TOP
|
特許
|
意匠
|
商標
特許ウォッチ
Twitter
他の特許を見る
公開番号
2025165580
公報種別
公開特許公報(A)
公開日
2025-11-05
出願番号
2024069715
出願日
2024-04-23
発明の名称
半導体封止材組成物
出願人
日油株式会社
代理人
弁理士法人柳野国際特許事務所
主分類
C08L
33/00 20060101AFI20251028BHJP(有機高分子化合物;その製造または化学的加工;それに基づく組成物)
要約
【課題】低熱膨張性を有し、耐水性に優れる半導体封止材を形成可能であり、かつ、加熱時の流動性に優れる半導体封止材組成物を提供すること。
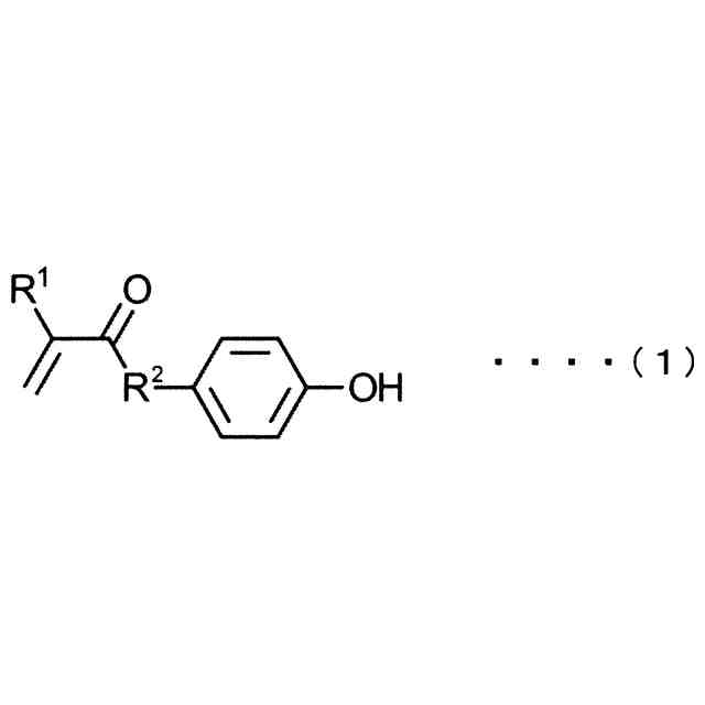
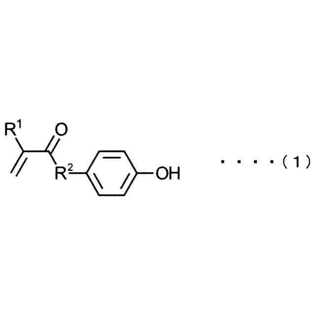
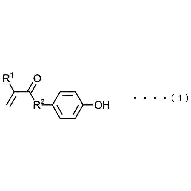
【解決手段】下記式(1)で示されるモノマー(A)10~100モル%、下記式(2)で示される水酸基含有(メタ)アクリレート(B)0~90モル%、を構成単位として含み、重量平均分子量が3,000~100,000である重合体を0.1~5質量%、エポキシ樹脂を1~15質量%、無機粒子を63~97質量%含有することを特徴とする半導体封止材組成物。
<com:Image com:imageContentCategory="Drawing"> <com:ImageFormatCategory>TIFF</com:ImageFormatCategory> <com:FileName>2025165580000006.tif</com:FileName> <com:HeightMeasure com:measureUnitCode="Mm">27</com:HeightMeasure> <com:WidthMeasure com:measureUnitCode="Mm">167</com:WidthMeasure> </com:Image>
(式(1)中、R
1
は水素またはメチル基であり、R
2
は、-O-または-NH-を示す。)
CH
2
=CR
3
-COO-R
4
・・・(2)
(式(2)中、R
3
は水素原子またはメチル基を示し、R
4
は炭素数1~4のヒドロキシアルキル基を示す。)
【選択図】なし
特許請求の範囲
【請求項1】
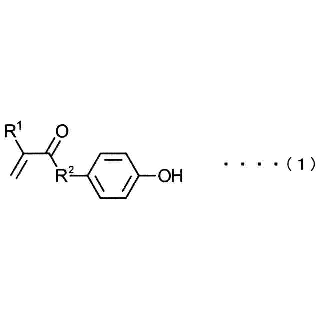
下記式(1)で示されるモノマー(A)10~100モル%、下記式(2)で示される水酸基含有(メタ)アクリレート(B)0~90モル%、を構成単位として含み、重量平均分子量が3,000~100,000である重合体を0.1~5質量%、エポキシ樹脂を1~25質量%、無機粒子を63~97質量%含有することを特徴とする半導体封止材組成物。
TIFF
2025165580000005.tif
26
168
(式(1)中、R
1
は水素またはメチル基を示し、R
2
は、-O-または-NH-を示す。)
CH
2
=CR
3
