TOP
|
特許
|
意匠
|
商標
特許ウォッチ
Twitter
他の特許を見る
10個以上の画像は省略されています。
公開番号
2025171723
公報種別
公開特許公報(A)
公開日
2025-11-20
出願番号
2024077354
出願日
2024-05-10
発明の名称
光学素子、光走査装置、及び画像形成装置
出願人
キヤノン株式会社
代理人
個人
,
個人
,
個人
主分類
G02B
3/00 20060101AFI20251113BHJP(光学)
要約
【課題】良好な位置決め精度を得ることが可能な光学素子を提供すること。
【解決手段】光学素子は、第1の方向の第1の端部に設けられたゲート部と、非有効領域における外面に設けられ、第1の方向に垂直な第2の方向へ突出した第1の凸部とを有する光学素子であって、第1の凸部は、第2の方向における光学素子の位置決めを行うための第1の基準面と、第1の基準面と外面とを接続する第1の側面部とを備え、第1の方向と第2の方向とに垂直な第3の方向から見たとき、第1の側面部は第1の方向において第1の基準面の両側に配置され、ゲート部に近い側の第1の側面部の第1の方向における幅とゲート部から遠い側の第1の側面部の第1の方向における幅とが互いに異なる。
【選択図】 図3
特許請求の範囲
【請求項1】
第1の方向の第1の端部に設けられたゲート部と、
非有効領域における外面に設けられ、前記第1の方向に垂直な第2の方向へ突出した第1の凸部とを有する光学素子であって、
前記第1の凸部は、前記第2の方向における前記光学素子の位置決めを行うための第1の基準面と、前記第1の基準面と前記外面とを接続する第1の側面部とを備え、
前記第1の方向と前記第2の方向とに垂直な第3の方向から見たとき、前記第1の側面部は前記第1の方向において前記第1の基準面の両側に配置され、前記ゲート部に近い側の前記第1の側面部の前記第1の方向における幅と前記ゲート部から遠い側の前記第1の側面部の前記第1の方向における幅とが互いに異なることを特徴とする光学素子。
続きを表示(約 1,500 文字)
【請求項2】
前記第1の凸部を含み、それぞれが前記外面に設けられ、かつ前記第2の方向へ突出した複数の凸部を更に有し、
前記第1の凸部は、前記複数の凸部のうち前記第1の方向において前記ゲート部から最も離れた位置に設けられていることを特徴とする請求項1に記載の光学素子。
【請求項3】
前記複数の凸部は、前記第1の方向において前記ゲート部に最も近い位置に設けられた第2の凸部を備え、
前記第2の凸部は、前記第2の方向における前記光学素子の位置決めを行う第2の基準面と、前記第2の基準面と前記外面とを接続する第2の側面部とを備え、
前記第3の方向から見たとき、前記第2の側面部は前記第1の方向において前記第2の基準面の両側に配置され、前記ゲート部に近い側の前記第2の側面部の前記第1の方向における幅と前記ゲート部から遠い側の前記第2の側面部の前記第1の方向における幅とが等しいことを特徴とする請求項2に記載の光学素子。
【請求項4】
前記第3の方向から見たとき、前記ゲート部に近い側の前記第1の側面部の前記第1の方向における幅は、前記ゲート部から遠い側の前記第1の側面部の前記第1の方向における幅よりも小さいことを特徴とする請求項1又は2に記載の光学素子。
【請求項5】
前記ゲート部から遠い側の前記第1の側面部の勾配をθ[°]、前記光学素子の膨張率をα、前記光学素子の前記ゲート部の側の端部から前記第1の基準面と前記ゲート部から遠い側の前記第1の側面部との稜線までの前記第1の方向における長さをL[mm]、前記第1の凸部の前記第2の方向への突出量をH[mm]とするとき、
0.8<θ/tan
-1
{(α×L)/H}<1.2
なる条件式を満足することを特徴とする請求項4に記載の光学素子。
【請求項6】
前記第3の方向から見たとき、前記ゲート部に近い側の前記第1の側面部の前記第1の方向の幅は、前記ゲート部から遠い側の前記第1の側面部の前記第1の方向の幅よりも大きいことを特徴とする請求項1又は2に記載の光学素子。
【請求項7】
前記ゲート部から近い側の前記第1の側面部の勾配をθ[°]、前記光学素子の膨張率をα、前記光学素子の前記ゲート部の側の端部から前記第1の基準面と前記ゲート部から近い側の前記第1の側面部との稜線までの前記第1の方向における長さをL[mm]、前記第1の凸部の前記第2の方向への突出量をH[mm]とするとき、
0.8<θ/tan
-1
{(α×L)/H}<1.2
なる条件式を満足することを特徴とする請求項6に記載の光走査装置。
【請求項8】
前記第3の方向から見たとき、前記ゲート部に近い側の前記第1の側面部の前記第1の方向の幅と前記ゲート部から遠い側の前記第1の側面部の前記第1の方向の幅とのうち大きい方の幅をd1、小さい方の幅をd2とするとき、
1.5≦d1/d2≦5.0
なる条件式を満足することを特徴とする請求項1又は2に記載の光学素子。
【請求項9】
前記第1の方向における長さは、前記第2の方向における長さよりも長いことを特徴とする請求項1又は2に記載の光学素子。
【請求項10】
前記第1の側面部は、前記第1の凸部の前記第2の方向から見たときの断面積が前記外面から前記第1の基準面に向かうにつれて小さくなるように傾斜することを特徴とする請求項1又は2に記載の光学素子。
