TOP
|
特許
|
意匠
|
商標
特許ウォッチ
Twitter
他の特許を見る
10個以上の画像は省略されています。
公開番号
2025131800
公報種別
公開特許公報(A)
公開日
2025-09-09
出願番号
2025097686,2021502337
出願日
2025-06-11,2020-02-26
発明の名称
植物由来エキス及び/又は植物由来加工品含有組成物
出願人
大塚製薬株式会社
代理人
個人
,
個人
主分類
A23L
33/105 20160101AFI20250902BHJP(食品または食料品;他のクラスに包含されないそれらの処理)
要約
【課題】植物由来エキス及び/又は植物由来加工品を含有することを特徴とする、運動効率向上組成物、疲労軽減組成物、および動体視力改善組成物を提供する。
【解決手段】西洋わさびエキス、サフランエキス、茶葉エキス、ケールエキス、プロポリスエキス、高菜エキス、ルッコラエキス、およびこれらの混合から選択される植物由来エキス、および/または、西洋わさび加工品、サフラン加工品、茶葉加工品、ケール加工品、プロポリス加工品、高菜加工品、ルッコラ加工品、およびこれらの混合から選択される植物由来加工品を含有する運動効率向上組成物が提供される。
【選択図】なし
特許請求の範囲
【請求項1】
西洋わさびエキス、サフランエキス、茶葉エキス、ケールエキス、プロポリスエキス、高菜エキス、ルッコラエキス、およびこれらの混合から選択される植物由来エキス、および/または、西洋わさび加工品、サフラン加工品、茶葉加工品、ケール加工品、プロポリス加工品、高菜加工品、ルッコラ加工品、およびこれらの混合から選択される植物由来加工品を含有する運動効率向上組成物。
続きを表示(約 820 文字)
【請求項2】
該運動効率向上が持久力の向上である、請求項1に記載の運動効率向上組成物。
【請求項3】
該運動効率向上が息切れ軽減である、請求項1に記載の運動効率向上組成物。
【請求項4】
西洋わさびエキス、サフランエキス、茶葉エキス、ケールエキス、プロポリスエキス、高菜エキス、ルッコラエキス、およびこれらの混合から選択される植物由来エキス、および/または、西洋わさび加工品、サフラン加工品、茶葉加工品、ケール加工品、プロポリス加工品、高菜加工品、ルッコラ加工品、およびこれらの混合から選択される植物由来加工品を含有する疲労軽減組成物。
【請求項5】
西洋わさびエキス、サフランエキス、茶葉エキス、ケールエキス、プロポリスエキス、高菜エキス、ルッコラエキス、およびこれらの混合から選択される植物由来エキス、および/または、西洋わさび加工品、サフラン加工品、茶葉加工品、ケール加工品、プロポリス加工品、高菜加工品、ルッコラ加工品、およびこれらの混合から選択される植物由来加工品を含有する動体視力改善組成物。
【請求項6】
西洋わさびエキスを含む、請求項1~5のいずれか1つに記載の組成物。
【請求項7】
西洋わさび加工品を含む、請求項1~6のいずれか1つに記載の組成物。
【請求項8】
該植物由来エキスおよび/または該植物由来加工品がケンペロールを含有する、請求項1~7のいずれか1つに記載の組成物。
【請求項9】
該ケンペロールを0.1mg~200mg含有することを特徴とする、請求項1~8のいずれか1つに記載の組成物。
【請求項10】
該ケンペロールが1回あたり0.1mg~200mg投与されることを特徴とする、請求項1~9のいずれか1つに記載の組成物。
(【請求項11】以降は省略されています)
発明の詳細な説明
【技術分野】
【0001】
本願は、運動効率向上組成物、疲労軽減組成物、および動体視力改善組成物に関する。
