TOP
|
特許
|
意匠
|
商標
特許ウォッチ
Twitter
他の特許を見る
10個以上の画像は省略されています。
公開番号
2025120023
公報種別
公開特許公報(A)
公開日
2025-08-15
出願番号
2024015213
出願日
2024-02-02
発明の名称
新設構造物
出願人
大成建設株式会社
代理人
個人
主分類
E02D
27/12 20060101AFI20250807BHJP(水工;基礎;土砂の移送)
要約
【課題】既存杭を用いて構築可能な新設構造物を提供すること。
【解決手段】新設構造物1は、既存構造物10の既存杭11、12を再利用して構築される。新設構造物1は、既存杭11、12と、既存杭11、12の上に構築された新設上部構造体2と、を備える。既存上部構造体13の撤去前の既存杭11、12の沈下剛性K、K′は、沈下曲線L、L′で表され、既存上部構造体13の撤去開始時における沈下曲線L、L′上の点を除荷開始点P、P′とし、既存上部構造体13の撤去後の既存杭11、12の残留沈下量を除荷完了点Q、Q′とし、既存上部構造体13の撤去後の既存杭11、12の沈下剛性K
E
、K
E
′は、除荷完了点Q、Q′と除荷開始点P、P′とを結ぶ再載荷曲線L
E
、L
E
′で表され、既存杭11、12と同一形状の新設杭の沈下剛性K、K′よりも大きい。
【選択図】図4
特許請求の範囲
【請求項1】
既存構造物の既存杭を再利用して構築された新設構造物であって、
前記既存構造物は、前記既存杭と、前記既存杭の上に構築された既存上部構造体と、を備え、
前記新設構造物は、前記既存杭と、前記既存杭の上に構築された新設上部構造体と、を備え、
前記既存上部構造体の撤去前の前記既存杭の沈下剛性は、沈下曲線で表され、
前記既存上部構造体の撤去開始時における前記沈下曲線上の点を除荷開始点とし、
前記既存上部構造体の撤去後の杭頭荷重ゼロにおける前記既存杭の残留沈下量を除荷完了点とし、
前記既存上部構造体の撤去後の前記既存杭の沈下剛性は、前記除荷完了点と前記除荷開始点とを結ぶ再載荷曲線で表され、
前記既存上部構造体の撤去後の前記既存杭の沈下剛性は、前記既存杭と同一形状の新設杭の沈下剛性よりも大きいことを特徴とする新設構造物。
続きを表示(約 1,300 文字)
【請求項2】
前記既存杭が直杭または拡底杭である場合には、以下の式(1)および式(2)により、前記既存上部構造体の撤去後の前記既存杭の沈下量の減少分S
p
が算定され、前記既存上部構造体の撤去後の前記既存杭の残留沈下量は、前記除荷開始時の沈下量から前記既存杭の沈下量の減少分S
p
を減算して算定され、
前記既存杭の中間部に拡径部が設けられている場合には、以下の式(3)および式(4)により、前記既存上部構造体の撤去後の前記既存杭の沈下量の減少分S
m
が算定され、前記既存上部構造体の撤去後の前記既存杭の残留沈下量は、前記除荷開始時の沈下量から前記既存杭の沈下量の減少分S
m
を減算して算定されることを特徴とする請求項1に記載の新設構造物。
TIFF
2025120023000009.tif
20
169
・・・式(1)
ここで、S
p
(m):杭先端の沈下量の減少分、d
p
(m):杭先端直径、
R
p
(kN):杭先端荷重、A
p
(m
2
):杭先端断面積、
(R
p
/A
p
)u(kN/m
2
):極限先端支持力度、α:曲線の初期接線勾配、
n:曲線形状を決定する次数、であり、
TIFF
2025120023000010.tif
21
170
・・・式(2)
ここで、R
p1
(kN):除荷直前の荷重
R
p
(kN):除荷した荷重(つまりR
p1
からの荷重の減少分)
S
p
(m):R
p
によって生じる沈下量の減少分
α′:曲線の初期接線勾配で、式(1)より算定される初期剛性K
0
と地盤の変形係数E
0
より算定される初期剛性K
E0
の比をαに乗じた係数
TIFF
2025120023000011.tif
14
130
ν:地盤のポアソン比
a:除荷時の曲線形状を変更するための係数でa=(R
pu
+ R
p1
)/R
pu
、であり、
TIFF
2025120023000012.tif
20
170
・・・式(3)
ここで、S
m
(m):拡径部の沈下量の減少分、d
