TOP
|
特許
|
意匠
|
商標
特許ウォッチ
Twitter
他の特許を見る
10個以上の画像は省略されています。
公開番号
2025168348
公報種別
公開特許公報(A)
公開日
2025-11-07
出願番号
2025123908,2022555175
出願日
2025-07-24,2021-03-05
発明の名称
ウェハ中の検査ボリュームの断面画像化の方法
出願人
カール・ツァイス・エスエムティー・ゲーエムベーハー
代理人
個人
,
個人
,
個人
,
個人
,
個人
,
個人
,
個人
,
個人
,
個人
主分類
H01L
21/66 20060101AFI20251030BHJP(基本的電気素子)
要約
【課題】サンプルを取り出すことなくウェハ中の検査ボリュームの3Dボリューム像生成に適用可能なスライス・イメージ法を提供すること。深さ方向に高い分解能でサンプルを取り出すことなくウェハ中のボリュームの3Dボリューム像生成に適用可能なスライス・イメージ法を提供すること。ウェハからサンプルを取り出すことなく、ウェハの検査ボリューム中の欠陥を検査可能なウェハ欠陥検査装置および方法を提供すること。ウェハを破壊することなく、深部構造の画像化を含む3Dボリューム像生成のためのウェハ検査ツールおよび方法を提供すること。ウェハからサンプルを取り出すことなく、3Dボリューム像生成によって、単一層中のHAR構造を通る断面を生成するためのウェハ検査ツールおよび方法を提供すること。3Dボリューム像生成により、ウェハの内側で深度が大きく延びた検査ボリュームを検査するためのデュアルビーム装置および方法を提供すること。高スループットでウェハ中に作製された半導体装置における3Dボリューム検査を提供すること。
【解決手段】本発明は、半導体ウェハの表面の下側で1μmを超えて深度が大きく延びた検査ボリュームの断面化によるデュアルビーム装置および3次元回路パターン検査技術に関し、より詳細には、ウェハからサンプルを取り出すことなく、ウェハの内側の深い検査ボリュームの3Dボリューム像データを生成するための方法、コンピュータプログラム製品、および装置に関する。本発明はさらに、3次元回路パターン検査用のデュアルビーム装置を利用した3Dボリューム像生成、断面像位置合わせ方法に関する。
【選択図】なし
特許請求の範囲
【請求項1】
一連の断面像スライスから3Dボリューム像を形成する方法であって、
少なくとも検査ボリュームの第1の断面像スライスおよび第2の断面像スライスを含む一連のN枚の断面像スライスを取得するステップを含み、前記第1および第2の断面像スライスを取得することは、FIBカラムによるほぼ角度GFでの前記検査ボリュームに対する切削によって、少なくとも前記検査ボリューム中の第1および第2の断面表面をその後露出させることと、前記少なくとも第1および第2の断面像スライスを取得するために、荷電粒子画像化装置によって、前記少なくとも第1および第2の断面表面を画像化することと、を含み、前記第1の断面像表面が、前記第2の断面表面を形成した後に前記第1の断面表面の平行表面セグメントが残るように、前記第2の断面表面よりも前記FIBビームと垂直な方向に長く延びた状態で切削される、
方法。
続きを表示(約 1,900 文字)
【請求項2】
前記第1および第2の断面像スライスの第1の横方向相互位置合わせのため、前記第1の断面表面の前記平行表面セグメント上に少なくとも1つの位置合わせフィーチャを形成するステップをさらに含む、請求項1に記載の方法。
【請求項3】
前記第1および第2の断面像スライスにおいて、少なくとも1つの第1の断面像フィーチャを決定するステップと、
前記第1および第2の断面像スライスの所定の相互位置精度を実現するために、前記第1の横方向相互位置合わせに基づいて、前記第1および第2の断面像スライスの第2の横方向相互位置合わせを実行するステップと、
をさらに含む、請求項2に記載の方法。
【請求項4】
前記第1の断面像フィーチャは、ビア、HAR構造、またはHARチャネルの断面である、請求項3に記載の方法。
【請求項5】
前記第1および第2の断面像スライスにおいて、少なくとも1つの第2の断面像フィーチャを決定するステップと、
前記第1の断面像スライスにおける前記少なくとも1つの第2の断面像フィーチャの横方向位置から、前記第1の断面像スライスにおける前記少なくとも1つの第1の断面像フィーチャの深度を決定するステップと、
前記第2の断面像スライスにおける前記少なくとも1つの第2の断面像フィーチャの横方向位置から、前記第2の断面像スライスにおける前記少なくとも1つの第1の断面像フィーチャの深度を決定するステップと、
5nm未満、3nm未満、あるいは2nm未満の前記少なくとも第1および第2の断面像スライスの相互位置精度を実現するために、前記第2の横方向相互位置合わせにおいて、前記深度を考慮するステップと、
