TOP
|
特許
|
意匠
|
商標
特許ウォッチ
Twitter
他の特許を見る
10個以上の画像は省略されています。
公開番号
2025164548
公報種別
公開特許公報(A)
公開日
2025-10-30
出願番号
2024068586
出願日
2024-04-19
発明の名称
アクティブノイズ制御装置、アクティブノイズ制御方法及びアクティブノイズ制御プログラム
出願人
株式会社トランストロン
代理人
個人
主分類
G10K
11/178 20060101AFI20251023BHJP(楽器;音響)
要約
【課題】どのような状況でも安定してアクティブノイズキャンセレーション(ANC)を行うアクティブノイズ制御装置、方法及びプログラムを提供する。
【解決手段】車両において、適応フィルタを用いたアクティブノイズ制御装置1は、車両における騒音に基づいて生成された参照信号を生成する参照信号生成部と、参照信号に音響特性を積算した結果及び誤差信号に基づいて適応フィルタを更新する適応フィルタ更新部と、参照信号に、更新された適応フィルタを畳み込んで出力信号を生成する出力信号生成部と、を備える。適応フィルタ更新部は、係数更新アルゴリズムを用いて適応フィルタを更新し、更新された後の適応フィルタの振幅と適応フィルタの振幅の上限値である振幅上限値と周波数との関係を示す上限値情報とを周波数毎に比較し、更新された後の適応フィルタの振幅が上限値情報より大きい場合には更新された後の適応フィルタの振幅を振幅上限値に置きかえる。
【選択図】図2
特許請求の範囲
【請求項1】
車両における騒音に基づいて生成された参照信号を信号処理して出力信号を生成する適応フィルタを、スピーカから前記出力信号を出力したときにマイクロホンから入力された誤差信号に基づいて逐次的に更新するアクティブノイズ制御装置であって、
前記参照信号を生成する参照信号生成部と、
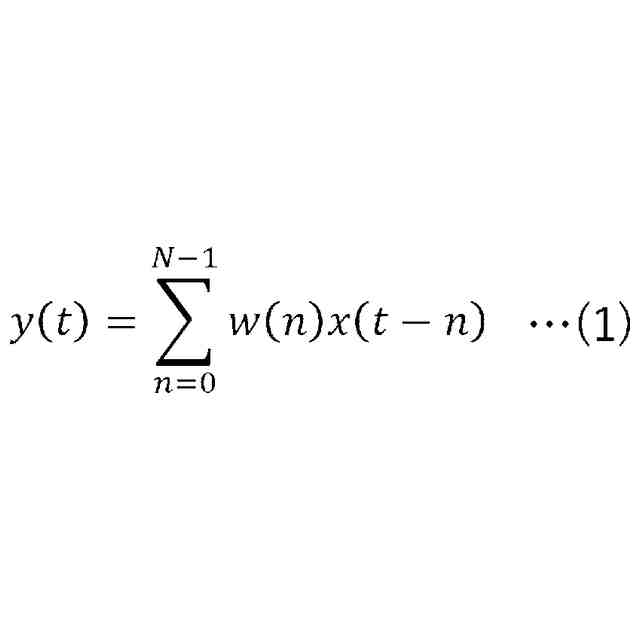
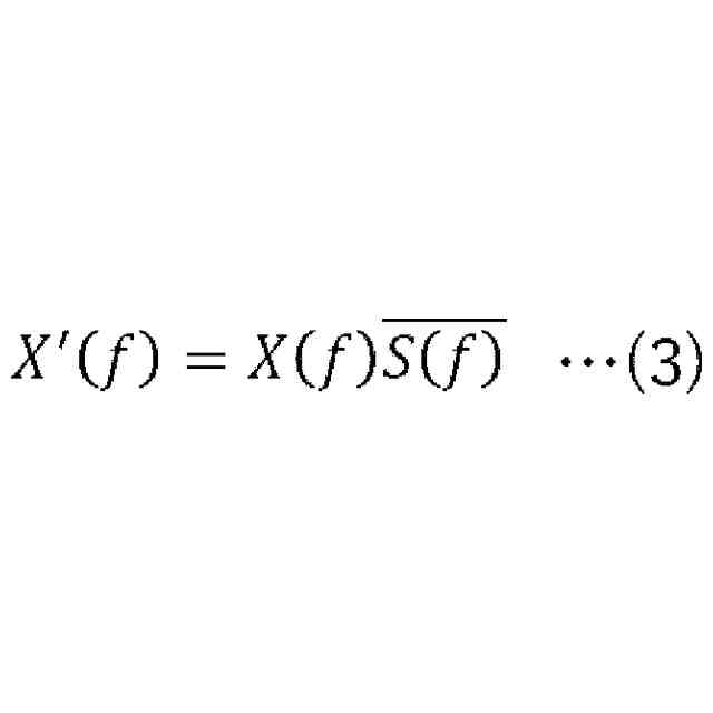
前記参照信号に音響特性を積算した結果及び前記誤差信号に基づいて前記適応フィルタを更新する適応フィルタ更新部と、
前記参照信号に前記適応フィルタ更新部により更新された適応フィルタを畳み込んで前記出力信号を生成する出力信号生成部と、
を備え、
前記適応フィルタ更新部は、
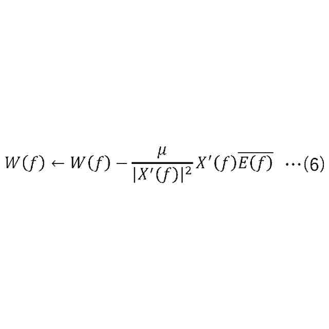
係数更新アルゴリズムを用いて前記適応フィルタを更新し、
当該更新された後の適応フィルタの振幅と、前記適応フィルタの振幅の上限値である振幅上限値と周波数との関係を示す上限値情報と、を周波数毎に比較し、前記更新された後の適応フィルタの振幅が前記上限値情報より大きい場合には前記更新された後の適応フィルタの振幅を前記振幅上限値に置きかえる
ことを特徴とするアクティブノイズ制御装置。
続きを表示(約 2,000 文字)
【請求項2】
前記参照信号生成部及び前記適応フィルタ更新部を任意の時間だけ動作させることで得られた振幅の最大値を前記振幅上限値とする
ことを特徴とする請求項1に記載のアクティブノイズ制御装置。
【請求項3】
前記振幅上限値は、前記最大値に補正係数を積算した値であり、
前記補正係数は、1以上かつ2以下の任意の値である
