TOP
|
特許
|
意匠
|
商標
特許ウォッチ
Twitter
他の特許を見る
10個以上の画像は省略されています。
公開番号
2025176991
公報種別
公開特許公報(A)
公開日
2025-12-05
出願番号
2024083443
出願日
2024-05-22
発明の名称
診断装置及び診断方法
出願人
株式会社日立製作所
代理人
弁理士法人第一国際特許事務所
主分類
B61D
27/00 20060101AFI20251128BHJP(鉄道)
要約
【課題】本発明の目的は、計測不要な情報によって発生する空調装置の故障予兆の誤検知を低減し、かつ低コストで実現しうる故障予兆検知システムを提案する。
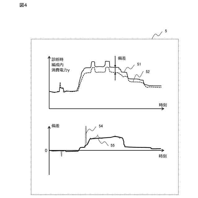
【解決手段】代表的な本発明の診断装置は、編成内消費電力に基づき編成内の空調装置のうちいずれかの空調装置の故障予兆を検知する電力診断部と、前記編成内に含まれる車両で取得される情報を蓄積するデータ蓄積部と、空調装置が正常である場合の正常時モデルを生成する正常時モデル生成部、を含む診断装置であって、前記電力診断部は、正常時の編成内消費電力の推定値を、診断時電力変化要因と前記正常時モデルを用いることで推定し、前記正常時の編成内消費電力の推定値から診断時編成内消費電力を減算した偏差が所定の値を上回る場合に、前記編成内の空調装置のうちのいずれかの空調装置に故障予兆が発生していると判定すること、を特徴とする。
【選択図】図1
特許請求の範囲
【請求項1】
編成内消費電力に基づき、編成内の空調装置のうちいずれかの空調装置の故障予兆を検知する電力診断部と、
前記編成内に含まれる車両で取得される情報を蓄積するデータ蓄積部と、
空調装置が正常である場合の正常時モデルを生成する正常時モデル生成部、
を含む診断装置であって、
前記電力診断部は、
正常時の編成内消費電力の推定値を、診断時電力変化要因と前記正常時モデルを用いることで推定し、
前記正常時の編成内消費電力の推定値から診断時編成内消費電力を減算した偏差が所定の値を上回る場合に、前記編成内の空調装置のうちいずれかの空調装置に故障予兆が発生していると判定すること、
を特徴とする診断装置。
続きを表示(約 2,000 文字)
【請求項2】
請求項1に記載の診断装置であって、
前記正常時モデル生成部は、
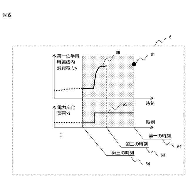
学習時電力変化要因と、学習時編成内消費電力を用い、
特定の学習時電力変化要因が第一の状態から第二の状態に遷移した場合における学習時編成内消費電力の増加量を求め、
特定の学習時編成内消費電力の増加量と、ある時刻における学習時電力変化要因との積を全ての学習時電力変化要因について総和を算出したものを、正常時モデルとして生成すること、
を特徴とする診断装置。
【請求項3】
請求項1に記載の診断装置であって、
前記正常時モデル生成部は、
学習時電力変化要因と、学習時編成内消費電力を用い、
特定の学習時電力変化要因が第一の状態から第二の状態に遷移した場合における学習時編成内消費電力の増加量を求め、
さらに学習時編成内消費電力の時間推移から時定数を求め、
特定の学習時編成内消費電力の増加量と、ある時刻における学習時電力変化要因と、前記時定数から求められる単位ステップ過渡応答を表す項との積を全ての学習電力変化要因について総和を算出したものを、正常時モデルとして生成すること、
を特徴とする診断装置。
【請求項4】
請求項1に記載の診断装置であって、
前記電力診断部は、
正常時の編成内消費電力の推定値を、前記診断時電力変化要因と、前記診断時編成内消費電力と、前記正常時モデルを用いることで推定すること、
を特徴とする診断装置。
【請求項5】
請求項4に記載の診断装置であって、
前記正常時モデル生成部は、
学習時電力変化要因と、学習時編成内消費電力を用い、
第一の時刻よりも所定の時間だけ過去の時刻を第二の時刻、及び前記第二の時刻よりも過去の時刻を第三の時刻とした場合に、前記第三の時刻から前記第一の時刻までの前記診断時電力変化要因と、前記第三の時刻から前記第二の時刻までの前記診断時編成内消費電力とを用い、前記第一の時刻における正常時の編成内消費電力の推定値を算出することのできる正常時モデルを生成すること、
を特徴とする診断装置。
【請求項6】
請求項5に記載の診断装置であって、
前記正常時モデル生成部は、
前記第一の時刻と前記第二の時刻との間に設定する所定の時間間隔について、
前記正常時モデルにおいて、前記第二の時刻における診断時編成内消費電力を、前記第一の時刻における診断時編成内消費電力に複製しないような値とすること、
を特徴とする診断装置。
【請求項7】
請求項1に記載の診断装置であって、
前記診断時電力変化要因は、
空調コンプレッサの稼働情報、コンプレッサの稼働情報、外気温度情報を含むこと、
を特徴とする診断装置。
【請求項8】