をさらに含む、請求項3または4に記載の方法。
【請求項6】
前記少なくとも1つの第2の断面像フィーチャが、絶縁線または絶縁層、金属線または金属層、半導体線または半導体層のうちの1つの断面により形成される、請求項5に記載の方法。
【請求項7】
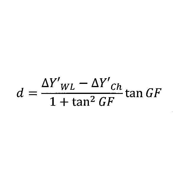
前記第1の断面像スライスと前記第2の断面像スライスとの間の前記第1の断面像フィーチャの第1の変位ΔY’
Ch
の演算と、
前記第1の断面像スライスと前記第2の断面像スライスとの間の前記第2の断面像フィーチャの第2の変位ΔY’
WL
の演算と、
前記第1および第2の断面像スライス間の距離dの決定と、
前記第1および第2の断面像スライス間の横方向相互変位ベクトルΔY’の決定と、
をさらに含む、請求項5または6に記載の方法。
【請求項8】
前記傾斜角GFは、25°~45°または30°~36°に調整される、請求項1~7のいずれか1項に記載の方法。
【請求項9】
ウェハ表面の下側の検査ボリューム内から取得された複数の断面像スライスの正確な位置合わせを構成する方法であって、
ウェハ表面に対して傾斜角GFで配置されたFIBカラムにより一連の断面表面を連続的に切削し、一連の断面像スライスを取得するために前記ウェハ表面の法線に対して角度GEで配置された荷電粒子画像化カラムにより断面表面それぞれを画像化することによって形成された一連の断面像表面から、第1および第2の断面像スライスを含む一連の断面像スライスを取得するステップと、
前記第1および第2の断面像スライスにおける断面像フィーチャのマッピングを取得するために、前記第1および第2の断面像スライスの第1の粗い位置合わせを実行するステップと、
5nm未満、3nm未満、あるいは2nm未満の相互位置精度を実現するために、前記第1および第2の断面像スライスの第2の細かい位置合わせを実行するステップと、
を含む、方法。
【請求項10】
前記第2の断面表面を形成した後に前記第1の断面表面の平行表面セグメントが残るように、前記第2の断面表面よりも前記FIBビームと垂直な方向に長く延びた状態で切削することにより、前記第1の断面表面を形成するステップと、
前記第1および第2の断面像スライスの第1の横方向相互位置合わせのため、前記第1の断面表面の前記平行表面セグメント上に少なくとも1つの位置合わせフィーチャを形成するステップと、
をさらに含む、請求項9に記載の方法。
(【請求項11】以降は省略されています)
発明の詳細な説明
【技術分野】
【0001】
本発明は、集積回路の断面化による3次元回路パターン検査・測定技術に関する。より詳細に、本発明は、集積回路を含む半導体ウェハの測定部位における検査ボリュームの断面化による3次元回路パターン検査技術に関し、さらに詳細には、半導体ウェハの測定部位における検査ボリュームの3Dボリューム像を得るための方法、コンピュータプログラム製品、および対応する半導体検査装置に関する。この方法では、ウェハの検査ボリュームに対して傾斜角を付けて断面表面を切削し、その傾斜断面表面を荷電粒子画像化顕微鏡で画像化する。この方法、コンピュータプログラム製品、および装置は、半導体ウェハ内の集積回路の定量的計測、欠陥検出、プロセスモニタリング、欠陥精査、および検査に利用可能である。
続きを表示(約 4,000 文字)
【背景技術】
【0002】
半導体構造は、人工構造物の中で最も微細な構造であり、欠陥はごくわずかである。このように稀な欠陥は、欠陥検出、欠陥精査、または定量的計測装置が予期するサインである。作製された半導体構造は、予備知識に基づく。半導体構造は、基板と平行な一連の層から製造される。たとえば、ロジック型サンプルにおいては、金属線が金属層またはHAR(高アスペクト比)構造において平行に延び、金属ビアが金属層と垂直に延びている。異なる層における金属線間の角度は、0°または90°である。一方、VNAND型構造の場合は、それぞれの断面が平均的に円形であることが知られている。
【0003】
集積回路の作製においては、フィーチャサイズが小さくなっている。現在の最小フィーチャサイズすなわち限界寸法は、10nmを下回り(たとえば、7nmまたは5nm)、近い将来には3nmを下回ることが予想される。したがって、パターンのエッジ形状を測定し、フィーチャの寸法またはラインエッジの粗さを高精度に決定することが困難となっている。パターンのエッジ形状またはラインの粗さは、複数の影響を受ける。一般的に、ラインまたはパターンのエッジ形状は、含まれる材料自体の特性、リソグラフィ露光、またはエッチング、堆積、もしくは注入等のその他任意の関連するプロセスステップによって決まり得る。荷電粒子システムの測定分解能は通常、サンプル上の個々の像点もしくは画素ごとの滞留時間のサンプリングラスターならびに荷電粒子ビーム直径の制限を受ける。サンプリングラスター分解能は、画像化システム内で設定可能であるとともに、サンプル上の荷電粒子ビーム直径に適応可能である。通常のラスター分解能は2nm以下であるが、ラスター分解能の限界値は、物理的な制限がなければ下げることができる。荷電粒子ビーム直径は、荷電粒子ビームの動作条件およびレンズに応じて、寸法に限界がある。ビーム分解能は、ビーム直径の約半分に制限される。分解能としては、2nm未満が可能であり、たとえば1nm未満さえも可能である。