ことを特徴とする請求項2に記載のアクティブノイズ制御装置。
【請求項4】
前記車両の車速を取得する車速取得部を備え、
前記適応フィルタ更新部は、前記車速取得部により取得された車速に基づいて前記上限値情報を異ならせる
ことを特徴とする請求項1から3のいずれか一項に記載のアクティブノイズ制御装置。
【請求項5】
前記適応フィルタ更新部は、
少なくとも、第1の車速における前記上限値情報である第1上限値情報と、前記第1の車速と異なる車速である第2の車速における前記上限値情報である第2上限値情報と、を保持しており、
前記車速取得部により取得された車速に基づいて前記第1上限値情報又は前記第2上限値情報を用いて前記適応フィルタの振幅の上限値を制限する
ことを特徴とする請求項4に記載のアクティブノイズ制御装置。
【請求項6】
前記車両が走行する路面の荒れ具合を取得する路面状況取得部を備え、
前記適応フィルタ更新部は、前記路面状況取得部により取得された路面の荒れ具合に基づいて前記上限値情報を異ならせる
ことを特徴とする請求項4又は5に記載のアクティブノイズ制御装置。
【請求項7】
前記車両のギア段を取得するギア段取得部を備え、
前記適応フィルタ更新部は、前記ギア段取得部により取得されたギア段に基づいて前記上限値情報を異ならせる
ことを特徴とする請求項1に記載のアクティブノイズ制御装置。
【請求項8】
前記参照信号生成部は、前記車両のエンジンの回転数に基づいて前記参照信号を生成し、
前記振幅上限値は、前記参照信号生成部及び前記適応フィルタ更新部を任意の時間だけ動作させることで得られた振幅の最大値に補正係数を積算した値であり、
前記補正係数は、1以上かつ2以下の任意の値である
ことを特徴とする請求項7に記載のアクティブノイズ制御装置。
【請求項9】
車両における騒音に基づいて生成された参照信号を信号処理して出力信号を生成する適応フィルタを、スピーカから前記出力信号を出力したときにマイクロホンから入力された誤差信号に基づいて逐次的に更新するアクティブノイズ制御方法であって、
前記参照信号を生成する参照信号生成ステップと、
前記参照信号に音響特性を積算した結果及び前記誤差信号に基づいて前記適応フィルタを更新する適応フィルタ更新ステップと、
前記参照信号に前記適応フィルタ更新ステップで更新された適応フィルタを畳み込んで前記出力信号を生成する出力信号生成ステップと、
を含み、
前記適応フィルタ更新ステップは、
係数更新アルゴリズムを用いて前記適応フィルタを更新し、
当該更新された後の適応フィルタの振幅と、前記適応フィルタの振幅の上限値である振幅上限値と周波数との関係を示す上限値情報と、を周波数毎に比較し、前記更新された後の適応フィルタの振幅が前記上限値情報より大きい場合には前記更新された後の適応フィルタの振幅を前記振幅上限値に置きかえる
ことを特徴とするアクティブノイズ制御方法。
【請求項10】
車両における騒音に基づいて生成された参照信号を信号処理して出力信号を生成する適応フィルタを、スピーカから前記出力信号を出力したときにマイクロホンから入力された誤差信号に基づいて逐次的に更新するアクティブノイズ制御プログラムであって、
コンピュータを、
前記参照信号を生成する参照信号生成部、
前記参照信号に音響特性を積算した結果及び前記誤差信号に基づいて前記適応フィルタを更新する適応フィルタ更新部、