m
(m):拡径部の直径、
R
m
(kN):拡径部の荷重、A
m
(m
2
):拡径部の断面積、
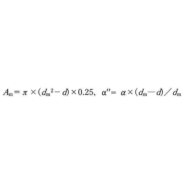
(R
m
/A
m
)u(kN/m
2
発明の詳細な説明
【技術分野】
【0001】
本発明は、既存構造物の既存杭を再利用して構築された新設構造物に関する。
続きを表示(約 2,500 文字)
【背景技術】
【0002】
従来より、既存杭を再利用して構築された新設構造物がある(特許文献1参照)。
特許文献1には、既存杭と新設基礎スラブとの間に、既存杭に作用する荷重を調節するための杭頭荷重調節部材を設けて構成された基礎構造が提案されている。
特許文献2には、既存杭を利用した新設構造物の基礎構造が示されている。既存杭の沈下に対する沈下剛性を変更調整するため、既存杭の上端部には、既存杭より大きな水平断面積を有する円柱体状の杭頭部が設けられている。
特許文献3には、既存杭を利用した新設建物の基礎構造が示されている。新設基礎には、既存杭が半剛接合されるとともに、新設杭が剛接合または半剛接合されている。これにより、既存杭が新設杭よりも小さな水平力を分担している。
【先行技術文献】
【特許文献】
【0003】
特開2017-122364号公報
特開2017-36572号公報
特許4683520号公報
【発明の概要】
【発明が解決しようとする課題】
【0004】
本発明は、既存杭を用いて構築可能な新設構造物を提供することを課題とする。
【課題を解決するための手段】
【0005】
第1の発明の新設構造物(例えば、後述の新設構造物1)は、既存構造物(例えば、後述の既存構造物10)の既存杭(例えば、後述の既存杭11、12)を再利用して構築された新設構造物であって、前記既存構造物は、前記既存杭と、前記既存杭の上に構築された既存上部構造体(例えば、後述の既存上部構造体13)と、を備え、前記新設構造物は、前記既存杭と、前記既存杭の上に構築された新設上部構造体(例えば、後述の新設上部構造体2)と、を備え、前記既存上部構造体の撤去前の前記既存杭の沈下剛性(例えば、後述の沈下剛性K、K′)は、沈下曲線(例えば、後述の沈下曲線L、L′)で表され、前記既存上部構造体の撤去開始時における前記沈下曲線上の点を除荷開始点(例えば、後述の除荷開始点P、P′)とし、前記既存上部構造体の撤去後の杭頭荷重ゼロにおける前記既存杭の残留沈下量を除荷完了点(例えば、後述の除荷完了点Q、Q′)とし、前記既存上部構造体の撤去後の前記既存杭の沈下剛性(例えば、後述のK
E
、K
E
′)は、前記除荷完了点と前記除荷開始点とを結ぶ再載荷曲線(例えば、後述のL
E
、L
E
′)で表され、前記既存上部構造体の撤去後の前記既存杭の沈下剛性は、前記既存杭と同一形状の新設杭の沈下剛性(例えば、後述の沈下剛性K、K′)よりも大きいことを特徴とする。
【0006】
この発明によれば、既存上部構造体が撤去された既存杭の上に構築される新設上部構造体を既存杭で支持した。このとき、既存上部構造体の撤去前の既存杭の沈下剛性を沈下曲線で表し、既存上部構造体の撤去開始時における沈下曲線上の点を除荷開始点とし、既存上部構造体の撤去後の杭頭荷重ゼロにおける既存杭の残留沈下量を除荷完了点とし、既存上部構造体の撤去後の既存杭の沈下剛性を、除荷完了点と除荷開始点とを結ぶ再載荷曲線で表し、既存上部構造体の撤去後の既存杭の沈下剛性は、既存杭と同一形状の新設杭の沈下剛性よりも大きいことを、既存杭の沈下剛性に関する研究開発を行い、明らかにした。
よって、再載荷時の既存杭が、この既存杭と同一形状の新設杭よりも大きな鉛直荷重を負担できるので、既存杭の鉛直支持能力を最大限に活用し、既存上部構造体が撤去された後に既存杭の上に構築される新設上部構造体を、既存杭のみ、あるいは、既存杭および新設杭で支持させる。
【0007】
第2の発明の新設構造物は、前記既存杭(例えば、後述の既存杭11)が直杭または拡底杭である場合には、後述の式(1)および式(2)により、前記既存上部構造体の撤去後の前記既存杭の沈下量の減少分S
p
が算定され、前記既存上部構造体の撤去後の前記既存杭の残留沈下量は、前記除荷開始時の沈下量から前記既存杭の沈下量の減少分S
p
