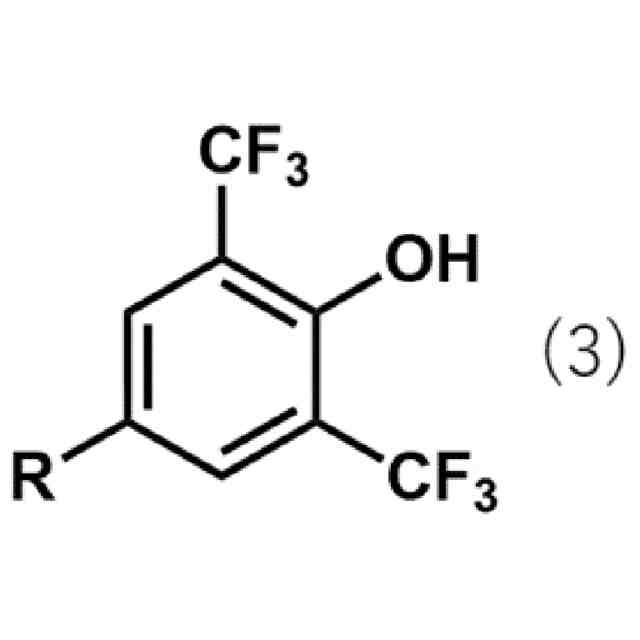
下記一般式(3)
JPEG
2025133683000038.jpg
31
170
(式(3)中、Rは上記式(1)と同じ。)
または
下記一般式(4)
JPEG
2025133683000039.jpg
47
170
(式(4)中、R
1
は上記式(2)と同じ。)
で表される、同環内に2つ以上のトリフルオロメチル基を有するフェノール化合物の製造方法。
続きを表示(約 1,100 文字)
【請求項2】
光増感剤存在下で光照射してトリフルオロヨードメタンと反応させることを特徴とする、請求項1に記載の製造方法。
【請求項3】
光増感剤が、1,2,3,5-テトラキス(カルバゾール-9-イル)-4,6-ジシアノベンゼンまたはリボフラビンである、請求項2に記載の製造方法。
【請求項4】
塩基が炭酸セシウムまたは炭酸リチウムである、請求項1~3のいずれか一項に記載の製造方法。
【請求項5】
光増感剤が、1,2,3,5-テトラキス(カルバゾール-9-イル)-4,6-ジシアノベンゼンまたはリボフラビンであり、かつ塩基が炭酸セシウムまたは炭酸リチウムである、請求項1~3のいずれか一項に記載の製造方法。
【請求項6】
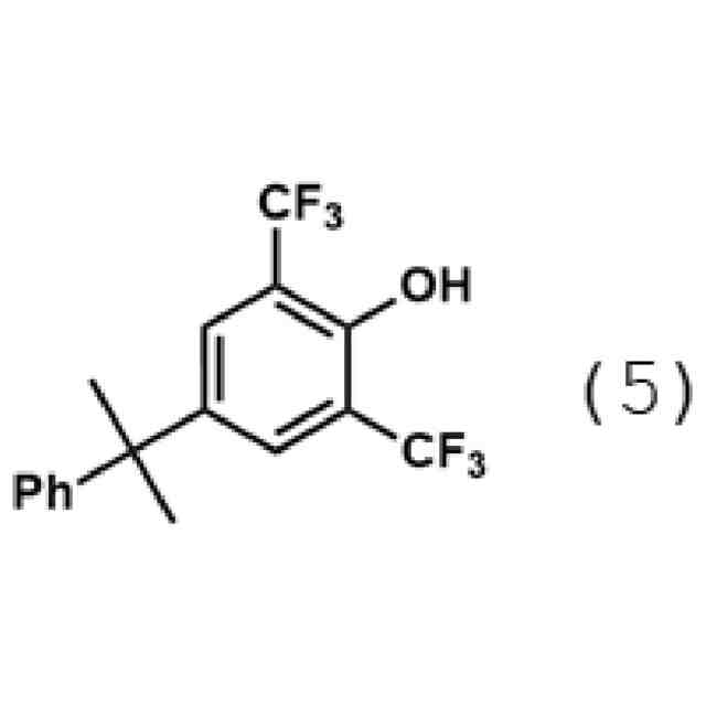
下記式(5)~式(20)のいずれかで表される2つまたは4つまたは6つのトリフルオロメチル基を有するフェノール化合物。
JPEG
2025133683000040.jpg
27
170
JPEG
2025133683000041.jpg
27
170
JPEG
2025133683000042.jpg
26
170
JPEG
2025133683000043.jpg
30
170
JPEG
2025133683000044.jpg
25
170
JPEG
2025133683000045.jpg
29
170
JPEG
2025133683000046.jpg
30
170
JPEG
2025133683000047.jpg
31
170
JPEG
2025133683000048.jpg
30
170
JPEG
2025133683000049.jpg
30
170
JPEG
2025133683000050.jpg
31
170
JPEG
2025133683000051.jpg
29
170
JPEG
2025133683000052.jpg
30
170
JPEG
2025133683000053.jpg
30
170
JPEG
2025133683000054.jpg
39
170
JPEG
2025133683000055.jpg
27
170
発明の詳細な説明
【技術分野】
【0001】
本発明は、フェノール構造有する芳香族環において、同環内に2つ以上のトリフルオロメチル基を有するフェノール化合物の製造方法及び同環内に2つ以上のトリフルオロメチル基を有するフェノール化合物に関する。
続きを表示(約 4,300 文字)
【背景技術】
【0002】
トリフルオロメチル基を有するフェノール化合物は、耐熱性、耐久性、機械的性質、電気的性質などに優れているため、各種の産業分野で使用されている。例えば、トリフルオロメチル基を有するフェノール化合物は半導体製造用フォトレジストなどの電子材料、IC封止材料などの電気・電子分野、感光性樹脂組成物などの機能性材料、医薬品及び農薬の合成原料として有用であることが知られている。
非特許文献1および非特許文献2には、2つのトリフルオロメチル基を有するフェノール化合物である2,6-ビス(トリフルオロメチル)-4-t-ブチルフェノールの合成方法が記載されている。
