TOP
|
特許
|
意匠
|
商標
特許ウォッチ
Twitter
他の特許を見る
10個以上の画像は省略されています。
公開番号
2025166799
公報種別
公開特許公報(A)
公開日
2025-11-06
出願番号
2025066256
出願日
2025-04-14
発明の名称
ポリマー、それを含むレジスト組成物、及びそれを用いたパターン形成方法
出願人
三星電子株式会社
,
Samsung Electronics Co.,Ltd.
代理人
弁理士法人共生国際特許事務所
主分類
C08F
12/30 20060101AFI20251029BHJP(有機高分子化合物;その製造または化学的加工;それに基づく組成物)
要約
【課題】ポリマー、それを含むレジスト組成物、及びそれを用いたパターン形成方法を提供する。
【解決手段】下記化学式1で表される第1反復単位を20モル%以上含み、ヒドロキシ基で置換されたアリール基、及びヒドロキシ基で置換されたヘテロアリール基から選択された少なくとも1つを含む反復単位Aを含まない、ポリマー、それを含むレジスト組成物、及びそれを用いたパターン形成方法である:
<com:Image com:imageContentCategory="Drawing"> <com:ImageFormatCategory>JPEG</com:ImageFormatCategory> <com:FileName>2025166799000038.jpg</com:FileName> <com:HeightMeasure com:measureUnitCode="Mm">62</com:HeightMeasure> <com:WidthMeasure com:measureUnitCode="Mm">170</com:WidthMeasure> </com:Image> 前記化学式1において、L
11
~L
13
、a11~a13、X
11
及びR
11
~R
13
に係る説明は明細書を参照する。
【選択図】図1
特許請求の範囲
【請求項1】
下記化学式1で表される第1反復単位を20モル%以上含み、
ヒドロキシ基で置換されたアリール基、及びヒドロキシ基で置換されたヘテロアリール基から選択された少なくとも1つを含む反復単位Aを含まない、ポリマー:
JPEG
2025166799000027.jpg
90
170
前記化学式1において、
L
11
~L
13
は、それぞれ独立して、単結合;O;S;C(=O);C(=O)O;OC(=O);C(=O)NH;NHC(=O);S(=O);S(=O)
2
;S(=O)
2
O;OS(=O)
2
;あるいはヘテロ原子を任意選択により含有していてもよいC
1
-C
30
の直鎖状、分枝状または環状の二価炭化水素基であり、
a11~a13は、それぞれ独立して、1~4の整数であり、
R
11
~R
13
は、それぞれ独立して、水素;重水素;ハロゲン;シアノ基;ヒドロキシ基;アミノ基;カルボン酸基;チオール基;カルボニル基;アミド基;エステル基;スルホネート基;カーボネート基;カルバメート基;ラクトン基;スルトン基;カルボン酸無水物基;あるいはヘテロ原子を任意選択により含有していてもよいC
1
-C
30
の直鎖状、分枝状または環状の一価炭化水素基であり、
R
12
及びR
13
は任意選択により互いに結合して環を形成することができ、
*は隣接する原子との結合部位である。
続きを表示(約 5,600 文字)
【請求項2】
L
11
~L
13
は、それぞれ独立して、単結合;O;S;C(=O);C(=O)O;OC(=O);C(=O)NH;NHC(=O);S(=O);S(=O)
2
;S(=O)
2
O;OS(=O)
2
;置換もしくは非置換のC
1
-C
30
アルキレン基;置換もしくは非置換のC
3
-C
30
シクロアルキレン基;置換もしくは非置換のC
3
-C
30
ヘテロシクロアルキレン基;置換もしくは非置換のC
2
-C
30
アルケニレン基;置換もしくは非置換のC
3
-C
30
シクロアルケニレン基;置換もしくは非置換のC
3
-C
30
ヘテロシクロアルケニレン基;置換もしくは非置換のC
6
-C
30
アリーレン基;または置換もしくは非置換のC
1
-C
30
ヘテロアリーレン基である、請求項1に記載のポリマー。
【請求項3】
R
11
は、水素;重水素;ハロゲン;シアノ基;ヒドロキシ基;アミノ基;カルボン酸基;チオール基;アミド基;エステル基;及び重水素、ハロゲン、シアノ基、ヒドロキシ基、アミノ基、カルボン酸基、チオール基、アミド基、エステル基、スルホン酸エステル基、カーボネート基、カルバメート基、ラクトン基、スルトン基、カルボン酸無水物基、C