前記参照信号に前記適応フィルタ更新部により更新された適応フィルタを畳み込んで前記出力信号を生成する出力信号生成部、
として機能させ、
前記適応フィルタ更新部は、
係数更新アルゴリズムを用いて前記適応フィルタを更新し、
当該更新された後の適応フィルタの振幅と、前記適応フィルタの振幅の上限値である振幅上限値と周波数との関係を示す上限値情報と、を周波数毎に比較し、前記更新された後の適応フィルタの振幅が前記上限値情報より大きい場合には前記更新された後の適応フィルタの振幅を前記振幅上限値に置きかえる
ことを特徴とするアクティブノイズ制御プログラム。
発明の詳細な説明
【技術分野】
【0001】
本発明は、アクティブノイズ制御装置、アクティブノイズ制御方法及びアクティブノイズ制御プログラムに関する。
続きを表示(約 2,900 文字)
【背景技術】
【0002】
騒音をマイクロホンで検出し、振幅が同一で逆位相となる制御音をスピーカから出力することによって騒音を打ち消すアクティブノイズ制御装置(ANC、Active Noise Controller)が知られている。例えば、エンジンこもり音やロードノイズを低減する車載のANCが存在している。
【0003】
特許文献1には、適応伝達特性と、センサから受信するノイズ信号とに基づいてアンチノイズ信号を生成するように構成される少なくとも1つの制御可能フィルタであって、少なくとも1つの制御可能フィルタの適応伝達特性が、フィルタ係数のセットにより特徴付けられる、少なくとも1つの制御可能フィルタと、プロセッサ及びメモリを含み、ノイズ信号と、車両の車室内に位置するマイクから受信するエラー信号とに基づいてフィルタ係数のセットを適応させるようにプログラムされた適応フィルタコントローラと、少なくとも適応フィルタコントローラと通信する発散コントローラであって、少なくとも1つの制御可能フィルタの適応伝達特性の現在の適応に対応するフィルタ係数のセットを受け取ることと、フィルタ係数のセットの少なくとも一部分の分析に基づいてパラメータを計算することと、パラメータの閾値に対する比較に基づいて少なくとも1つの制御可能フィルタの発散を検出することと、を行うようにプログラムされたプロセッサ及びメモリを含む発散コントローラと、を備えるアクティブノイズキャンセレーション(ANC)システムが開示されている。
【先行技術文献】
【特許文献】
【0004】
特開2020-184070号公報
【発明の概要】
【発明が解決しようとする課題】
【0005】
車載ANCにおいて、様々な要因でANCが不安定になることがある。ANCが不安定になる要因は、(1)ステップサイズμが大きすぎる、(2)スピーカ22からマイクロホン21までの音響特性のディップ、(3)窓を開けたりマイクの近くに障害物を置いたりする等が原因で音響特性が事前の測定値からズレる、(4)窓開け時の風圧やマイク付近を叩く等して極端に大きな信号が入力される、等が考えられる。ANCが不安定になると、「ボンボン」と大きな音が鳴ったり、最悪の場合には出力が発散して大きな音が鳴り続けたりする。
【0006】
特許文献1に記載の発明では、適応フィルタの振幅が所定の閾値を超えた場合に発散を検知してANCを停止したりANCの制御を弱めたりするため、発散を検知するまでに非常に大きい音が鳴ってしまう。すなわち、特許文献1に記載の発明では、安定してANCを行うことができない。