【先行技術文献】
【非特許文献】
【0003】
梅本 照雄ら,Bulletin of the chemical society of Japan, (1986), 59, 447-452
アントニオ トーニら,Journal of Organic Chemistry (2008), 73, 7678-7685
【発明の概要】
【発明が解決しようとする課題】
【0004】
非特許文献1には、トリフルオロメチル基を有するフェノール化合物を合成しており、表1(Table 1)では、2-トリフルオロメチル-4-t-ブチルフェノールを65%、2,6-ビス(トリフルオロメチル)-4-t-ブチルフェノールを17%の収率となっており、2つのトリフルオロメチル基を有するフェノール化合物の収率が、1つのトリフルオロメチル基を有するフェノール化合物の半分以下の収量しか得られないという結果になっている。
【0005】
非特許文献2には、トリフルオロメチル基を有するフェノール化合物を合成しており、表2(Table 2)では、種々のフェノール化合物よりトリフルオロメチル基を導入した結果が示されている。その結果は非特許文献1と同様に、2つのトリフルオロメチル基を有するフェノール化合物の収率が、1つのトリフルオロメチル基を有するフェノール化合物の半分以下の収量しか得られないという結果になっている。
【0006】
このように、フェノール化合物にトリフルオロメチル基を導入する反応において、同環内に2つ以上のトリフルオロメチル基を有するフェノール化合物を収率よく、また1つのトリフルオロメチル基を有するフェノール化合物の生成を抑えつつ効率的に2つ以上のトリフルオロメチル基を有するフェノール化合物を得ることが望まれていた。
【0007】
上記の背景技術では、1つのみトリフルオロメチル基を有するフェノール化合物が同環内に2つ以上のトリフルオロメチル基を有するフェノール化合物より多く取得され、2つ以上のトリフルオロメチル基を有するフェノール化合物を効率的に取得することは困難であり、かつトリフルオロメチル基の導入源として用いるN-トリフルオロメチル-N-ニトロソトリフルオロメタンスルホンアミドおよびトグニ試薬は比較的高価である課題があった。
そこで本発明の目的は、同環内に2つ以上のトリフルオロメチル基を有するフェノール化合物の工業的な製造方法及び同環内に2つ以上のトリフルオロメチル基を有するフェノール化合物を提供することにある。
【課題を解決するための手段】
【0008】
本発明者らは、鋭意検討の結果、光増感剤および塩基存在下にてトリフルオロヨードメタンに対し溶媒中で光照射しフェノール化合物と反応させることで、同環内に1つのみトリフルオロメチル基を有するフェノール化合物の含有割合が同環内に2つ以上のトリフルオロメチル基を有する芳香族化合物の含有割合よりも少ない、同環内に2つ以上のトリフルオロメチル基を有するフェノール化合物を効率的に製造できることを見出し、本発明を完成するに至った。
なお「同環内に2つ以上のトリフルオロメチル基を有するフェノール化合物」とは、例えば下記一般式(3)のように、ヒドロキシ基を有する芳香環を1つ有している化合物では当該芳香環に結合する置換基としてトリフルオロメチル基が2以上結合する化合物をいい、または下記一般式(4)のように、ヒドロキシ基を有する芳香環を2つ有している化合物では当該芳香環の各々に結合する置換基としてそれぞれトリフルオロメチル基が2以上結合する化合物をいう。
【0009】
すなわち、本発明は下記の要旨に係るものである。
[1] 下記一般式(1)
JPEG
2025133683000001.jpg
