TOP
|
特許
|
意匠
|
商標
特許ウォッチ
Twitter
他の特許を見る
10個以上の画像は省略されています。
公開番号
2025152954
公報種別
公開特許公報(A)
公開日
2025-10-10
出願番号
2024055147
出願日
2024-03-29
発明の名称
保護層形成用組成物、保護層、及び保護層の製造方法
出願人
日油株式会社
代理人
弁理士法人ユニアス国際特許事務所
主分類
C09D
4/02 20060101AFI20251002BHJP(染料;ペイント;つや出し剤;天然樹脂;接着剤;他に分類されない組成物;他に分類されない材料の応用)
要約
【課題】低粘度でも優れた硬化性、厚膜硬化性、硬化収縮性、及び密着性を有する保護層形成用組成物を提供すること。
【解決手段】単官能(メタ)アクリレート(A)、多官能(メタ)アクリレート(B)、及び光重合開始剤(C)を含有する保護層形成用組成物であって、前記光重合開始剤(C)は、下記一般式(1)、(2)、(3)、及び(4)からなる群より選ばれる1種以上の化合物を含有し、前記単官能(メタ)アクリレート100重量部に対して、前記多官能(メタ)アクリレートが0.5重量部以上30重量部以下であり、前記保護層形成用組成物の25℃での粘度が100mPa・s以下である保護層形成用組成物。
【選択図】なし
特許請求の範囲
【請求項1】
単官能(メタ)アクリレート(A)、多官能(メタ)アクリレート(B)、及び光重合開始剤(C)を含有する保護層形成用組成物であって、
前記光重合開始剤(C)は、下記一般式(1)、(2)、(3)、及び(4)からなる群より選ばれる1種以上の化合物を含有し、
前記単官能(メタ)アクリレート100重量部に対して、前記多官能(メタ)アクリレートが0.5重量部以上30重量部以下であり、前記保護層形成用組成物の25℃での粘度が100mPa・s以下であることを特徴とする保護層形成用組成物。
一般式(1):
JPEG
2025152954000015.jpg
38
169
(一般式(1)中、R
1
、R
2
、R
3
及びR
4
は独立してメチル基またはエチル基を表し、R
5
は炭素数1~6のアルキル基、またはフェニル基を表し、R
6
は独立した置換基であって、炭素数1~4のアルキル基、炭素数1~4のアルコキシ基、または塩素原子を表し、nは0から2の整数を表す。)で表される過酸化結合を有するチオキサントン誘導体。
一般式(2):
JPEG
2025152954000016.jpg
63
169
(一般式(2)中、R
7
及びR
8
は独立してメチル基またはエチル基を表す。R
9
は炭素数1~5の脂肪族炭化水素基、またはアルキル基を有してもよい炭素数6~9の芳香族炭化水素基を表す。Xは下記一般式(2-a):Ar
1
、Ar
2
、Ar
3
またはAr
4
で表されるアリール基である。nは0から2の整数を表す。)で表される過酸化結合を有するトリアジン誘導体。
JPEG
2025152954000017.jpg
34
160
(一般式(2-a)中、mは0から3の整数を表す。R
10
は、独立した置換基であって、炭素数1から18のアルキル基、一般式(2-b):R
11
-Y-で表される置換基、ニトロ基、またはシアノ基を表す。前記Yは、酸素原子または硫黄原子を表す。前記R
11
は、炭素骨格中に、エーテル結合、チオエーテル結合、及び、末端に水酸基のいずれか1つ以上を有していてもよい炭素数1から18の炭化水素基、アルキル基を有してもよい炭素数6~9の芳香族炭化水素基、または炭素数1~8のアシル基を表す。あるいは、R
10
は隣接する2つの前記一般式(2-b):R
11
-Y-により5~6員環を形成してもよい。)
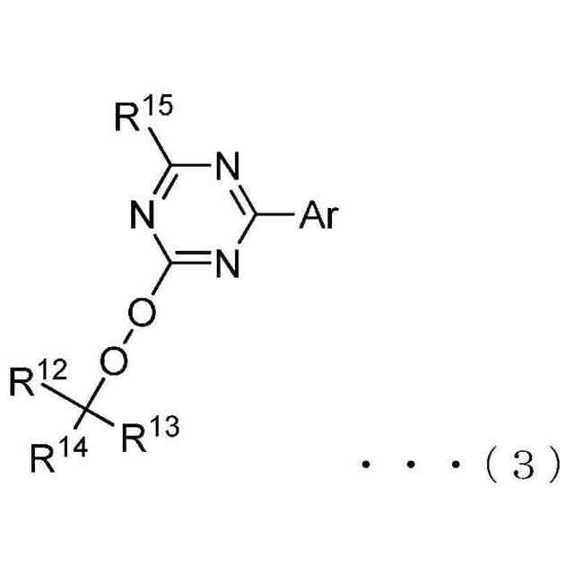
一般式(3):
JPEG
2025152954000018.jpg
42
160
(一般式(3)中、R
12
及びR
13
は独立してメチル基またはエチル基、R
