TOP
|
特許
|
意匠
|
商標
特許ウォッチ
Twitter
他の特許を見る
10個以上の画像は省略されています。
公開番号
2025169084
公報種別
公開特許公報(A)
公開日
2025-11-12
出願番号
2024074077
出願日
2024-04-30
発明の名称
硬化性樹脂、硬化性樹脂組成物、硬化物、プリプレグ、回路基板、ビルドアップフィルム、半導体封止材及び半導体装置
出願人
DIC株式会社
代理人
個人
,
個人
,
個人
主分類
C08F
290/14 20060101AFI20251105BHJP(有機高分子化合物;その製造または化学的加工;それに基づく組成物)
要約
【課題】低誘電特性(低誘電率及び低誘電正接)、吸湿後の良好な誘電特性、銅箔への高密着性及び高耐熱性を同時に満たす硬化物をもたらす硬化性樹脂組成物を提供する。
【解決手段】式(1)で表される構造単位と、式(2)で表される構造単位及び式(3)で表される構造単位の少なくとも一方と、末端(メタ)アクリロイル基と、を含有する硬化性樹脂。
【選択図】図1
特許請求の範囲
【請求項1】
下記式(1)で表される構造単位と、
下記式(2)で表される構造単位及び下記式(3)で表される構造単位の少なくとも一方と、
末端(メタ)アクリロイル基と、
を含有する硬化性樹脂。
TIFF
2025169084000053.tif
41
170
(式(1)中、
Raは、それぞれ独立に炭素原子数1~12のアルキル基、アリール基、アラルキル基又はシクロアルキル基であり、kは、それぞれ独立に0~4の整数であり、
Rbは、それぞれ独立に炭素原子数1~12のアルキル基、アリール基、アラルキル基又はシクロアルキル基であり、l
1
は、独立に0~4の整数であり、l
2
は、それぞれ独立に0~3の整数であり、
nは、平均繰り返し単位数であって、0.5~20の数値であり、
mは、それぞれ独立に0~2の整数であり、
*は、結合手である。)
TIFF
2025169084000054.tif
39
157
(式(2)中、*は、結合手である。)
TIFF
2025169084000055.tif
40
157
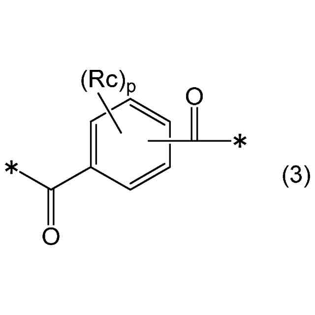
(式(3)中、
Rcは、それぞれ独立に炭素原子数1~12のアルキル基、アリール基、アラルキル基又はシクロアルキル基であり、pは、0~4の整数であり、
*は、結合手である。)
続きを表示(約 2,600 文字)
【請求項2】
さらに、下記式(4)で表される構造単位及び下記式(5)で表される構造単位の少なくとも一方を含む、請求項1に記載の硬化性樹脂。
TIFF
2025169084000056.tif
30
157
(式(4)中、
Rdは、それぞれ独立に炭素原子数1~12のアルキル基、アリール基、アラルキル基又はシクロアルキル基であり、qが2以上の場合、隣接する2個のRdは、一緒になって環を形成していてもよく、qは、0~5の整数であり、
*は、結合手である。)
TIFF
2025169084000057.tif
41
157
(式(5)中、
Reは、単結合、-O-、-S-、-S(=O)-、-S(=O)
2
-、-C(=O)-又は置換基を有していてもよい炭化水素基であり、
Ar
1
は、それぞれ独立に
TIFF
2025169084000058.tif
32
158
又は
TIFF
2025169084000059.tif
26
158
であり、
Rfは、それぞれ独立に炭素原子数1~12のアルキル基、アリール基、アラルキル基又はシクロアルキル基であり、rは0~4の整数であり、
Rgは、それぞれ独立に炭素原子数1~12のアルキル基、アリール基、アラルキル基又はシクロアルキル基であり、sは0~6の整数であり、
Ar
2
は、それぞれ独立に
TIFF
2025169084000060.tif
35
158
又は
TIFF
2025169084000061.tif
25
158
であり、
Rhは、それぞれ独立に炭素原子数1~12のアルキル基、アリール基、アラルキル基又はシクロアルキル基であり、tは0~3の整数であり、
Riは、それぞれ独立に炭素原子数1~12のアルキル基、アリール基、アラルキル基又はシクロアルキル基であり、uは0~5の整数であり、
n
5
は、平均繰り返し単位数であって、0~20の数値であり、
*は、結合手である。)
【請求項3】
前記式(1)で表される構造単位が、下記式(1-1)で示される構造単位である、請求項1に記載の硬化性樹脂。