23
170
(式(1)中、Rは水素原子、炭素数1~15のアルキル基、ハロゲン原子で置換された炭素数1~15のアルキル基、芳香族基で置換されたアルキル基、芳香族基、アルコキシ基、アルキルチオ基、アルコキシ基で置換された炭素数1~15のアルキル基、アルキルチオ基で置換された炭素数1~15のアルキル基、またはカルボアルコキシ基または(tert-ブトキシカルボニル)アミノ基を示す。)
または
下記一般式(2)
JPEG
2025133683000002.jpg
37
170
(式(2)中、R
1
は、なし(すなわち直接結合)、エーテル結合、チオエーテル結合、アルコキシ基で置換された炭素数1~15のアルキリデン基、アルキルチオ基で置換された炭素数1~15のアルキリデン基、カルボアルコキシ基で置換された炭素数1~15のアルキリデン基、炭素数1~15のアルキリデン基、芳香族基で置換されたアルキリデン基、ハロゲン原子で置換された炭素数1~15のアルキリデン基、フェニレン基、X
1
の基、またはX
2
の基を示す。
ここで、X
1
は下記式(2-1)であり、X
2
は下記式(2-2)であり、式中のZは芳香環との結合位置を示す。
JPEG
2025133683000003.jpg
29
170
JPEG
2025133683000004.jpg
30
170
)
で表されるフェノール化合物類を塩基存在下、光照射してトリフルオロヨードメタンと反応させる、
下記一般式(3)
JPEG
2025133683000005.jpg
31
170
(式(3)中、Rは上記式(1)と同じ。)
または
下記一般式(4)
JPEG
2025133683000006.jpg
45
170
(式(4)中、R
1
は上記式(2)と同じ。)
で表される、同環内に2つ以上のトリフルオロメチル基を有するフェノール化合物の製造方法。
[2] 光増感剤存在下で光照射してトリフルオロヨードメタンと反応させることを特徴とする、項[1]に記載の製造方法。
[3] 光増感剤が、1,2,3,5-テトラキス(カルバゾール-9-イル)-4,6-ジシアノベンゼンまたはリボフラビンである、項[2]に記載の製造方法。
[4] 塩基が炭酸セシウムまたは炭酸リチウムである、項[1]~項[3]に記載の製造方法。
[5] 光増感剤が、1,2,3,5-テトラキス(カルバゾール-9-イル)-4,6-ジシアノベンゼンまたはリボフラビンであり、かつ塩基が炭酸セシウムまたは炭酸リチウムである、項[1]~項[3]に記載の製造方法。
[6] 下記、式(5)~式(20)のいずれかで表される2つまたは4つまたは6つのトリフルオロメチル基を有するフェノール化合物。
JPEG
2025133683000007.jpg
27
170
JPEG
2025133683000008.jpg
31
170
JPEG
2025133683000009.jpg
31
170
JPEG
2025133683000010.jpg
30
170
JPEG
2025133683000011.jpg
25
170
JPEG
2025133683000012.jpg
29
170
JPEG
2025133683000013.jpg
31
170
JPEG
2025133683000014.jpg
31
170
JPEG
2025133683000015.jpg
29
170
JPEG
2025133683000016.jpg
30
170
JPEG
2025133683000017.jpg
31
170
JPEG
2025133683000018.jpg
29
170
JPEG
2025133683000019.jpg
30
170
JPEG