-COO-R
4
・・・(2)
(式(2)中、R
3
は水素原子またはメチル基を示し、R
4
は炭素数1~4のヒドロキシアルキル基を示す。)
発明の詳細な説明
【技術分野】
【0001】
本発明は重合体を含む半導体封止材組成物に関する。
続きを表示(約 1,500 文字)
【背景技術】
【0002】
半導体の封止時にはトランスファー成型などの成型手法が用いられ、シリカなどの無機フィラーとエポキシ樹脂、硬化剤からなる組成物を高温で混錬し、流動性のあるスラリーとして金型に流し込み硬化させる。この際、スラリーの流動性が悪いと末端まで行き渡らず成型不良となるため、優れた流動性が求められる。
【0003】
近年では半導体の高集積化やデバイスの小型化にしたがって、半導体パッケージの小型薄型化が求められている。封止材の薄層化が進むと、封止材形成時の熱膨張による反りやクラックが起きやすくなり、より一層の低熱膨張率化が求められている。同時に封止材の厚さが薄くなると、高温高湿下などで寸法変化やパッケージの強度低下の影響や水分による微量の溶出物による影響が大きくなり、微小な変化でも半導体素子の不具合につながるため、小型薄型化に伴い優れた耐水性も求められている。
【0004】
特許文献1には、光学部品の成型用の(A)特定のエポキシ樹脂、(B)特定のフェノール樹脂、平均粒径の範囲の異なるシリカおよび/またはアルミナを必須成分として含有し、(A)成分と(B)成分の化学当量比、平均粒径範囲の異なるシリカおよび/またはアルミナ同士の配合比、これらシリカおよび/またはアルミナの全量を所定の含有割合とするエポキシ樹脂組成物が記載されている。当該エポキシ樹脂組成物は、半導体封止材用途ではないものの、エポキシ樹脂、フェノール樹脂中にシリカやアルミナを分散させ、高精度の成型のための低膨張性など組成、課題が類似している。
【0005】
特許文献2には、エポキシ樹脂、フェノール樹脂硬化剤、硬化促進剤、アルミナ粉末を含む半導体封止用樹脂組成物であって、その硬化物のα線量、所定の熱伝導率が所定範囲である、高熱伝導性を有し且つ低α線の半導体封止用樹脂組成物が記載され、この半導体封止用樹脂組成物に含んでもよい添加剤として、シリコーン化合物などの低応力剤が例示されている。
【0006】
特許文献1に記載のエポキシ樹脂組成物や特許文献2に記載のような低応力剤を含む半導体封止用樹脂組成物により、封止材は低熱膨張性を得ることが可能となっていると考えられる。一方、これらの樹脂組成物では、今後さらに薄層化が進み、より薄い金型を用いて成型する際に、流動性が不足し成型不良が起き、低熱膨張性と流動性を両立することが困難になることが懸念される。
【先行技術文献】
【特許文献】
【0007】
特開2003-292734号公報
特開2023-109966号公報
【発明の概要】
【発明が解決しようとする課題】
【0008】
本発明の目的は、低熱膨張性を有し、耐水性に優れる半導体封止材を形成可能であり、かつ、加熱時の流動性に優れる半導体封止材組成物を提供することである。
【課題を解決するための手段】
【0009】