続きを表示(約 2,700 文字)
【背景技術】
【0002】
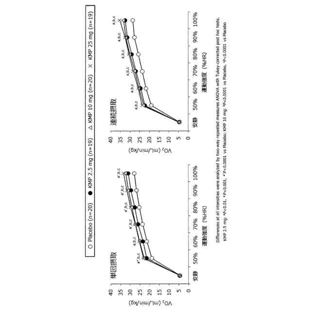
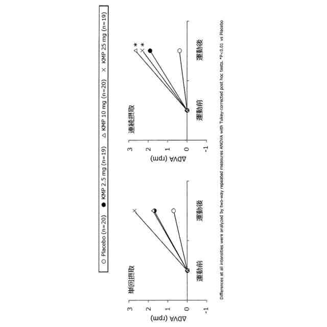
激しいトレーニングをするアスリートのみならず、一般人の日常的な労働(例えば家事、荷物運び、階段の昇降)においても運動効率の向上、疲労軽減、動体視力改善は非常に重要である。酸素利用はエネルギー産生の指標であり、スポーツや日常生活において、疲れや息切れを感じることなく持続的に「運動」ができるには、酸素利用効率を向上することがカギとなる。
一般に安静時の動脈血酸素飽和度は96%以上が正常とされているが、激しい運動時には93~88%まで低下する(非特許文献1)。また動脈血酸素飽和度(安静時)は、20代では約97%であるものの加齢と共にこの数値は低下し、60代では約93%となる(非特許文献2)。すなわち激しいスポーツのときの急激な酸素状態の低下に加え、一般人の日常生活においても加齢や労働、また悪天候(低気圧)や無呼吸症候群などにより酸素状態の低下は起こりうる。
スポーツのときのみならず一般人の日常生活においても酸素状態の低下は起こりうるため、通常の酸素状態に加え酸素状態が低下している場合であっても、酸素利用効率を改善でき、運動効率を向上し、疲れをためにくくすることができ、または動体視力を改善できるものであって、日常的に継続して安全に摂取できる製剤が望まれる。
【0003】
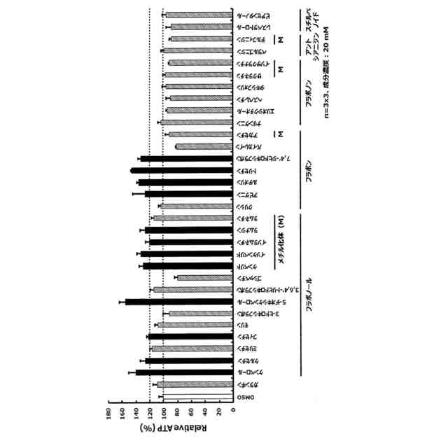
ケンペロールは茶、ブロッコリー、グレープフルーツ、キャベツ、ケール、豆類、キクヂシャ、セイヨウニラネギ、トマト、イチゴ、ブドウ、メキャベツ、リンゴ、キヌア、西洋わさび、サフラン、プロポリス、高菜、ルッコラ等多くの食用植物等に含まれる天然フラボノイドの一種である。
【0004】
ケンペロールを含む天然フラボノイドについてはその多様な生理作用に着目した研究がなされており、例えば、ケンペロールのミトコンドリア機能への関与(特許文献1、特許文献2、および非特許文献3)、およびケンペロールの細胞エネルギー消費および甲状腺ホルモンへの影響(非特許文献4)が挙げられるが、これらはいずれもインビトロの研究に関するものである。
特許文献3はクエルセチンの乳酸濃度への影響について開示するものであるが、他のフラボノイドを使った具体的な記載はない。
【先行技術文献】
【特許文献】
【0005】
国際公開第2014/171333号
特開2007-228855号公報
特表2013-542924号公報
【非特許文献】
【0006】
Williams JH, Powers SK, Stuart MK (1986) Hemoglobin desaturation in highly trained athletes during heavy exercise. Med Sci Sports Exerc 18: 168-173
Wilkins, R.L. et al. Clinical assessment in respiratory care, (2004), Relationship between Age, PaO, and Saturation
M. Montero, C.D. Lobaton, E. Hernandez-Sanmiguel, et al., Direct activation of the mitochondrial calcium uniporter by natural plant flavonoids, Biochem. J. 384 (2004) 19-24.