請求項1に記載の診断装置であって、
前記編成の入庫を検知する入庫検知部と、
前記電力診断部によって故障予兆を検知し、かつ、入庫を検知した場合、前記編成に検査用空調制御指令を発する検査用制御指令部と、
検査用空調制御の実施期間に得られる車内温度推移を用いて各車両の空調装置の故障予兆を検知する温度診断部と、
をさらに有すること、を特徴とする診断装置。
【請求項9】
請求項8に記載の診断装置であって、
前記編成は検査用空調制御指令を受信後、
空調コンプレッサを所定の時間停止後に、所定の時間だけ稼働させた時に得られる、空調コンプレッサ稼働時の診断時車内温度と、正常時温度モデルを用いることで、正常時の車内温度の推定値を推定し、
空調コンプレッサ稼働時のある時刻における診断時車内温度から、正常時の車内温度の推定値を減算した温度偏差が所定の値を上回る場合に、前記ある時刻における診断時車内温度に対応する車両の空調装置に故障予兆が発生していると判定すること、
を特徴とする診断装置。
【請求項10】
編成内消費電力に基づき、編成内の空調装置のうちいずれかの空調装置の故障予兆を検知する電力診断部と、
前記編成内に含まれる車両で取得される情報を蓄積するデータ蓄積部と、
空調装置が正常である場合の正常時モデルを生成する正常時モデル生成部、
を含む診断装置における診断方法であって、
正常時の編成内消費電力の推定値を、診断時電力変化要因と前記正常時モデルを用いることで推定し、
前記正常時の編成内消費電力の推定値から診断時編成内消費電力を減算した偏差が所定の値を上回る場合に、前記編成内の空調装置のうちいずれかの空調装置に故障予兆が発生していると判定すること、
を特徴とする診断方法。
(【請求項11】以降は省略されています)
発明の詳細な説明
【技術分野】
【0001】
本発明は診断装置及び診断方法に関する。
続きを表示(約 2,700 文字)
【背景技術】
【0002】
鉄道車両空調装置における保守は、故障の有無に関わらず一定周期で保守を行うTBM(Time Based Maintenance)方式で行われてきた。一方、故障予兆が見られる場合に保守作業を行うCBM(Condition Based Maintenance)方式の提案もされている。CBMでは故障が無い場合には保守を行わないため、保守頻度の低減、及び鉄道車両空調装置の保守コスト低減が期待される。
【0003】
鉄道車両空調装置においてCBMを実現するには、鉄道車両や空調装置内に設置された車内温度等の情報を用いて空調装置の状態を把握し、空調装置の故障予兆を判定する技術が必要である。
【0004】
鉄道空調の故障は冷媒配管の損傷、室内熱交換器の汚損に伴う空調コンプレッサ等の故障、ファンの異常停止など様々なものが存在するが、本開示では少なくとも室内熱交換器の汚損に伴う故障予兆の検知に着目する。室内熱交換器の汚損を検知し、適切な時期に汚損を取り除く保守を実施することができれば、汚損による冷房能力の低下に伴う車内快適性の低下や、空調コンプレッサの故障といった事象を回避し、かつ保守頻度の低減が可能となる。
【0005】
また、鉄道車両や空調装置内に既設されたセンサのセンサ情報によって上述した故障予兆を検知することができれば、故障予兆を目的としたセンサを新設する必要がなく、センサ設置コストやセンサ自体の保守コストを削減することが可能である。従来から鉄道空調の性能の検知に用いられており、かつ故障予兆の検知に有効と考えられるセンサ情報としては、鉄道空調制御に用いられる車内温度センサ情報や、空調の電流、電圧情報などが挙げられる。これまでに、鉄道、或いは他の分野にて、温度センサや電力情報を用いた空調の故障予兆検知手法が提案されている。
【0006】
特許文献1では、鉄道車両内の温度センサ実測値と、外気温度や乗車率と関連付けられた基準車内温度との差分に基づき汚損の度合いを判定し、故障予兆検知に活用する方法が開示されている。具体的には、特許文献1は、車両用空調装置、車両空調管理システム及び車両空調管理方法に係る発明として、次の内容を開示する。「快適な車内環境を示す基準となる種々の環境情報と実際の環境情報とから車内温度の変化を把握し、構成部品類で発生した異常を早期に発見でき、保守の必要性や緊急性を的確に判断することのできる車両空調管理システム及び車両空調管理方法を提供する。本発明に係る車両空調管理システム100は、冷凍サイクル10を実際に駆動させたときに得られる車内温度T2を、予め設定してある基準となる車内温度T1と比較することで、冷凍サイクル10の構成部品類の異常を予測する空調制御装置20を備えたことを特徴とする」。
【0007】