【0004】
半導体集積回路のフィーチャサイズが小さくなり、荷電粒子画像化システムの分解能に対する要求が高くなると、ウェハ中の半導体集積回路の検査および3D解析がますます困難になる。半導体ウェハは、直径が300mmで、複数の部位(いわゆるダイ)から成り、それぞれ、たとえばメモリチップまたはプロセッサチップ等の少なくとも1つの集積回路パターンを含む。半導体ウェハはおよそ1000のプロセスステップを経るが、その半導体ウェハ内には、およそ100以上の平行層(トランジスタ層、中間層、および相互接続層を含む)が形成され、メモリデバイスでは、メモリセルの3次元アレイが形成される。
【0005】
半導体サンプルからnmスケールの3次元トモグラフィデータを生成する一般的な方法として、たとえばデュアルビーム装置により構成された、いわゆるスライス・イメージ(slice and image)手法がある。このような装置においては、2つの粒子光学系がある角度で配置されている。第1の粒子光学系としては、走査型電子顕微鏡(SEM)が可能である。第2の粒子光学系としては、たとえばガリウム(Ga)イオンを用いた集束イオンビーム光学系(FIB)が可能である。ガリウムイオンの集束イオンビーム(FIB)の使用により、半導体サンプルのエッジの層が1枚ずつ切り落とされ、走査型電子顕微鏡(SEM)によって各断面が画像化される。2つの粒子光学系は、垂直に配向させることも可能であるし、45°~90°の角度で配向させることも可能である。図1は、スライス・イメージ手法の模式図であり、FIB光学カラム50を使用し、z方向の集束イオンビーム51によるy-z平面での走査によって、半導体サンプル10を通る断面から薄層が除去されることにより、新たな前面52が断面表面52として現れる。次のステップでは、たとえば断面表面52の前面の走査画像化にSEM40が用いられる。本例においては、SEM光軸42がx方向と平行に配向しており、y-z平面内の走査画像化線46に沿った電子ビーム44の走査によって、像が生成される。断面表面52のラスター走査を実行すると、断面像スライス100.1が形成される。たとえば前面となる断面表面53および54を通したこのFIB切削(FIB milling)およびSEM画像化(SEM imaging)の手法の繰り返しにより、距離dの断面像スライス100.2および100.3が得られる。最終的には、サンプルを通るさまざまな深度の一連の2D断面像1000が得られる。後続の2枚の像スライス間の距離dとしては、1nm~数十nm(たとえば、30nm)が可能である。これら一連の2D断面像1000から、半導体集積構造の3D像を再構成可能である。
【0006】
図1は、既知の技術により半導体ウェハから取り出されたブロック状半導体集積サンプル10の例におけるスライス・イメージ手法を示している。ブロックサンプル上には、基準が形成されている。いわゆる基準の利用により、各スライスの横方向位置のほか、層間の距離を導出するのが一般的な方法である。米国特許第9,633,819号は、サンプル上に露出したガイド構造(「基準」)に基づく位置合わせ方法を開示する。米国特許第7,348,556号は、一連の連続像スライスから3次元表面粗さを決定するための表面上の位置合わせマークを記載する。
【0007】
従来技術の一般的なスライス・イメージ手法は、ウェハの内側の検査ボリュームには適用できない。一般的なスライス・イメージ手法では、当該スライス・イメージ法を実行してサンプルの3Dボリューム像(3D volume image)を取得可能となるのに、半導体ウェハからサンプルを取り出す必要または抽出する必要がある。したがって、サンプルを取り出すことなくウェハ中の検査ボリュームの3Dボリューム像生成に適用可能なスライス・イメージ法を提供することが課題である。
【0008】