【0007】
本発明はこのような事情に鑑みてなされたもので、どのような状況でも安定してANCを行うことができるアクティブノイズ制御装置、アクティブノイズ制御方法及びアクティブノイズ制御プログラムを提供することを目的とする。
【課題を解決するための手段】
【0008】
上記課題を解決するために、本発明に係るアクティブノイズ制御装置は、例えば、車両における騒音に基づいて生成された参照信号を信号処理して出力信号を生成する適応フィルタを、スピーカから前記出力信号を出力したときにマイクロホンから入力された誤差信号に基づいて逐次的に更新するアクティブノイズ制御装置であって、前記参照信号を生成する参照信号生成部と、前記参照信号に音響特性を積算した結果及び前記誤差信号に基づいて前記適応フィルタを更新する適応フィルタ更新部と、前記参照信号に前記適応フィルタ更新部により更新された適応フィルタを畳み込んで前記出力信号を生成する出力信号生成部と、を備え、前記適応フィルタ更新部は、係数更新アルゴリズムを用いて前記適応フィルタを更新し、当該更新された後の適応フィルタの振幅と、前記適応フィルタの振幅の上限値である振幅上限値と周波数との関係を示す上限値情報と、を周波数毎に比較し、前記更新された後の適応フィルタの振幅が前記上限値情報より大きい場合には前記更新された後の適応フィルタの振幅を前記振幅上限値に置きかえることを特徴とする。
【0009】
上記課題を解決するために、本発明に係るアクティブノイズ制御方法は、例えば、車両における騒音に基づいて生成された参照信号を信号処理して出力信号を生成する適応フィルタを、スピーカから前記出力信号を出力したときにマイクロホンから入力された誤差信号に基づいて逐次的に更新するアクティブノイズ制御方法であって、前記参照信号を生成する参照信号生成ステップと、前記参照信号に音響特性を積算した結果及び前記誤差信号に基づいて前記適応フィルタを更新する適応フィルタ更新ステップと、前記参照信号に前記適応フィルタ更新ステップで更新された適応フィルタを畳み込んで前記出力信号を生成する出力信号生成ステップと、を含み、前記適応フィルタ更新ステップは、係数更新アルゴリズムを用いて前記適応フィルタを更新し、当該更新された後の適応フィルタの振幅と、前記適応フィルタの振幅の上限値である振幅上限値と周波数との関係を示す上限値情報と、を周波数毎に比較し、前記更新された後の適応フィルタの振幅が前記上限値情報より大きい場合には前記更新された後の適応フィルタの振幅を前記振幅上限値に置きかえることを特徴とする。
【0010】
上記課題を解決するために、本発明に係るアクティブノイズ制御プログラムは、例えば、車両における騒音に基づいて生成された参照信号を信号処理して出力信号を生成する適応フィルタを、スピーカから前記出力信号を出力したときにマイクロホンから入力された誤差信号に基づいて逐次的に更新するアクティブノイズ制御プログラムであって、コンピュータを、前記参照信号を生成する参照信号生成部、前記参照信号に音響特性を積算した結果及び前記誤差信号に基づいて前記適応フィルタを更新する適応フィルタ更新部、前記参照信号に前記適応フィルタ更新部により更新された