TIFF
2025169084000062.tif
40
158
(式(1-1)中、
R
1
及びR
2
は、それぞれ独立に水素原子、炭素原子数1~12のアルキル基、アリール基、アラルキル基又はシクロアルキル基であり、
n
1
は、平均繰り返し単位数であって、0.5~20の数値であり、
*は、結合手である。)
【請求項4】
式(6)で表される構造単位を有する、請求項1に記載の硬化性樹脂。
TIFF
2025169084000063.tif
42
158
(式(6)中、
R
3
は、それぞれ独立に前記式(1-1)で表される構造単位又は前記式(5)で表される構造単位であり、
R
5
は、それぞれ独立に下記式(1-2)で表される構造単位、前記式(4)で表される構造単位、下記式(5-2)で表される構造単位又はYであり、
ここで、Yは(メタ)アクリロイル基であり、
n
6
は、平均繰り返し単位数であって、0~5の数値であり、
*は、結合手であり、
ただし、前記硬化性樹脂は、前記式(1-1)で表される構造単位及び下記式(1-2)で表される構造単位の少なくとも一方を有し、
少なくとも1個のYが前記硬化性樹脂に含まれることとする。)
TIFF
2025169084000064.tif
37
167
(式(1-2)中、
R
1
、R
2
、n
1
及びYは、上記と同じであり、
*は、結合手である。)
TIFF
2025169084000065.tif
41
167
(式(5-2)中、
Re、Ar
1
、Ar
2
、Y及びn
5
は、上記と同じであり、
*は、結合手である。)
【請求項5】
式(7)で表される構造単位を有する、請求項1に記載の硬化性樹脂。
TIFF
2025169084000066.tif
45
167
(式(7)中、
R
7
は、前記式(1-1)で表される構造単位又は前記式(5)で表される構造単位であり、
R
8
は、前記式(1-2)で表される構造単位、前記式(4)で表される構造単位、前記式(5-2)で表される構造単位又はYであり、
n
7
は、平均繰り返し単位数であって、0~5の数値であり、
ただし、前記硬化性樹脂は、前記式(1-1)で表される構造単位及び前記式(1-2)で表される構造単位の少なくとも一方を有し、
少なくとも1個のYが前記硬化性樹脂に含まれることとする。)
【請求項6】
請求項1~5のいずれか一項に記載の硬化性樹脂を含有する、硬化性樹脂組成物。
【請求項7】
請求項6に記載の硬化性樹脂組成物の硬化物。
【請求項8】
補強基材及び前記補強基材に含浸した請求項6に記載の硬化性組成物の半硬化物を有するプリプレグ。
【請求項9】
請求項8に記載のプリプレグ及び銅箔の積層体である回路基板。
【請求項10】
請求項6に記載の硬化性組成物を含有するビルドアップフィルム。
(【請求項11】以降は省略されています)
発明の詳細な説明
【技術分野】
【0001】
本発明は、硬化性樹脂、この硬化性樹脂を含有する硬化性樹脂組成物及びこの硬化性樹脂組成物より得られる硬化物に関する。さらに、本発明は、プリプレグ、回路基板、ビルドアップフィルム、半導体封止材及び半導体装置に関する。
続きを表示(約 3,200 文字)
【背景技術】
【0002】
近年の情報通信量の増加に伴い、高周波数帯域での情報通信が盛んに行われるようになり、より優れた電気特性、中でも高周波数帯域での伝送損失を低減させるため、低誘電特性(低誘電率及び低誘電正接)を有し、かつ吸湿後の誘電特性に優れ、低粗度銅箔に対し高密着性を有する電気絶縁材料が求められてきている。
【0003】
さらに、それらの電気絶縁材料が使われているプリント基板や電子部品は、実装時に高温のハンダリフローに曝されるため、耐熱性が必要であり、高いガラス転移温度である材料が求められている。特に最近は、環境問題の観点から、融点の高い鉛フリーのハンダが使われるため、耐熱性に対する要求は厳しくなっている。
【0004】
これらの要求に対し、種々のビニルベンジルエーテル系の熱硬化性樹脂が提案され、樹脂の構造にインダン骨格を導入して改善する試みが知られている(特許文献1)。インダン骨格を導入した樹脂については、末端を(メタ)アクリロイル基とすることにより、耐熱性及び低誘電特性の向上を図る技術も提案されている(特許文献2)。
一方、末端に(メタ)アクリロイル基を有する熱硬化性樹脂としては、Sabic社よりNoryl(商標)SA9000樹脂が市販されている。
【0005】