(【請求項11】以降は省略されています)
発明の詳細な説明
【技術分野】
【0001】
本発明は、光学素子に関し、特にレーザービームプリンタ(LBP)やデジタル複写機、マルチファンクションプリンタ(MFP)等の画像形成装置に搭載される光走査装置に好適な光学素子に関する。
続きを表示(約 1,400 文字)
【背景技術】
【0002】
従来、レーザービームプリンタ等の画像形成装置に搭載された光走査装置では、結像光学素子(結像レンズ)として樹脂材料で製造されたプラスチックレンズが用いられている。特許文献1には、装置内での位置を決めるための位置決め部が両端に設けられたプラスチックレンズが開示されている。
【先行技術文献】
【特許文献】
【0003】
特開2016-95469号公報
【発明の概要】
【発明が解決しようとする課題】
【0004】
射出成形によりプラスチックレンズを製造する場合、離型の際にプラスチックレンズが長手方向へ膨張(収縮)変形することが知られている。特許文献1では、凸形状の位置決め部は、離型の際に長手方向へ移動しながら型から抜ける状態になるため、金型との干渉により変形し、位置決め精度が劣化してしまう。成形品との干渉を回避するように型を構成した場合、型が複雑化したり、大型化したりしてしまう。
【0005】
本発明は、良好な位置決め精度を得ることが可能な光学素子を提供することを目的とする。
【課題を解決するための手段】
【0006】
本発明の一側面としての光学素子は、第1の方向の第1の端部に設けられたゲート部と、非有効領域における外面に設けられ、第1の方向に垂直な第2の方向へ突出した第1の凸部とを有する光学素子であって、第1の凸部は、第2の方向における光学素子の位置決めを行うための第1の基準面と、第1の基準面と外面とを接続する第1の側面部とを備え、第1の方向と第2の方向とに垂直な第3の方向から見たとき、第1の側面部は第1の方向において第1の基準面の両側に配置され、ゲート部に近い側の第1の側面部の第1の方向における幅とゲート部から遠い側の第1の側面部の第1の方向における幅とが互いに異なることを特徴とする。
【発明の効果】
【0007】
本発明によれば、良好な位置決め精度を得ることが可能な光学素子を提供することができる。
【図面の簡単な説明】
【0008】
本発明の実施形態に係る光走査装置の主走査断面を示す図である。
光走査装置の副走査方向の断面を示す図である。
結像レンズの斜視図である。
凸部の断面図である。
凸部の形状の説明図である。
カラー画像形成装置の副走査断面図である。
結像レンズの離型時に発生する位置決め部の成形不良のメカニズムを示す模式図である(従来例)。
【発明を実施するための形態】
【0009】
以下、本発明の実施例について、図面を参照しながら詳細に説明する。各図において、同一の部材については同一の参照番号を付し、重複する説明は省略する。
【0010】
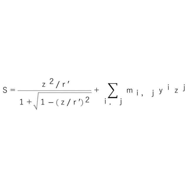
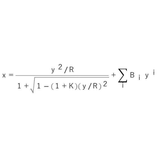
以下の説明において、主走査方向(y方向)とは、偏向器の回転軸(又は揺動軸)及び光学系の光軸方向(x方向)に垂直な方向(回転多面鏡で光束が反射偏向される方向)である。副走査方向(z方向)とは、偏向器の回転軸(又は揺動軸)と平行な方向である。また、主走査断面とは、副走査方向に垂直な断面である。また、副走査断面とは、主走査方向に垂直な断面である。
(【0011】以降は省略されています)
この特許をJ-PlatPat(特許庁公式サイト)で参照する
関連特許
キヤノン株式会社
容器
21日前
キヤノン株式会社
容器
27日前
キヤノン株式会社
トナー
1か月前
キヤノン株式会社
トナー
1か月前
キヤノン株式会社
トナー
1か月前
キヤノン株式会社
トナー
1か月前
キヤノン株式会社
トナー
1か月前
キヤノン株式会社
トナー
13日前
キヤノン株式会社
定着装置
今日
キヤノン株式会社
電子機器
1か月前
キヤノン株式会社
撮像装置
今日
キヤノン株式会社
撮像装置
今日
キヤノン株式会社
撮像装置
1か月前
キヤノン株式会社
撮像装置
27日前
キヤノン株式会社
撮像装置
27日前
キヤノン株式会社
撮像装置
14日前
キヤノン株式会社
表示装置
21日前
キヤノン株式会社
撮像装置
27日前
キヤノン株式会社
定着装置
今日
キヤノン株式会社
測距装置
15日前
キヤノン株式会社
撮影装置
1か月前
キヤノン株式会社
記録装置
1か月前
キヤノン株式会社
測距装置
1か月前
キヤノン株式会社
定着装置
6日前
キヤノン株式会社
撮像装置
21日前
キヤノン株式会社
記録装置
1か月前
キヤノン株式会社
定着装置
1か月前
キヤノン株式会社
記録装置
6日前
キヤノン株式会社
雲台装置
13日前
キヤノン株式会社
定着装置
6日前
キヤノン株式会社
撮像装置
13日前
キヤノン株式会社
定着装置
6日前
キヤノン株式会社
現像容器
1か月前
キヤノン株式会社
記録装置
27日前
キヤノン株式会社
記録装置
13日前
キヤノン株式会社
現像装置
1か月前
続きを見る
他の特許を見る