TOP
|
特許
|
意匠
|
商標
特許ウォッチ
Twitter
他の特許を見る
10個以上の画像は省略されています。
公開番号
2025151318
公報種別
公開特許公報(A)
公開日
2025-10-09
出願番号
2024052669
出願日
2024-03-28
発明の名称
接着剤組成物、光溶融型接着剤、光溶融型接着剤を用いた積層体および光溶融型接着剤を用いた製造方法
出願人
日油株式会社
,
国立研究開発法人物質・材料研究機構
代理人
弁理士法人ユニアス国際特許事務所
主分類
C09J
123/00 20060101AFI20251002BHJP(染料;ペイント;つや出し剤;天然樹脂;接着剤;他に分類されない組成物;他に分類されない材料の応用)
要約
【課題】、ポリオレフィン樹脂等の難被着体に対して優れた接着性を有し、光の照射により溶融接着可能な光溶融型接着剤組成物、積層体および積層体の製造方法を提供すること。
【解決手段】ポリオレフィン樹脂(A)および光熱変換材料(B)を含有し、前記光熱変換材料(B)が、チオキサントン類、トリアジン類、およびベンゾフェノン類からなる群より選ばれる1種以上の化合物である光溶融型接着剤組成物。
【選択図】なし
特許請求の範囲
【請求項1】
ポリオレフィン樹脂(A)および光熱変換材料(B)を含有し、
前記光熱変換材料(B)が、チオキサントン類、トリアジン類、およびベンゾフェノン類からなる群より選ばれる1種以上の化合物であることを特徴とする光溶融型接着剤組成物。
続きを表示(約 2,800 文字)
【請求項2】
前記光熱変換材料(B)が、分子内に過酸化結合を有する化合物であることを特徴とする請求項1に記載の光溶融型接着剤組成物。
【請求項3】
前記分子内に過酸化結合を有する化合物が、下記一般式(1)、(2)、(3)、および(4)からなる群より選ばれる1種以上の化合物であることを特徴とする請求項2に記載の光溶融型接着剤組成物。
一般式(1):
JPEG
2025151318000015.jpg
24
159
(一般式(1)中、R
1
、R
2
、R
3
およびR
4
は独立してメチル基またはエチル基を表し、R
5
は炭素数1~6のアルキル基、またはフェニル基を表し、R
6
は独立した置換基であって、炭素数1~4のアルキル基、炭素数1~4のアルコキシ基、または塩素原子を表し、nは0から2の整数を表す。)で表される過酸化結合を有するチオキサントン誘導体。
一般式(2):
JPEG
2025151318000016.jpg
45
160
(一般式(2)中、R
7
およびR
8
は独立してメチル基またはエチル基を表す。R
9
は炭素数1~5の脂肪族炭化水素基、またはアルキル基を有してもよい炭素数6~9の芳香族炭化水素基を表す。Xは下記一般式(2-a):Ar
1
、Ar
2
、Ar
3
またはAr
4
で表されるアリール基である。nは0から2の整数を表す。)で表される過酸化結合を有するトリアジン誘導体。
JPEG
2025151318000017.jpg
30
160
(一般式(2-a)中、mは0から3の整数を表す。R
10
は、独立した置換基であって、炭素数1から18のアルキル基、一般式(2-b):R
11
-Y-で表される置換基、ニトロ基、またはシアノ基を表す。前記Yは、酸素原子または硫黄原子を表す。前記R
11
は、炭素骨格中に、エーテル結合、チオエーテル結合、および、末端に水酸基のいずれか1つ以上を有していてもよい炭素数1から18の炭化水素基、アルキル基を有してもよい炭素数6~9の芳香族炭化水素基、または炭素数1~8のアシル基を表す。あるいは、R
10
は隣接する2つの前記一般式(2-b):R
11
-Y-により5~6員環を形成してもよい。)
一般式(3):
JPEG
2025151318000018.jpg
43
160
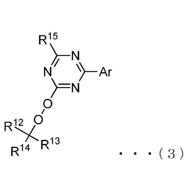
(一般式(3)中、R
12
およびR
13
は独立してメチル基またはエチル基、R
14
は炭素数1~5の脂肪族炭化水素基、またはアルキル基を有してもよい炭素数6~9の芳香族炭化水素基を表し、R
15