しかしながら、これらの熱硬化性樹脂は、低誘電特性(低誘電率及び低誘電正接)、吸湿後の良好な誘電特性、銅箔への高密着性及び高耐熱性を同時に満たす硬化物をもたらすものとはいえず、さらなる特性改善が望まれていた。
【先行技術文献】
【特許文献】
【0006】
特開平6-172242号公報
国際公開2021/205806号
【発明の概要】
【発明が解決しようとする課題】
【0007】
従って、本発明が解決しようとする課題は、低誘電特性(低誘電率及び低誘電正接)、吸湿後の良好な誘電特性、銅箔への高密着性(高ピール強度)及び高耐熱性を同時に満たす硬化物をもたらす硬化性樹脂を提供することにある。
【課題を解決するための手段】
【0008】
そこで、本発明者らは、上記課題を解決するため、鋭意検討した結果、インダン骨格を有する構造単位と特定の構造単位とをあわせもつ硬化性樹脂が、低誘電特性(低誘電率及び低誘電正接)、吸湿後の良好な誘電特性、銅箔への高密着性(高ピール強度)及び高耐熱性を同時に満たす硬化物をもたらすことを見出し、本発明を完成するに至った。
【0009】
[1]下記式(1)で表される構造単位と、
下記式(2)で表される構造単位及び下記式(3)で表される構造単位の少なくとも一方と、
末端(メタ)アクリロイル基と、
を含有する硬化性樹脂。
TIFF
2025169084000002.tif
39
170
(式(1)中、
Raは、それぞれ独立に炭素原子数1~12のアルキル基、アリール基、アラルキル基又はシクロアルキル基であり、kは、それぞれ独立に0~4の整数であり、
Rbは、それぞれ独立に炭素原子数1~12のアルキル基、アリール基、アラルキル基又はシクロアルキル基であり、l
1
は、独立に0~4の整数であり、l
2
は、それぞれ独立に0~3の整数であり、
nは、平均繰り返し単位数であって、0.5~20の数値であり、
mは、それぞれ独立に0~2の整数であり、
*は、結合手である。)
TIFF
2025169084000003.tif
38
156
(式(2)中、*は、結合手である。)
TIFF
2025169084000004.tif
39
156
(式(3)中、
Rcは、それぞれ独立に炭素原子数1~12のアルキル基、アリール基、アラルキル基又はシクロアルキル基であり、pは、0~4の整数であり、
*は、結合手である。)
[2]さらに、下記式(4)で表される構造単位及び下記式(5)で表される構造単位の少なくとも一方を含む、[1]の硬化性樹脂。
TIFF
2025169084000005.tif
30
156
(式(4)中、
Rdは、それぞれ独立に炭素原子数1~12のアルキル基、アリール基、アラルキル基又はシクロアルキル基であり、qが2以上の場合、隣接する2個のRdは、一緒になって環を形成していてもよく、qは、0~5の整数であり、
*は、結合手である。)
TIFF
2025169084000006.tif
42
159
(式(5)中、
Reは、単結合、-O-、-S-、-S(=O)-、-S(=O)
2
-、-C(=O)-又は置換基を有していてもよい炭化水素基であり、
Ar
1
は、それぞれ独立に
TIFF
2025169084000007.tif
30
155
又は
TIFF
2025169084000008.tif
26
155
であり、
Rfは、それぞれ独立に炭素原子数1~12のアルキル基、アリール基、アラルキル基又はシクロアルキル基であり、rは0~4の整数であり、
Rgは、それぞれ独立に炭素原子数1~12のアルキル基、アリール基、アラルキル基又はシクロアルキル基であり、sは0~6の整数であり、
Ar
2
は、それぞれ独立に
TIFF
2025169084000009.tif
35
155
又は
TIFF
2025169084000010.tif
23
155
であり、
Rhは、それぞれ独立に炭素原子数1~12のアルキル基、アリール基、アラルキル基又はシクロアルキル基であり、tは0~3の整数であり、
Riは、それぞれ独立に炭素原子数1~12のアルキル基、アリール基、アラルキル基又はシクロアルキル基であり、uは0~5の整数であり、
n
5
は、平均繰り返し単位数であって、0~20の数値であり、
*は、結合手である。)
[3]前記式(1)で表される構造単位が、下記式(1-1)で示される構造単位である、[1]又は[2]の硬化性樹脂。
TIFF
2025169084000011.tif
39
155
(式(1-1)中、
R
1
及びR
2