1
-C
20
アルキル基、C
1
-C
20
ハロゲン化アルキル基、C
1
-C
20
アルコキシ基、C
3
-C
20
シクロアルキル基、C
3
-C
20
シクロアルコキシ基、C
6
-C
20
アリール基、またはそれらの任意の組み合わせで置換もしくは非置換の、C
1
-C
20
アルキル基、C
3
-C
20
シクロアルキル基、及びC
6
-C
20
アリール基;から選択される、請求項1に記載のポリマー。
【請求項4】
R
12
及びR
13
は、それぞれ独立して、水素;重水素;-C(=O)R
14
;-C(R
14
)=NR
15
;-OR
14
;-NR
14
R
15
;-S(=O)R
14
;-S(=O)
2
R
14
;-S(=O)
2
OR
14
;及び重水素、ハロゲン、ヒドロキシル基、シアノ基、ニトロ基、カルボン酸基、アミノ基、エーテル基、カルボニル基、エステル基、スルホネート基、カーボネート基、カルバメート基、アミド基、ラクトン基、スルトン基、カルボン酸無水物基、C
1
-C
20
アルキル基、C
1
-C
20
ハロゲン化アルキル基、C
1
-C
20
アルコキシ基、C
1
-C
20
アルキルチオ基、C
1
-C
20
ハロゲン化アルコキシ基、C
1
-C
20
ハロゲン化アルキルチオ基、C
3
-C
20
シクロアルキル基、C
3
-C
20
シクロアルコキシ基、C
3
-C
20
シクロアルキルチオ基、C
6
-C
20
アリール基、C
6
-C
20
アリールオキシ基、C
6
-C
20
アリールチオ基、C
1
-C
20
ヘテロアリール基、C
1
-C
20
ヘテロアリールオキシ基、C
1
-C
20
ヘテロアリールチオ基、またはそれらの任意の組み合わせで置換もしくは非置換の、C
1
-C
20
アルキル基、C
1
-C
20
ハロゲン化アルキル基、C
3
-C
20
シクロアルキル基、C
6
【請求項5】
R
12
及びR
13
は、それぞれ独立して、水素;重水素;-C(=O)R
14
;-C(R
14
)=NR
15
;-S(=O)R
14
;-S(=O)
2
R
14
;-S(=O)
2
OR
14
;及び重水素、ハロゲン、ヒドロキシル基、シアノ基、ニトロ基、カルボニル基、C
1
-C
20
アルキル基、C
1
-C
20
ハロゲン化アルキル基、C
3
-C
20
シクロアルキル基、C
6
-C
20
アリール基、C
1
-C
20
ヘテロアリール基、またはそれらの任意の組み合わせで置換もしくは非置換の、C
1
-C
20
アルキル基、C
1
-C
20
ハロゲン化アルキル基、C
3
-C
20
シクロアルキル基、C
6
-C
20
アリール基、及びC
1
-C
20
ヘテロアリール基;から選択され、
R
14
及びR
15
は、それぞれ独立して、水素;重水素;及び重水素、ハロゲン、ヒドロキシル基、シアノ基、ニトロ基、カルボニル基、C
1
-C
20
アルキル基、C
1
-C
20
ハロゲン化アルキル基、C
3
-C
20
シクロアルキル基、C
6
-C
20
アリール基、C
1
-C
20
ヘテロアリール基、またはそれらの任意の組み合わせで置換もしくは非置換の、C
1
-C
20
アルキル基、C
1
-C
20
ハロゲン化アルキル基、C
3
-C
20
シクロアルキル基、C
6
【請求項6】
R
12
及びR
13
は、それぞれ独立して、-C(=O)R
14
;-C(R
14
)=NR
15
;-S(=O)
2
R
14
;及び重水素、ハロゲン、ヒドロキシル基、シアノ基、ニトロ基、カルボニル基、C
1
-C
20
アルキル基、C
1
-C
20
ハロゲン化アルキル基、C
3
-C
20
シクロアルキル基、C
6
-C
20
アリール基、C
1
-C
20
ヘテロアリール基、またはそれらの任意の組み合わせで置換もしくは非置換の、C
1
-C
20
アルキル基、C
6
-C
20
アリール基、及びC
1
-C
20
ヘテロアリール基;から選択され、
R
14
及びR
15
は、それぞれ独立して、水素;重水素;及び重水素、ハロゲン、ヒドロキシル基、シアノ基、ニトロ基、カルボニル基、C
1
-C
20
アルキル基、C
1
-C
20
ハロゲン化アルキル基、C
3
-C
20
シクロアルキル基、C
6
-C
20
アリール基、C
1
-C
20