は置換されていてもよい炭素数1~20の脂肪族炭化水素基、置換されていてもよい炭素数6~20の芳香族炭化水素基、置換されていてもよい炭素数2~20の複素環含有基、置換されていてもよい炭素数1~20のアシル基、-Y-R、または-N-RR’であって、Yは酸素原子または硫黄原子を表し、RおよびR’は独立して水素原子、置換されていてもよい炭素数1~20の脂肪族炭化水素基、置換されていてもよい炭素数6~20の芳香族炭化水素基、置換されていてもよい炭素数2~20の複素環含有基を表す。Arは下記一般式(3-a):Ar
5
、Ar
6
、Ar
7
またはAr
8
で表されるアリール基である。)で表される過酸化結合を有するトリアジン誘導体。
JPEG
2025151318000019.jpg
31
160
(一般式(3-a)中、mは0から3の整数を表す。R
16
は、独立した置換基であって、炭素数1から18のアルキル基、一般式(3-b):R
17
-Y-で表される置換基、ニトロ基、またはシアノ基を表す。前記Yは、酸素原子または硫黄原子を表す。前記R
17
は、炭素骨格中に、エーテル結合、チオエーテル結合、および、末端に水酸基のいずれか1つ以上を有していてもよい炭素数1から18の炭化水素基、アルキル基を有してもよい炭素数6~9の芳香族炭化水素基、または炭素数1~8のアシル基を表す。あるいは、R
16
は隣接する2つの前記一般式(3-b):R
17
-Y-により5~6員環を形成してもよい。)
一般式(4):
JPEG
2025151318000020.jpg
31
148
(一般式(4)中、R
18
およびR
19
は、独立して、炭素数4~8のアルキル基、または炭素数9~12のアラルキル基であり、R
20
およびR
21
は、独立して、水素原子、炭素数1~8のアルキル基、炭素数4~8のアルコキシ基、または炭素数9~12のアラルキルオキシ基である。)で表される過酸化結合を有するベンゾフェノン誘導体。
【請求項4】
請求項1~3のいずれかに記載の光溶融型接着剤組成物から形成される接着剤層を介して、第1の被着体と第2の被着体が固着していることを特徴とする積層体。
【請求項5】
第1の被着体に請求項1~3のいずれかに記載の光溶融型接着剤組成物を塗布し、前記第1の被着体の前記光溶融型接着剤組成物が塗布された面に第2の被着体を配置し、前記光溶融型接着剤組成物に活性エネルギー線を照射して前記光溶融型接着剤組成物を溶融させる工程と、
溶融した光溶融型接着剤組成物が固化することにより、前記第1の被着体と前記第2の被着体が固着した積層体を得る工程と、
を備えることを特徴する積層体の製造方法。
【請求項6】
第1の被着体に請求項1~3のいずれかに記載の光溶融型接着剤組成物を塗布し、前記光溶融型接着剤組成物に活性エネルギー線を照射して前記光溶融型接着剤組成物を溶融させる工程と、
溶融した光溶融型接着剤組成物の面に第2の被着体を配置し、溶融した光溶融型接着剤組成物が固化することにより、前記第1の被着体と前記第2の被着体が固着した積層体を得る工程と、
を備えることを特徴する積層体の製造方法。
発明の詳細な説明
【技術分野】
【0001】
本発明は、光溶融型接着剤組成物、積層体および積層体の製造方法に関する。
続きを表示(約 3,400 文字)
【背景技術】
【0002】
ポリプロピレンやポリエチレンおよびそれらの共重合体に代表されるポリオレフィン樹脂は、成形性および耐薬品性に優れており、自動車部品や電子部品、建築用資材、樹脂成形品表面の成形用コーティングフィルム、食品包装用フィルム等の材料として幅広い分野で使用されている。しかし、ポリオレフィン樹脂は極性が低く、ポリオレフィン樹脂同士あるいはその他の材料との接着、または塗装、印刷が困難であるという課題がある。
【0003】
難被着体であるポリオレフィン樹脂を接着する場合、コロナ、プラズマ処理、オゾンまたは酸による酸化、スパッタエッチング等によって、不活性な表面に水酸基等の官能基を導入して改質する手法(例えば、特許文献1)や、常温では固体である接着剤組成物を専用の設備にて加熱溶融させ、溶融状態の接着剤組成物を被着体に塗布した後、冷却固化させるホットメルト接着剤(例えば、特許文献2)が用いられる。