を減算して算定され、前記既存杭(例えば、後述の既存杭12)の中間部に拡径部(例えば、後述の拡径部12A)が設けられている場合には、後述の式(3)および式(4)により、前記既存上部構造体の撤去後の前記既存杭の沈下量の減少分S
m
が算定され、前記既存上部構造体の撤去後の前記既存杭の残留沈下量は、前記除荷開始時の沈下量から前記既存杭の沈下量の減少分S
m
を減算して算定されることを特徴とする。
【0008】
この発明によれば、既存上部構造体の撤去後の既存杭の沈下量の減少分を算定し、除荷完了時の残留沈下量を、除荷開始点の沈下量から既存杭の沈下量の減少分を減算して算定した。よって、除荷完了時の残留沈下量を高精度で算定できる。
【発明の効果】
【0009】
本発明によれば、既存杭を用いて構築可能な新設構造物を提供できる。
【図面の簡単な説明】
【0010】
本発明の第1実施形態に係る新設構造物の模式的な側面図である。
第1実施形態の新設構造物に用いられる既存構造物の模式的な側面図である。
第1実施形態の新設構造物を設計する手順のフローチャートである。
第1実施形態の新設構造物の設計手順の説明図(既存杭の沈下曲線および再載荷曲線を示す図)である。
第1実施形態の新設構造物を設計する際に残留沈下量を算定する手順のフローチャートである。
本発明の第2実施形態に係る新設構造物の模式的な側面図である。
第2実施形態の新設構造物を設計する手順のフローチャートである。
本発明の変形例に係る既存杭の模式的な側面図である。
【発明を実施するための形態】
(【0011】以降は省略されています)
この特許をJ-PlatPat(特許庁公式サイト)で参照する
関連特許
大成建設株式会社
推定方法
2日前
大成建設株式会社
木質複合構造
1か月前
大成建設株式会社
摩擦制振ダンパー
1か月前
大成建設株式会社
気体貯蔵放出材料
1か月前
大成建設株式会社
ペレット製造装置
23日前
大成建設株式会社
既存建物の解体方法
22日前
大成建設株式会社
浮体式基礎の製作方法
1か月前
大成建設株式会社
床版接合部の設計方法
26日前
大成建設株式会社
杭の施工方法および杭
26日前
大成建設株式会社
木材性状推定システム
17日前
大成建設株式会社
浚渫用施設および浚渫方法
1か月前
大成建設株式会社
木材縦弾性係数推定システム
17日前
大成建設株式会社
無線給電システム及び移動体
1か月前
大成建設株式会社
足場装置および足場構築方法
3日前
大成建設株式会社
土壌改良剤、及び土壌改良方法
11日前
大成建設株式会社
免震基礎構造およびその構築方法
15日前
大成建設株式会社
地下水排水構造と地下水排水方法
22日前
大成建設株式会社
到達立坑における掘進機の回収方法
26日前
大成建設株式会社
単杭の極限先端支持力度の評価方法
8日前
大成建設株式会社
異種コンクリートの切替り特定方法
22日前
大成建設株式会社
凍結地盤の掘削土の排土装置と排土方法
22日前
大成建設株式会社
水槽構造物および水槽構造物の施工方法
1か月前
大成建設株式会社
シールド到達構造およびシールド到達方法
1か月前
大成建設株式会社
既設トンネルの坑口補強構造と坑口補強方法
22日前
大成建設株式会社
内空変位計測システム及び内空変位計測方法
1日前
大成建設株式会社
水中不分離性モルタル組成物、及び、その部材
1か月前
大成建設株式会社
吊荷向き制御システムおよびブレード設置方法
1か月前
大成建設株式会社
浮体式基礎の製作方法及び洋上風車の製作方法
1か月前
大成建設株式会社
消音設計支援システム、防振設計支援システム
1日前
大成建設株式会社
既設トンネルと分岐トンネルの接合構造と接合方法
22日前
大成建設株式会社
上下の既設トンネルを繋ぐ接合トンネルとその施工方法
22日前
大成建設株式会社
上面増厚床版の非破壊評価方法及び非破壊評価システム
23日前
大成建設株式会社
鋼管により形成される立坑の坑口補強構造と坑口補強方法
26日前
大成建設株式会社
作業環境監視システム及び作業環境監視システムの監視方法
23日前
大成建設株式会社
インバート変位計測システムおよびインバート変位計測方法
2日前
大成建設株式会社
遊離脂肪酸の分離方法および遊離脂肪酸生産微生物の培養方法
24日前
続きを見る
他の特許を見る