適応フィルタを畳み込んで前記出力信号を生成する出力信号生成部、として機能させ、前記適応フィルタ更新部は、係数更新アルゴリズムを用いて前記適応フィルタを更新し、当該更新された後の適応フィルタの振幅と、前記適応フィルタの振幅の上限値である振幅上限値と周波数との関係を示す上限値情報と、を周波数毎に比較し、前記更新された後の適応フィルタの振幅が前記上限値情報より大きい場合には前記更新された後の適応フィルタの振幅を前記振幅上限値に置きかえることを特徴とする。
なお、コンピュータプログラムは、インターネット等のネットワークを介したダウンロードによって提供したり、CD-ROMなどのコンピュータ読取可能な各種の記録媒体に記録して提供したりすることができる。
(【0011】以降は省略されています)
この特許をJ-PlatPat(特許庁公式サイト)で参照する
関連特許
個人
遮音材
19日前
個人
管楽器用リガチャ-
1か月前
個人
歌唱補助器具
28日前
個人
音声出力装置
19日前
横浜ゴム株式会社
音響材
12日前
大和ハウス工業株式会社
音低減設備
29日前
DIC株式会社
吸音材及び吸音部品
1か月前
個人
管楽器用音質改善留め具
6日前
NOK株式会社
吸音構造体
21日前
矢崎総業株式会社
車両用対話システム
20日前
横浜ゴム株式会社
多層空洞音響材
19日前
株式会社SinasSP
自動騒音低減装置
1か月前
株式会社第一興商
カラオケ装置
20日前
ヤマハ株式会社
音処理装置及び音処理方法
6日前
有限会社ツバサ
エレキギターおよび保護フィルム付きの樹脂プレート
1か月前
有限会社 宮脇工房
モーター挙動音発生装置
28日前
株式会社SUBARU
乗物用遮音構造体、及び車両
1か月前
株式会社デンソー
制御装置、制御方法、及び制御プログラム
12日前
株式会社第一興商
カラオケ装置、カラオケシステム
14日前
固昌通訊股ふん有限公司
音響調整装置
1か月前
株式会社コルグ
楽音信号変換装置、楽音信号変換方法、プログラム
22日前
株式会社東芝
発話言語理解のためのシステムおよび方法
1か月前
安克創新科技股フン有限公司
通話ノイズキャンセリング方法及びイヤホン
1か月前
株式会社枚方技研
方向付き楽器固定具
20日前
カシオ計算機株式会社
情報処理装置、演奏装置、方法およびプログラム
1か月前
株式会社デンソー
制御装置、ロボットシステム、制御方法、及び制御プログラム
27日前
パイオニア株式会社
音声出力装置
1か月前
日本放送協会
エンコーダー・デコーダー装置、推論装置、およびプログラム
1か月前
パイオニア株式会社
効果音出力装置
29日前
エムケイ無線事業協同組合
音声応答システム、及びそれを利用した応答方法
29日前
ピクシーダストテクノロジーズ株式会社
遮音ユニット、遮音構造体、および区画設備
21日前
ヤマハ株式会社
音響信号処理装置、楽器、音響信号処理方法および音響信号処理プログラム
1か月前
株式会社デンソーテン
情報処理装置、情報処理方法、および情報処理プログラム
1か月前
株式会社イービーエム
音声分析装置、音声分析システム、音声分析方法、及び音声分析プログラム
12日前
カシオ計算機株式会社
電子鍵盤楽器
21日前
ヤマハ株式会社
コード推定装置およびコード推定方法
今日
続きを見る
他の特許を見る