14
は炭素数1~5の脂肪族炭化水素基、またはアルキル基を有してもよい炭素数6~9の芳香族炭化水素基を表し、R
15
は置換されていてもよい炭素数1~20の脂肪族炭化水素基、置換されていてもよい炭素数6~20の芳香族炭化水素基、置換されていてもよい炭素数2~20の複素環含有基、置換されていてもよい炭素数1~20のアシル基、-Y-R、または-N-RR’であって、Yは酸素原子または硫黄原子を表し、R及びR’は独立して水素原子、置換されていてもよい炭素数1~20の脂肪族炭化水素基、置換されていてもよい炭素数6~20の芳香族炭化水素基、置換されていてもよい炭素数2~20の複素環含有基を表す。Arは下記一般式(3-a):Ar
5
、Ar
6
、Ar
7
またはAr
8
で表されるアリール基である。)で表される過酸化結合を有するトリアジン誘導体。
JPEG
2025152954000019.jpg
31
170
(一般式(3-a)中、mは0から3の整数を表す。R
16
は、独立した置換基であって、炭素数1から18のアルキル基、一般式(3-b):R
17
-Y-で表される置換基、ニトロ基、またはシアノ基を表す。前記Yは、酸素原子または硫黄原子を表す。前記R
17
は、炭素骨格中に、エーテル結合、チオエーテル結合、及び、末端に水酸基のいずれか1つ以上を有していてもよい炭素数1から18の炭化水素基、アルキル基を有してもよい炭素数6~9の芳香族炭化水素基、または炭素数1~8のアシル基を表す。あるいは、R
16
は隣接する2つの前記一般式(3-b):R
17
-Y-により5~6員環を形成してもよい。)
一般式(4)で表される化合物。
JPEG
2025152954000020.jpg
39
156
続きを表示(約 230 文字)
【請求項2】
さらにレベリング剤(D)を含有することを特徴とする請求項1に記載の保護層形成用組成物。
【請求項3】
請求項1又は請求項2に記載の保護層形成用組成物から形成されることを特徴とする保護層。
【請求項4】
請求項1又は請求項2に記載の保護層形成用組成物を基材に塗工して組成物層を形成する工程と、前記組成物層に活性エネルギー線を照射し、前記組成物層を硬化させる工程を含むことを特徴とする保護層の製造方法。
発明の詳細な説明
【技術分野】
【0001】
本発明は、保護層形成用組成物、保護層、及び保護層の製造方法に関する。
続きを表示(約 3,500 文字)
【背景技術】
【0002】
半導体は様々な電子機器に用いられており、昨今の電子機器の高性能化により、高集積化、高密度化が進んでいる。従来、半導体の高集積化と高速度化は、光露光を用いたリソグラフィー技術(光リソグラフィー)における光源の短波長化によるパターン寸法の微細化によって達成されてきた。しかしながら、パターン寸法の微細化は、光リソグラフィー用光源の波長に由来する本質的な限界に近づきつつある。
【0003】
より一層の高集積化、高密度化を実現するために、近年、3次元の半導体実装が必須となってきている。これを実現するために、基板や基板と接する半導体製造装置の薄型化や精密な平坦性が要求されるため、基板や、半導体製造装置を研磨することで達成している。
【0004】
研磨時の衝撃による基板の破損や、研磨後の残渣による表面への汚染などによる品質不良を防止するため、基板や半導体製造装置表面に光硬化性樹脂組成物を硬化して得られる保護層を形成する手法が一般的に知られている。例えば、特許文献1では光硬化性アクリル樹脂組成物が、特許文献2においては光硬化性アクリル/エポキシ樹脂組成物を保護層として用いる手法が開示されている。
【先行技術文献】
【特許文献】
【0005】
特開2009-272557号公報
特開2021-116353号公報
【発明の概要】
【発明が解決しようとする課題】
【0006】