本発明者は、前記課題を解決すべく検討した結果、特定の重合体を用いることにより前記課題を解決できることを見出した。すなわち、本発明は、下記半導体封止材組成物に関する。
【0010】
下記式(1)で示されるモノマー(A)10~100モル%、下記式(2)で示される水酸基含有(メタ)アクリレート(B)0~90モル%、を構成単位として含み、重量平均分子量が3,000~100,000である重合体を0.1~5質量%、エポキシ樹脂を1~15質量%、無機粒子を63~97質量%含有することを特徴とする半導体封止材組成物。
(【0011】以降は省略されています)
この特許をJ-PlatPat(特許庁公式サイト)で参照する
関連特許
日油株式会社
毛髪化粧料
2か月前
日油株式会社
皮膚化粧料
2か月前
日油株式会社
皮膚保湿剤
1か月前
日油株式会社
潤滑油組成物
4日前
日油株式会社
重合性組成物
1か月前
日油株式会社
二層型化粧料
4か月前
日油株式会社
パック化粧料
1か月前
日油株式会社
導電性組成物
1か月前
日油株式会社
導電性組成物
1か月前
日油株式会社
化粧料用組成物
2か月前
日油株式会社
船舶燃料油組成物
3か月前
日油株式会社
半導体封止材組成物
27日前
日油株式会社
深共晶溶媒及び電解質
2か月前
日油株式会社
製菓用グルテン改質剤
1か月前
日油株式会社
分散剤及び樹脂組成物
1か月前
日油株式会社
カルボン酸チタン組成物
2か月前
日油株式会社
製パン用グルテン改質剤
1か月前
日油株式会社
水中油型日焼け止め化粧料
2か月前
日油株式会社
リン酸ジエステルの製造方法
1か月前
日油株式会社
スルホン酸(メタ)アクリレート組成物
2か月前
日油株式会社
穀粉生地用改質剤、穀粉生地、及び食品
1か月前
日油株式会社
ペルフルオロアシル過酸化物の製造方法。
1か月前
日油株式会社
エステル化用触媒、及びエステルの製造方法
27日前
日油株式会社
無線起爆雷管および無線起爆雷管用アンテナ
1か月前
日油株式会社
イソプロぺニルフェノール共重合体の製造方法
1か月前
日油株式会社
ポリオキシアルキレン化合物及び表面張力調整剤
4か月前
国立研究開発法人物質・材料研究機構
樹脂組成物
2か月前
日油株式会社
保護層形成用組成物、保護層、及び保護層の製造方法
1か月前
日油株式会社
共重合体、半導体封止用改質剤及び半導体封止材組成物
1か月前
日油株式会社
重合体、水系塗料用表面調整剤および硬化性樹脂組成物
20日前
日油株式会社
セラミック成形用バインダー組成物およびセラミックスラリー
3か月前
学校法人近畿大学
眼表面薬物滞留化剤および該剤を含有する点眼剤
2か月前
日油株式会社
動物油脂風味増強剤、動物油脂含有飲食品、及び動物油脂風味増強方法
2か月前
日油株式会社
無線起爆システム用中継装置および中継装置用アンテナおよび起爆方法
1か月前
日油株式会社
水中油型乳化油脂組成物、および水中油型乳化油脂組成物を含有する食品
1か月前
日油株式会社
製菓用液糖組成物およびその製造方法、ケーキ生地およびその製造方法、ならびにケーキ
2か月前
続きを見る
他の特許を見る