米国特許第7,438,556号は、デュアルビームFIB/SEMツールによってラインエッジまたは表面の粗さを決定するための方法を示している。サンプルの表面に垂直なFIB切削によって、一連の断面表面が生成される。また、およそ10nm以上のスライス距離で一連の断面が生成される。上面には、断面の横方向位置を決定するための基準が適用されている。サンプルの表面の法線に対してSEMが傾斜しており、その使用によって、一連の断面像(a sequence of cross-section images)が形成される。各断面像から、ウェハ表面と平行な方向のフィーチャの限界寸法(CD)が決定される。フィーチャのラインエッジ粗さがCDから決定され、各断面像においては、基準の参照によって、フィーチャのエッジが決定される。また、基準およびSEMの既知の角度を参照することにより、サンプルの表面と垂直なエッジ位置が決定される。したがって、フィーチャの深度の正確な決定は不可能である。このため、提案の方法は、サンプルの表面と平行に延びた半導体フィーチャの1D測定に限られる。特に、提案の方法は、ウェハ表面の下側の半導体フィーチャの深度を正確に決定するための手段を提供しない。
【0009】
メモリデバイスのHAR構造等、繰り返しの深い半導体フィーチャの解析のため、切削用FIBビームの傾斜角が小さな単一ウェッジカット形状でのスライシング・イメージングが提案されている。たとえば、米国特許第9,466,537号は、モールド層を有する半導体装置の検査方法を示している。ある傾斜角でのモールド層に対する切削(milling)によって、モールド層を通る傾斜断面表面が形成される。所望の傾斜角を実現するため、切削ステップと画像化ステップとの間で、調査対象サンプルを保持するステージが傾けられる。このようにして得られた切削表面または断面表面の像が解析され、たとえば、基準として機能する選択半導体フィーチャに対して、半導体フィーチャの中心位置が導出される。この解析から、作製プロセスのプロセス偏差を導出可能であることが主張されている。ただし、関心フィーチャを基準として利用する単一切削面または断面の解析では精度に限界があり、作製プロセスのモニタリングに必要な情報を提供できないことが分かってきた。さらに、切削と画像化との間でステージを傾ける必要があるものの、高スループットの検査タスクには非現実的である。
【0010】
米国特許第10,026,590号は、サンプルに対して視斜角で単一の断面表面を切削することにより関心フィーチャを検査することと、さまざまな深度のさまざまな関心フィーチャの断面から仮想フィーチャを構成することと、を行う類似の方法を開示する。深度は、トレンチのエッジまでのフィーチャ断面の横方向距離によって決まる。仮想フィーチャの深度分解能は、付加的な切削動作によって向上可能である。切削動作をモニタリングするため、FIBに垂直な位置合わせ基準が提案されている。ただし、視斜角が非常に小さな切削は不可能であるか、または、切削動作が正しくない結果となってしまい、数少ない断面からの仮想フィーチャの導出には精度に限界があって、作製プロセスのモニタリングに必要な情報を提供できないことが分かってきた。また、トレンチまたは切削のエッジからの深度の決定は不正確であり、FIBビームに垂直な表面における基準の適用は、困難で時間の掛かるプロセスである。
(【0011】以降は省略されています)
この特許をJ-PlatPat(特許庁公式サイト)で参照する
関連特許
APB株式会社
蓄電セル
17日前
東ソー株式会社
絶縁電線
19日前
個人
フレキシブル電気化学素子
1か月前
株式会社ユーシン
操作装置
1か月前
ローム株式会社
半導体装置
18日前
マクセル株式会社
電源装置
11日前
ローム株式会社
半導体装置
1か月前
株式会社東芝
端子台
11日前
ローム株式会社
半導体装置
1か月前
日新イオン機器株式会社
イオン源
27日前
太陽誘電株式会社
コイル部品
1か月前
株式会社GSユアサ
蓄電設備
1か月前
株式会社GSユアサ
蓄電設備
1か月前
株式会社GSユアサ
蓄電装置
4日前
株式会社GSユアサ
蓄電装置
12日前
株式会社GSユアサ
蓄電装置
12日前
オムロン株式会社
電磁継電器
1か月前
株式会社ホロン
冷陰極電子源
25日前
トヨタ自動車株式会社
蓄電装置
1か月前
サクサ株式会社
電池の固定構造
1か月前
トヨタ自動車株式会社
バッテリ
1か月前
ノリタケ株式会社
熱伝導シート
1か月前
トヨタ自動車株式会社
蓄電装置
12日前
日本特殊陶業株式会社
保持装置
3日前
トヨタ自動車株式会社
冷却構造
19日前
トヨタ自動車株式会社
バッテリ
17日前
北道電設株式会社
配電具カバー
17日前
日新イオン機器株式会社
基板処理装置
14日前
日東電工株式会社
積層体
1か月前
TDK株式会社
電子部品
1か月前
日本特殊陶業株式会社
保持装置
20日前
日本製紙株式会社
導電性フィルム
1か月前
東レエンジニアリング株式会社
実装装置
1か月前
株式会社トクヤマ
シリコンエッチング液
25日前
トヨタ自動車株式会社
電池パック
24日前
日本製紙株式会社
導電性フィルム
1か月前
続きを見る
他の特許を見る