近年、基板や半導体製造装置は表面に微細な突起やパターンを有する場合があるが、光硬化性樹脂組成物を保護層として用いると、基材等の薄膜化に伴い光硬化時の硬化収縮による基板の反りや、突起やパターンの破損が生じる可能性がある。さらには、研磨時の衝撃吸収の観点から、硬化収縮の抑制に加えて密着性が要求されるが、基板等が深いパターンの表面を有する場合には、密着性不良が生じやすくなるという課題があった。
【0007】
一般的に、アクリル樹脂組成物は光硬化時の硬化収縮が高く、硬化収縮を抑制するためにエポキシ樹脂が用いられることが多い。しかし、密着性確保の観点から、組成物を低粘度化する必要があるが、低粘度化には反応性希釈剤を使用することが多く、その場合には硬化性が低下してしまう。また、エポキシ樹脂の光硬化はアクリル樹脂と比較して硬化速度が遅く、保護膜の形成に時間を要するため、経済性の観点で課題がある。
【0008】
本発明は上記事情に鑑みてなされたものである。すなわち、本発明の課題は、低粘度でも優れた硬化性、厚膜硬化性、硬化収縮性、及び密着性を有する保護層形成用組成物を提供することである。
【課題を解決するための手段】
【0009】
すなわち、本発明は、単官能(メタ)アクリレート(A)、多官能(メタ)アクリレート(B)、及び光重合開始剤(C)を含有する保護層形成用組成物であって、
前記光重合開始剤(C)は、下記一般式(1)、(2)、(3)、及び(4)からなる群より選ばれる1種以上の化合物を含有し、
前記単官能(メタ)アクリレート100重量部に対して、前記多官能(メタ)アクリレートが0.5重量部以上30重量部以下であり、前記保護層形成用組成物の25℃での粘度が100mPa・s以下である保護層形成用組成物に関する。
一般式(1):
JPEG
2025152954000001.jpg
25
140
(一般式(1)中、R
1
、R
2
、R
3
及びR
4
は独立してメチル基またはエチル基を表し、R
5
は炭素数1~6のアルキル基、またはフェニル基を表し、R
6
は独立した置換基であって、炭素数1~4のアルキル基、炭素数1~4のアルコキシ基、または塩素原子を表し、nは0から2の整数を表す。)で表される過酸化結合を有するチオキサントン誘導体。
一般式(2):
JPEG
2025152954000002.jpg
48
142
(一般式(2)中、R
7
及びR
8
は独立してメチル基またはエチル基を表す。R
9
は炭素数1~5の脂肪族炭化水素基、またはアルキル基を有してもよい炭素数6~9の芳香族炭化水素基を表す。Xは下記一般式(2-a):Ar
1
、Ar
2
、Ar
3
またはAr
4
で表されるアリール基である。nは0から2の整数を表す。)で表される過酸化結合を有するトリアジン誘導体。
JPEG
2025152954000003.jpg
32
162
(一般式(2-a)中、mは0から3の整数を表す。R
10
は、独立した置換基であって、炭素数1から18のアルキル基、一般式(2-b):R
11
-Y-で表される置換基、ニトロ基、またはシアノ基を表す。前記Yは、酸素原子または硫黄原子を表す。前記R
11
は、炭素骨格中に、エーテル結合、チオエーテル結合、及び、末端に水酸基のいずれか1つ以上を有していてもよい炭素数1から18の炭化水素基、アルキル基を有してもよい炭素数6~9の芳香族炭化水素基、または炭素数1~8のアシル基を表す。あるいは、R
10
は隣接する2つの前記一般式(2-b):R
11
-Y-により5~6員環を形成してもよい。)
一般式(3):
JPEG
2025152954000004.jpg
42
142
(一般式(3)中、R
12
及びR
13
は独立してメチル基またはエチル基、R
14
は炭素数1~5の脂肪族炭化水素基、またはアルキル基を有してもよい炭素数6~9の芳香族炭化水素基を表し、R
15
は置換されていてもよい炭素数1~20の脂肪族炭化水素基、置換されていてもよい炭素数6~20の芳香族炭化水素基、置換されていてもよい炭素数2~20の複素環含有基、置換されていてもよい炭素数1~20のアシル基、-Y-R、または-N-RR’であって、Yは酸素原子または硫黄原子を表し、R及びR’は独立して水素原子、置換されていてもよい炭素数1~20の脂肪族炭化水素基、置換されていてもよい炭素数6~20の芳香族炭化水素基、置換されていてもよい炭素数2~20の複素環含有基を表す。Arは下記一般式(3-a):Ar