ヘテロアリール基、またはそれらの任意の組み合わせで置換もしくは非置換の、C
1
-C
20
アルキル基、C
6
-C
20
アリール基、及びC
1
-C
20
ヘテロアリール基;から選択される、請求項1に記載のポリマー。
【請求項7】
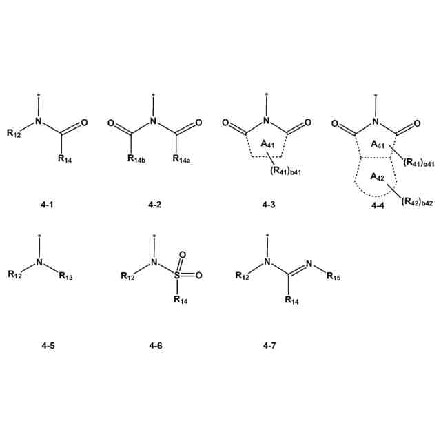
*-N(R
12
)R
13
は下記化学式4-1~4-7のうちいずれか1つで表される、請求項1に記載のポリマー:
JPEG
2025166799000028.jpg
100
170
前記化学式4-1~4-7において、
R
12
及びR
13
は、それぞれ独立して、重水素、ハロゲン、ヒドロキシル基、シアノ基、ニトロ基、カルボニル基、C
1
-C
20
アルキル基、C
1
-C
20
ハロゲン化アルキル基、C
3
-C
20
シクロアルキル基、C
6
-C
20
アリール基、C
1
-C
20
ヘテロアリール基、またはそれらの任意の組み合わせで置換もしくは非置換の、C
1
-C
20
アルキル基、C
6
-C
20
アリール基、及びC
1
-C
20
ヘテロアリール基から選択され、
R
14
、R
15
、R
14a
及びR
14b
は、それぞれ独立して、水素;重水素;及び重水素、ハロゲン、ヒドロキシル基、シアノ基、ニトロ基、カルボニル基、C
1
-C
20
アルキル基、C
1
-C
20
ハロゲン化アルキル基、C
3
-C
20
シクロアルキル基、C
6
-C
20
アリール基、C
1
-C
20
ヘテロアリール基、またはそれらの任意の組み合わせで置換もしくは非置換の、C
1
-C
20
アルキル基、C
6
-C
20
アリール基、及びC
1
-C
20
ヘテロアリール基;から選択され、
R
12
~R
15
、R
14a
及びR
14b
のうち隣接する2つの基は任意選択により互いに結合して環を形成することができ、
A
【請求項8】
*-N(R
12
)R
13
は下記化学式4-11~4-40のうちいずれか1つで表される、請求項1に記載のポリマー:
JPEG
2025166799000029.jpg
94
170
JPEG
2025166799000030.jpg
96
170
JPEG
2025166799000031.jpg
91
170
前記化学式4-11~4-40において、
*は隣接する原子との結合部位である。
【請求項9】
前記第1反復単位は下記グループIから選択される、請求項1に記載のポリマー:
<グループI>
JPEG
2025166799000032.jpg
184
170
JPEG
2025166799000033.jpg
125
170
。
【請求項10】
前記化学式1で表される第1反復単位を30モル%以上含む、請求項1に記載のポリマー。
(【請求項11】以降は省略されています)
発明の詳細な説明
【技術分野】
【0001】
本発明は、ポリマー、それを含むレジスト組成物、及びそれを用いたパターン形成方法に関する。
続きを表示(約 1,700 文字)
【背景技術】
【0002】
半導体の製造時、微細パターンを形成するために、光に反応して物性が変化するフォトレジストを使用している。そのうち、化学増幅型フォトレジスト(chemically amplified photoresist)が広く使用されてきた。化学増幅型フォトレジストは、光と光酸発生剤とが反応して形成された酸がベース樹脂と再び反応し、前記ベース樹脂の現像液に対する溶解度を変化させることにより、パターニングを可能にする。
【0003】
しかし、化学増幅型フォトレジストの場合、前記形成された酸が非露光領域まで拡散するにつれて、パターンの均一度が低くなったり、表面の粗さが増加したりするなどの問題が惹起される。また、半導体工程が次第に微細化されるにつれて、酸の拡散制御が容易でなく、新規の方式のレジスト開発が必要になった。
【0004】
近年、化学増幅型フォトレジストの限界を克服するために、露光によって物性が変化する素材を開発しようとする試みが行われている。しかし、まだ露光時に必要なドーズ(dose)(露光量)が高いという問題がある。
【0005】
これにより、低いドーズで速い反応を通じて物性が変化する素材への要求がある。
【発明の概要】
【発明が解決しようとする課題】
【0006】
本発明が解決しようとする課題は、低いドーズの露光によっても物性、特に溶解度が変化するポリマー、それを含むレジスト組成物、及びそれを用いたパターン形成方法を提供することである。
【課題を解決するための手段】
【0007】