特許文献2では、鉄道空調装置が試験冷房運転の指令を受信し、試験冷房運転を開始した後、各車両の車内温度に基づき算出した平均車内温度が設定温度に達するまでの時間と、各車両の車内温度が設定温度に達するまでの時間との差分に基づき冷房能力の低下を判定する方法が開示されている。具体的には、特許文献2は、短時間で容易に空気調和装置の冷房能力の低下を判定することができる車両用空調装置管理システムを提供することを課題とし、車両用空調装置管理システムに係る発明として、次の内容を開示する。「空気調和装置2が試験冷房運転を開始したときに、各温度センサー7により検出された各車両4、5、6の車内温度を読み込んで平均車内温度を算出し、かつ平均車内温度が設定温度に達するまでの第1の時間を計測すると共に、各車両4、5、6の車内温度が設定温度に達するまでの第2の時間を計測し、そして、第2の時間から第1の時間を減算してそれぞれ偏差を求め、求めた偏差が予め設定された値以上となった空気調和装置2の冷房能力が低下していると判定する車両情報制御装置3を備えている」。
【0008】
特許文献3では、ビルといった室内空調を対象とし、空調装置の消費電力量に基づき空調装置の劣化診断を行う方法が開示されている。具体的には、空調導入時に取得した複数パターンの電力消費量の時間変化率と、現在取得した電力消費量の時間変化率との間で類似度が最も近い組を選択し、類似度に基づき劣化判定を実施する方法が開示されている。具体的には、特許文献3は、空調機の劣化の程度を容易に判定することを課題とし、空調機の劣化判定装置、空調システム、劣化判定方法および劣化判定プログラムに係る発明として、次の内容を開示する。「空調機の劣化判定装置1は、電力消費量保持部11と第一変化曲線変化率演算部12と第二変化曲線変化率演算部13と基準データ設定部14と劣化度演算部15とを備える。第一変化曲線変化率演算部12は、所定の時刻毎に取得した空調機の基準電力消費量の変化曲線である第一変化曲線について、各所定の時刻間の変化率を演算する。第二変化曲線変化率演算部13は、同所定の時刻毎に取得した空調機の判定電力消費量の変化曲線である第二変化曲線について、各所定の時刻間の変化率を演算する。基準データ設定部14は、各所定の時刻間の変化率に基づき、第二変化曲線との差が所定の範囲内である第一変化曲線を取得し、同第一変化曲線を有する基準電力消費量を基準データとして設定する。劣化度演算部15は、基準データと判定電力消費量との差に基づき空調機の劣化度を算出する」。
【先行技術文献】
【特許文献】
【0009】
国際公開第2000/150724号公報
特開2013-248977号公報
特開2009-020721号公報
【発明の概要】
【発明が解決しようとする課題】
【0010】
特許文献1の方法では、汚損以外で車内温度に影響を与える要因である外気温度や乗車率を考慮して基準車内温度を算出することから、車内温度の固定値を基準車内温度とする方法と比べて故障予兆の検知性能向上が見込まれる。しかし、車内温度の変化要因は外気温度や乗車率だけではなく、ドア開閉や車両走行中の外気流入、窓開閉、日射なども挙げられる。このため、これらの特許文献1では考慮されていない要因により、検知性能の向上が期待されるほどには実現されない可能性がある。
(【0011】以降は省略されています)
この特許をJ-PlatPat(特許庁公式サイト)で参照する
関連特許
日本信号株式会社
検査装置
11か月前
日本信号株式会社
ホーム柵
3か月前
個人
車両及び走行システム
7か月前
日本信号株式会社
検査装置
1か月前
日本信号株式会社
ホーム柵
3か月前
近畿車輌株式会社
耐火床構造
2か月前
日本車輌製造株式会社
鉄道車両
2か月前
日本信号株式会社
ホーム柵装置
8か月前
日本信号株式会社
列車接近警報装置
4か月前
保線機器整備株式会社
保線用カート
10か月前
川崎車両株式会社
鉄道車両用パネル
9か月前
ナブテスコ株式会社
ホームドア装置
4か月前
カヤバ株式会社
鉄道車両用制振装置
11か月前
日本車輌製造株式会社
台車組立装置
6か月前
日本信号株式会社
ホームドア制御装置
5か月前
日本ケーブル株式会社
索道の支索引留め装置
4か月前
株式会社東芝
台車搬送装置
2か月前
株式会社ダイフク
搬送車
6か月前
日本信号株式会社
物体検知装置
8か月前
富士電機株式会社
制御装置、制御方法
4日前
日本信号株式会社
ホーム安全システム
8か月前
ヤマハ発動機株式会社
無人搬送車
8か月前
ヤマハ発動機株式会社
無人搬送車
6か月前
日本信号株式会社
障害物検知装置
13日前
ヤマハ発動機株式会社
無人搬送車
8か月前
日本信号株式会社
列車接近警報システム
1か月前
株式会社ダイフク
搬送設備
7か月前
株式会社日立製作所
鉄道車両
2か月前
ヤマハ発動機株式会社
無人搬送車
8か月前
日本信号株式会社
障害物検知装置
13日前
日本製鉄株式会社
鉄道車両
9か月前
日本車輌製造株式会社
車両用ヒップレスト
3か月前
株式会社京三製作所
車上装置
9か月前
オークラ輸送機株式会社
無人搬送車
2か月前
日本信号株式会社
自動列車運転装置
4か月前
株式会社 空スペース
跨座式モノレールシステム
11か月前
続きを見る
他の特許を見る