da-Silva WS, Harney JW, Kim BW, Li J, Bianco SD, Crescenzi A, Christoffolete MA, Huang SA, Bianco AC 2007 The small polyphenolic molecule kaempferol increases cellular energy expenditure and thyroid hormone activation. Diabetes 56:767-776
Oxygen uptake effciency slope (OUES) : その生理学的基礎と臨床応用、東海大学スポーツ医科学雑誌 11, 9-14, 1999-03、東海大学
【0007】
本明細書において引用する先行技術文献の開示は全て参照することにより、本明細書に組み込まれる。
【発明の概要】
【発明が解決しようとする課題】
【0008】
本願の課題は、酸素利用効率を向上する(つまり酸素を利用する能力が高める)ことで運動効率の低下を抑制または運動効率を向上できもしくは疲労を軽減することができ、または動体視力の低下を抑制または動体視力を改善できる組成物あって、通常の酸素状態に加え酸素状態が低下している場合であってもこれらの作用を奏しうる組成物を提供することである。
【課題を解決するための手段】
【0009】
本発明者等は、上記課題を解決すべく鋭意検討を行ったところ、ケンペロールを含有する組成物をヒトへ経口投与することにより、日常生活程度の軽度の運動から激しいスポーツに相当する強度の運動にわたる広い強度範囲の運動において、酸素利用効率は増加し、運動効率は向上し、疲労感は軽減され、動体視力は改善されることを見出した。さらに、本発明者等は、ケンペロール(ケンペロール配糖体を含む)を含むと知られる食用植物等のなかで、特に、西洋わさび葉、サフラン、紅茶葉、ケール、プロポリス、ルッコラ、キヌア、および高菜にはケンペロールまたはケンペロール配糖体が非常に多く含まれることを明かにし、本願発明に至った。
【0010】
本願発明は下記を提供する:
[1]西洋わさびエキス、サフランエキス、茶葉エキス、ケールエキス、プロポリスエキス、高菜エキス、ルッコラエキス、およびこれらの混合から選択される植物由来エキス、および/または、西洋わさび加工品、サフラン加工品、茶葉加工品、ケール加工品、プロポリス加工品、高菜加工品、ルッコラ加工品、およびこれらの混合から選択される植物由来加工品を含有する運動効率向上組成物。
[2]該運動効率向上が持久力の向上である、[1]に記載の運動効率向上組成物。
[3]該運動効率向上が息切れ軽減である、[1]に記載の運動効率向上組成物。
(【0011】以降は省略されています)
この特許をJ-PlatPat(特許庁公式サイト)で参照する
関連特許
不二製油株式会社
組成物
1か月前
不二製油株式会社
光照射油脂
1か月前
株式会社東洋新薬
経口組成物
1か月前
株式会社東洋新薬
飲料
1か月前
個人
可食性素材からなる容器
16日前
不二製油株式会社
被覆用油性食品
1か月前
個人
発酵あんこの製造方法
1か月前
個人
海ぶどうの加工処理方法
14日前
不二製油株式会社
カカオ含有飲食物
1か月前
株式会社和田機械
食品原料の裏ごし機
1か月前
不二製油株式会社
ソフトチョコレート
1か月前
株式会社オーツボ
海苔剥ぎ装置
1か月前
株式会社XAXA
ペットフード
22日前
個人
にんにくの熟成方法
1か月前
不二製油株式会社
易溶融解性食品素材
1か月前
株式会社J-オイルミルズ
米飯用添加剤
1か月前
不二製油株式会社
包餡食品用フィリング
1か月前
日清食品ホールディングス株式会社
麺類
1か月前
不二製油株式会社
チョコレート類用油脂
1か月前
不二製油株式会社
焼成菓子類用油脂組成物
1か月前
理研ビタミン株式会社
油溶性色素乳化製剤
24日前
株式会社リバーサー
雲丹の冷凍方法
9日前
株式会社オリエント
生米缶詰
1か月前
株式会社東洋新薬
飲料
1か月前
森永乳業株式会社
冷菓
21日前
大分キヤノン株式会社
液体抽出装置
1か月前
不二製油株式会社
脱皮緑豆粉を含有する麺類
8日前
アサヒ飲料株式会社
飲料
1か月前
株式会社J-オイルミルズ
炊飯用油脂組成物
1か月前
アサヒ飲料株式会社
飲料
1か月前
不二製油株式会社
ペットフード用油脂組成物
1か月前
アサヒ飲料株式会社
飲料
1か月前
株式会社東洋新薬
組成物
1か月前
個人
茶葉加工用微小水分処理のための殺青機
1か月前
池田食研株式会社
水溶性クロセチン含有組成物
21日前
株式会社シェリーズ
オリーブ食品
今日
続きを見る
他の特許を見る