【先行技術文献】
【特許文献】
【0004】
特開2017-95684号公報
国際公開第2017/73153号
【発明の概要】
【発明が解決しようとする課題】
【0005】
しかし、上記の方法はプラズマ処理装置や加熱溶融を行うためのホットメルトアプリケーターなどの専用の設備が必要であり、経済性が悪く加工方法に制約が生じるうえ、十分な接着性が得られないことが多い。
【0006】
本発明は上記事情に鑑みてなされたものである。すなわち、本発明の課題は、ポリオレフィン樹脂等の難被着体に対して優れた接着性を有し、光の照射により溶融接着可能な光溶融型接着剤組成物、積層体および積層体の製造方法を提供することである。
【課題を解決するための手段】
【0007】
すなわち、本発明は、ポリオレフィン樹脂(A)および光熱変換材料(B)を含有し、前記光熱変換材料(B)が、チオキサントン類、トリアジン類、およびベンゾフェノン類からなる群より選ばれる1種以上の化合物である光溶融型接着剤組成物に関する。
【0008】
また、本発明は、前記光熱変換材料(B)が、分子内に過酸化結合を有する化合物であることが好ましい前記光溶融型接着剤組成物に関する。
【0009】
また、本発明は、前記分子内に過酸化結合を有する化合物が、下記一般式(1)、(2)、(3)、および(4)からなる群より選ばれる1種以上の化合物であることが好ましい前記光溶融型接着剤組成物に関する。
一般式(1):
JPEG
2025151318000001.jpg
25
160
(一般式(1)中、R
1
、R
2
、R
3
およびR
4
は独立してメチル基またはエチル基を表し、R
5
は炭素数1~6のアルキル基、またはフェニル基を表し、R
6
は独立した置換基であって、炭素数1~4のアルキル基、炭素数1~4のアルコキシ基、または塩素原子を表し、nは0から2の整数を表す。)で表される過酸化結合を有するチオキサントン誘導体。
一般式(2):
JPEG
2025151318000002.jpg
47
160
(一般式(2)中、R
7
およびR
8
は独立してメチル基またはエチル基を表す。R
9
は炭素数1~5の脂肪族炭化水素基、またはアルキル基を有してもよい炭素数6~9の芳香族炭化水素基を表す。Xは下記一般式(2-a):Ar
1
、Ar
2
、Ar
3
またはAr
4
で表されるアリール基である。nは0から2の整数を表す。)で表される過酸化結合を有するトリアジン誘導体。
JPEG
2025151318000003.jpg
30
160
(一般式(2-a)中、mは0から3の整数を表す。R
10
は、独立した置換基であって、炭素数1から18のアルキル基、一般式(2-b):R
11
-Y-で表される置換基、ニトロ基、またはシアノ基を表す。前記Yは、酸素原子または硫黄原子を表す。前記R
11
は、炭素骨格中に、エーテル結合、チオエーテル結合、および、末端に水酸基のいずれか1つ以上を有していてもよい炭素数1から18の炭化水素基、アルキル基を有してもよい炭素数6~9の芳香族炭化水素基、または炭素数1~8のアシル基を表す。あるいは、R
10
は隣接する2つの前記一般式(2-b):R
11
-Y-により5~6員環を形成してもよい。)
一般式(3):
JPEG
2025151318000004.jpg
41
160
(一般式(3)中、R
12
およびR
13
は独立してメチル基またはエチル基、R
14
は炭素数1~5の脂肪族炭化水素基、またはアルキル基を有してもよい炭素数6~9の芳香族炭化水素基を表し、R
15
は置換されていてもよい炭素数1~20の脂肪族炭化水素基、置換されていてもよい炭素数6~20の芳香族炭化水素基、置換されていてもよい炭素数2~20の複素環含有基、置換されていてもよい炭素数1~20のアシル基、-Y-R、または-N-RR’であって、Yは酸素原子または硫黄原子を表し、RおよびR’は独立して水素原子、置換されていてもよい炭素数1~20の脂肪族炭化水素基、置換されていてもよい炭素数6~20の芳香族炭化水素基、置換されていてもよい炭素数2~20の複素環含有基を表す。Arは下記一般式(3-a):Ar