2025133683000020.jpg
30
170
JPEG
2025133683000021.jpg
39
170
JPEG
2025133683000022.jpg
27
170
【発明の効果】
【0010】
本発明によれば、電子材料、電気・電子分野、機能性材料、医薬品及び農薬の原料として有用な化合物である、フェノール構造有する芳香族環において、同環内に2つ以上のトリフルオロメチル基を有するフェノール化合物の工業的な製造方法及び同環内に2つ以上のトリフルオロメチル基を有するフェノール化合物を提供できる。
【発明を実施するための形態】
(【0011】以降は省略されています)
この特許をJ-PlatPat(特許庁公式サイト)で参照する
関連特許
国立大学法人山口大学
含硫黄ポリマー
1か月前
国立大学法人山口大学
地下水流向流速計
6か月前
国立大学法人山口大学
植物の成長を調節する方法
6か月前
国立大学法人山口大学
二酸化炭素還元触媒の製造方法
24日前
国立大学法人山口大学
核酸の導入方法、核酸導入装置
3か月前
東洋鋼鈑株式会社
遺伝子変異評価用キット
3か月前
NTT株式会社
通信システム、及び通信方法
1か月前
国立大学法人山口大学
アポトーシスの阻害剤、及び神経変性疾患治療剤
1か月前
国立大学法人山口大学
包接構造を有するネットワークポリマーゲルの製造方法
6か月前
岩谷産業株式会社
銅触媒による立体特異的シアノ化反応
24日前
国立大学法人山口大学
ニッケル系金属板一体型セラミックス基板およびその製造方法
4か月前
澁谷工業株式会社
線維化を伴う肝疾患を予防又は治療するための医薬組成物
4か月前
丸菱油化工業株式会社
リン含有重合体を含む繊維用難燃剤及び難燃性繊維製品
2日前
ハカルプラス株式会社
硝酸態窒素濃度の計測方法及び計測装置
2か月前
国立大学法人山口大学
ベンゼン系芳香族炭化水素基が置換したペルフルオロ環状スルホニルイミド化合物を環縮小した化合物、及びその製造方法
1か月前
日本電信電話株式会社
連携無線通信装置、無線通信システム、空間多重無線伝送方法及びプログラム
6か月前
国立大学法人山口大学
アリル基を有するフルオロアルキルスルホンアミド及びその製造方法、並びにフルオロアルキルスルホンイミド塩化合物、その重合体及び製造方法
1か月前
国立大学法人山口大学
同環内に2つ以上のトリフルオロメチル基を有するフェノール化合物の製造方法及び同環内に2つ以上のトリフルオロメチル基を有するフェノール化合物
1か月前
東ソー株式会社
タンパク質の発現方法
22日前
東ソー株式会社
炭素-窒素結合形成方法
3か月前
株式会社トクヤマ
四塩化炭素の製造方法
3か月前
株式会社トクヤマ
シロキサン類の回収方法
3か月前
株式会社半導体エネルギー研究所
有機化合物
1か月前
株式会社トクヤマ
ビオチン誘導体の製造方法
2か月前
栗田工業株式会社
ギ酸の回収方法
4日前
株式会社トクヤマ
ホルムアミド化合物の製造方法
1か月前
株式会社コスモス
液状炭化水素の増産方法
2か月前
株式会社トクヤマ
チオラクトン誘導体の製造方法
12日前
東ソー株式会社
イソシアネート化合物の製造方法
1か月前
株式会社コスモス
液状炭化水素の増産方法
2か月前
株式会社トクヤマ
ベンザゼピン化合物の製造方法
2か月前
日本特殊陶業株式会社
メタン製造装置
4か月前
信越化学工業株式会社
新規化合物
3か月前
artience株式会社
四塩基酸無水物の製造方法
3か月前
日産化学株式会社
ピラゾール化合物及び有害生物防除剤
3か月前
日産化学株式会社
ピラゾール化合物及び有害生物防除剤
2か月前
続きを見る
他の特許を見る