5
、Ar
6
、Ar
7
またはAr
8
で表されるアリール基である。)で表される過酸化結合を有するトリアジン誘導体。
JPEG
2025152954000005.jpg
30
164
(一般式(3-a)中、mは0から3の整数を表す。R
16
は、独立した置換基であって、炭素数1から18のアルキル基、一般式(3-b):R
17
-Y-で表される置換基、ニトロ基、またはシアノ基を表す。前記Yは、酸素原子または硫黄原子を表す。前記R
17
は、炭素骨格中に、エーテル結合、チオエーテル結合、及び、末端に水酸基のいずれか1つ以上を有していてもよい炭素数1から18の炭化水素基、アルキル基を有してもよい炭素数6~9の芳香族炭化水素基、または炭素数1~8のアシル基を表す。あるいは、R
16
は隣接する2つの前記一般式(3-b):R
17
-Y-により5~6員環を形成してもよい。)
一般式(4)で表される化合物。
JPEG
2025152954000006.jpg
36
159
【0010】
また、本発明は、さらにレベリング剤(D)を含有することが好ましい前記保護層形成用組成物に関する。
(【0011】以降は省略されています)
この特許をJ-PlatPat(特許庁公式サイト)で参照する
関連特許
日油株式会社
皮膚化粧料
2か月前
日油株式会社
毛髪化粧料
1か月前
日油株式会社
皮膚保湿剤
1か月前
日油株式会社
重合性組成物
1か月前
日油株式会社
パック化粧料
12日前
日油株式会社
導電性組成物
12日前
日油株式会社
二層型化粧料
3か月前
日油株式会社
導電性組成物
1か月前
日油株式会社
化粧料用組成物
1か月前
日油株式会社
毛髪洗浄剤組成物
3か月前
日油株式会社
船舶燃料油組成物
2か月前
日油株式会社
半導体封止材組成物
5日前
日油株式会社
分散剤及び樹脂組成物
27日前
日油株式会社
製菓用グルテン改質剤
1か月前
日油株式会社
深共晶溶媒及び電解質
1か月前
日油株式会社
製パン用グルテン改質剤
1か月前
日油株式会社
カルボン酸チタン組成物
2か月前
日油株式会社
水中油型日焼け止め化粧料
1か月前
日油株式会社
リン酸ジエステルの製造方法
27日前
日油株式会社
穀粉生地用改質剤、穀粉生地、及び食品
1か月前
日油株式会社
スルホン酸(メタ)アクリレート組成物
1か月前
日油株式会社
ペルフルオロアシル過酸化物の製造方法。
1か月前
日油株式会社
無線起爆雷管および無線起爆雷管用アンテナ
1か月前
日油株式会社
エステル化用触媒、及びエステルの製造方法
5日前
日油株式会社
イソプロぺニルフェノール共重合体の製造方法
1か月前
日油株式会社
ポリオキシアルキレン化合物及び表面張力調整剤
3か月前
国立研究開発法人物質・材料研究機構
樹脂組成物
1か月前
日油株式会社
保護層形成用組成物、保護層、及び保護層の製造方法
1か月前
日油株式会社
共重合体、半導体封止用改質剤及び半導体封止材組成物
1か月前
日油株式会社
セラミック成形用バインダー組成物およびセラミックスラリー
3か月前
学校法人近畿大学
眼表面薬物滞留化剤および該剤を含有する点眼剤
1か月前
日油株式会社
動物油脂風味増強剤、動物油脂含有飲食品、及び動物油脂風味増強方法
1か月前
日油株式会社
無線起爆システム用中継装置および中継装置用アンテナおよび起爆方法
1か月前
日油株式会社
水中油型乳化油脂組成物、および水中油型乳化油脂組成物を含有する食品
1か月前
日油株式会社
製菓用液糖組成物およびその製造方法、ケーキ生地およびその製造方法、ならびにケーキ
1か月前
日油株式会社
接着剤組成物、光溶融型接着剤、光溶融型接着剤を用いた積層体および光溶融型接着剤を用いた製造方法
1か月前
続きを見る
他の特許を見る