一側面によって、下記化学式1で表される第1反復単位を20モル%以上含み、ヒドロキシ基で置換されたアリール基、及びヒドロキシ基で置換されたヘテロアリール基から選択された少なくとも1つを含む反復単位Aを含まない、ポリマーが提供される:
JPEG
2025166799000002.jpg
90
170
前記化学式1において、
L
11
~L
13
は、それぞれ独立して、単結合;O;S;C(=O);C(=O)O;OC(=O);C(=O)NH;NHC(=O);S(=O);S(=O)
2
;S(=O)
2
O;OS(=O)
2
;あるいはヘテロ原子を任意選択により含有していてもよいC
1
-C
30
の直鎖状、分枝状または環状の二価炭化水素基であり、
a11~a13は、それぞれ独立して、1~4の整数であり、
R
11
~R
13
は、それぞれ独立して、水素;重水素;ハロゲン;シアノ基;ヒドロキシ基;アミノ基;カルボン酸基;チオール基;カルボニル基;アミド基;エステル基;スルホネート基;カーボネート基;カルバメート基;ラクトン基;スルトン基;カルボン酸無水物基;あるいはヘテロ原子を任意選択により含有していてもよいC
1
-C
30
の直鎖状、分枝状または環状の一価炭化水素基であり、
R
12
及びR
13
は任意選択により互いに結合して環を形成することができ、
*は隣接する原子との結合部位である。
【0008】
他の側面によって、前述のポリマー及び有機溶媒を含むレジスト組成物が提供される。
【0009】
さらに他の側面によって、前述のレジスト組成物を塗布してレジスト膜を形成する段階と、高エネルギー線で前記レジスト膜の少なくとも一部を露光する段階と、現像液を用いて、露光されたレジスト膜を現像する段階と、を含む、パターン形成方法が提供される。
【発明の効果】
【0010】
本発明の実施形態は、低いドーズでも物性が変化するポリマー、それを含むレジスト組成物、及びそれを用いたパターン形成方法を提供することができる。
【図面の簡単な説明】
(【0011】以降は省略されています)
この特許をJ-PlatPat(特許庁公式サイト)で参照する
関連特許
三星電子株式会社
冷蔵庫
1か月前
三星電子株式会社
冷蔵庫
1か月前
三星電子株式会社
半導体装置
4日前
三星電子株式会社
半導体装置
26日前
三星電子株式会社
半導体装置
12日前
三星電子株式会社
半導体装置
1か月前
三星電子株式会社
固体撮像装置
1か月前
三星電子株式会社
イメージセンサ
25日前
三星電子株式会社
モータ駆動装置
1か月前
三星電子株式会社
イメージセンサ
3日前
三星電子株式会社
半導体パッケージ
25日前
三星電子株式会社
半導体パッケージ
4日前
三星電子株式会社
イメージセンサー
11日前
三星電子株式会社
半導体パッケージ
17日前
三星電子株式会社
半導体パッケージ
24日前
三星電子株式会社
イメージセンサー
1か月前
三星電子株式会社
集積回路パッケージ
1か月前
三星電子株式会社
集積回路装置の製造方法
19日前
三星電子株式会社
トランスフォーマー加速装置
12日前
三星電子株式会社
半導体装置およびその製造方法
4日前
三星電子株式会社
イメージセンサ及びその動作方法
1か月前
三星電子株式会社
スペーサを含む半導体パッケージ
3日前
三星電子株式会社
イメージセンサ及びその動作方法
25日前
三星電子株式会社
半導体パッケージ及びその製造方法
11日前
三星電子株式会社
車両の走行を制御する方法と装置及び車両
3日前
三星電子株式会社
半導体装置及びこれを含むデータ記憶システム
1か月前
三星電子株式会社
半導体装置及びこれを含むデータ記憶システム
3日前
三星電子株式会社
オンチップ偏光ルーティングのシステム及び方法
4日前
三星電子株式会社
イメージセンサー及びイメージセンサーの駆動方法
4日前
三星電子株式会社
レジスト組成物及びそれを用いたパターン形成方法
11日前
三星電子株式会社
イメージセンサー及びその動作方法並びに電子装置
11日前
三星電子株式会社
半導体パッケージング用フィルム及びその製造方法
24日前
三星電子株式会社
レジスト組成物及びそれを用いたパターン形成方法
24日前
三星電子株式会社
プラズマエッチング工程を含む半導体素子の製造方法
1か月前
三星電子株式会社
後面構造物を含む半導体チップを含む半導体パッケージ
1か月前
三星電子株式会社
ポリマー、それを含むレジスト組成物、及びそれを用いたパターン形成方法
25日前
続きを見る
他の特許を見る