は、それぞれ独立に水素原子、炭素原子数1~12のアルキル基、アリール基、アラルキル基又はシクロアルキル基であり、
n
1
は、平均繰り返し単位数であって、0.5~20の数値であり、
【発明の効果】
【0010】
本発明の硬化性樹脂は、低誘電特性(低誘電率及び低誘電正接)、吸湿後の良好な誘電特性、銅箔への高密着性(高ピール強度)及び高耐熱性を同時に満たす硬化物をもたらすことができるため、有用である。
【図面の簡単な説明】
(【0011】以降は省略されています)
この特許をJ-PlatPat(特許庁公式サイト)で参照する
関連特許
DIC株式会社
吸音材及び吸音部品
24日前
DIC株式会社
ネガ型感光性樹脂組成物
13日前
DIC株式会社
アンカー剤、印刷物、包材
1か月前
DIC株式会社
化合物及びこれを含む組成物
2か月前
DIC株式会社
化合物及びこれを含む組成物
2か月前
DIC株式会社
細胞賦活剤及び細胞賦活用組成物
1か月前
DIC株式会社
色補正システム及び情報処理装置
1か月前
DIC株式会社
ポリアスパラギン酸誘導体の製造方法
13日前
DIC株式会社
皮膚機能改善剤及び皮膚機能改善用組成物
1か月前
DIC株式会社
負極活物質及びその製造方法、並びに二次電池
1か月前
DIC株式会社
水性ウレタン樹脂組成物、コーティング剤及び物品
29日前
大日精化工業株式会社
熱伝導性樹脂組成物及び成形体
28日前
DIC株式会社
活性エネルギー線硬化性組成物、硬化塗膜及びフィルム
21日前
DIC株式会社
樹脂物性値を予測する方法、情報処理装置、及びプログラム
1か月前
DIC株式会社
樹脂粒子、樹脂粒子の製造方法、インク及びインクの製造方法
1か月前
DIC株式会社
分離装置、炭化組成物製造装置、及び炭化組成物製造システム
29日前
DIC株式会社
キナクリドン化合物
1か月前
DIC株式会社
ポジ型感光性樹脂組成物、レジスト膜、レジスト下層膜及びレジスト永久膜
28日前
DIC株式会社
ポジ型感光性樹脂組成物、レジスト膜、レジスト下層膜及びレジスト永久膜
27日前
DIC株式会社
防藻剤、防藻性コーティング組成物、積層体、建造物、防藻性樹脂組成物および成形体
2か月前
DIC株式会社
負極活物質、負極活物質前駆体及びその製造方法、並びにかかる負極活物質を有する二次電池
13日前
DIC株式会社
フェニルホスホン酸亜鉛錯体、樹脂組成物、及び湿気硬化性ホットメルトウレタン樹脂接着剤
1か月前
DIC株式会社
重合性不飽和基を有する樹脂の製造方法、重合性不飽和基を有する樹脂、硬化性樹脂組成物、硬化物
2か月前
DIC株式会社
セルロースエステル樹脂用改質剤、セルロースエステル樹脂組成物、成形体、光学フィルムおよび表示装置
13日前
DIC株式会社
水生生物付着抑制用防汚剤、水生生物付着抑制用防汚剤組成物、水生生物付着抑制用防汚剤硬化物及び防汚塗膜
1か月前
DIC株式会社
硬化性樹脂、硬化性樹脂組成物、硬化物、プリプレグ、回路基板、ビルドアップフィルム、半導体封止材及び半導体装置
8日前
DIC株式会社
アントラセン樹脂、硬化性樹脂組成物、硬化物、プリプレグ、回路基板、ビルドアップフィルム、半導体封止材および半導体装置
1か月前
DIC株式会社
樹脂組成物微粒子の製造方法、前記方法で得られる樹脂組成物微粒子、および無機微粒子の製造方法、前記方法で得られる無機微粒子
29日前
DIC株式会社
金属錯体及びその製造方法、該金属錯体を含有する負極活物質前駆体及びその製造方法、負極活物質、並びに該負極活物質を有する二次電池
13日前
DIC株式会社
金属錯体を含有する負極活物質前駆体及びその製造方法、負極活物質、該負極活物質を有する二次電池、並びに該金属錯体を含有する組成物
13日前
DIC株式会社
液晶組成物並びにこれを用いた液晶表示素子、センサ、液晶レンズ、光通信機器及びアンテナ
2か月前
DIC株式会社
低含水アルカリ金属硫化物の製造に用いる反応装置、低含水アルカリ金属硫化物の製造方法及び当該低含水アルカリ金属硫化物を用いたポリアリーレンスルフィドの製造方法
1か月前
DIC株式会社
美肌用化粧料、抗酸化遺伝子発現亢進剤、細胞再生促進遺伝子発現亢進剤、表皮バリア機能遺伝子発現亢進剤、細胞外マトリックス分解遺伝子発現抑制剤、色素沈着遺伝子発現抑制剤、創傷治癒促進遺伝子発現亢進剤及び保湿促進遺伝子発現亢進剤
1か月前
株式会社カネカ
断熱材
13日前
東ソー株式会社
ペレット
1か月前
株式会社カネカ
硬化性組成物
4か月前
続きを見る
他の特許を見る