5
、Ar
6
、Ar
7
またはAr
8
で表されるアリール基である。)で表される過酸化結合を有するトリアジン誘導体。
JPEG
2025151318000005.jpg
29
160
(一般式(3-a)中、mは0から3の整数を表す。R
16
は、独立した置換基であって、炭素数1から18のアルキル基、一般式(3-b):R
17
-Y-で表される置換基、ニトロ基、またはシアノ基を表す。前記Yは、酸素原子または硫黄原子を表す。前記R
17
は、炭素骨格中に、エーテル結合、チオエーテル結合、および、末端に水酸基のいずれか1つ以上を有していてもよい炭素数1から18の炭化水素基、アルキル基を有してもよい炭素数6~9の芳香族炭化水素基、または炭素数1~8のアシル基を表す。あるいは、R
16
は隣接する2つの前記一般式(3-b):R
17
-Y-により5~6員環を形成してもよい。)
一般式(4):
JPEG
2025151318000006.jpg
32
157
(一般式(4)中、R
18
およびR
19
は、独立して、炭素数4~8のアルキル基、または炭素数9~12のアラルキル基であり、R
20
およびR
21
は、独立して、水素原子、炭素数1~8のアルキル基、炭素数4~8のアルコキシ基、または炭素数9~12のアラルキルオキシ基である。)で表される過酸化結合を有するベンゾフェノン誘導体。
【0010】
また、本発明は、前記光溶融型接着剤組成物から形成される接着剤層を介して、第1の被着体と第2の被着体が固着している積層体に関する。
(【0011】以降は省略されています)
この特許をJ-PlatPat(特許庁公式サイト)で参照する
関連特許
日油株式会社
皮膚化粧料
1か月前
日油株式会社
毛髪化粧料
1か月前
日油株式会社
皮膚保湿剤
24日前
日油株式会社
パック化粧料
4日前
日油株式会社
重合性組成物
24日前
日油株式会社
導電性組成物
4日前
日油株式会社
導電性組成物
24日前
日油株式会社
化粧料用組成物
1か月前
日油株式会社
深共晶溶媒及び電解質
1か月前
日油株式会社
製菓用グルテン改質剤
24日前
日油株式会社
分散剤及び樹脂組成物
19日前
日油株式会社
カルボン酸チタン組成物
1か月前
日油株式会社
製パン用グルテン改質剤
24日前
日油株式会社
水中油型日焼け止め化粧料
1か月前
日油株式会社
リン酸ジエステルの製造方法
19日前
日油株式会社
穀粉生地用改質剤、穀粉生地、及び食品
24日前
日油株式会社
スルホン酸(メタ)アクリレート組成物
1か月前
日油株式会社
ペルフルオロアシル過酸化物の製造方法。
23日前
日油株式会社
無線起爆雷管および無線起爆雷管用アンテナ
24日前
日油株式会社
イソプロぺニルフェノール共重合体の製造方法
23日前
国立研究開発法人物質・材料研究機構
樹脂組成物
1か月前
日油株式会社
保護層形成用組成物、保護層、及び保護層の製造方法
23日前
日油株式会社
共重合体、半導体封止用改質剤及び半導体封止材組成物
26日前
学校法人近畿大学
眼表面薬物滞留化剤および該剤を含有する点眼剤
1か月前
日油株式会社
無線起爆システム用中継装置および中継装置用アンテナおよび起爆方法
24日前
日油株式会社
動物油脂風味増強剤、動物油脂含有飲食品、及び動物油脂風味増強方法
1か月前
日油株式会社
水中油型乳化油脂組成物、および水中油型乳化油脂組成物を含有する食品
23日前
日油株式会社
製菓用液糖組成物およびその製造方法、ケーキ生地およびその製造方法、ならびにケーキ
1か月前
日油株式会社
接着剤組成物、光溶融型接着剤、光溶融型接着剤を用いた積層体および光溶融型接着剤を用いた製造方法
24日前
日油株式会社
高純度の2-アミノエチルメタクリレート塩酸塩及び該塩酸塩を構成単位として含む共重合体、並びに、2-アミノエチルメタクリレート塩酸塩の製造方法
19日前
日本化薬株式会社
インク
1か月前
ベック株式会社
水性被覆材
25日前
ベック株式会社
被膜形成方法
2か月前
ベック株式会社
被膜形成方法
26日前
株式会社日本触媒
インクセット
1か月前
日本化薬株式会社
インク組成物
1か月前
続きを見る
他の特許を見る