TOP
|
特許
|
意匠
|
商標
特許ウォッチ
Twitter
他の特許を見る
10個以上の画像は省略されています。
公開番号
2025160148
公報種別
公開特許公報(A)
公開日
2025-10-22
出願番号
2025064108
出願日
2025-04-09
発明の名称
自己集光効果を有する非線形光導波路の製造方法
出願人
山東師範大学
,
SHANDONG NORMAL UNIVERSITY
代理人
個人
主分類
G02F
1/365 20060101AFI20251015BHJP(光学)
要約
【課題】光導波路自体の周波数変換効率を向上させるために、集光能力を有する光導波路の製造方法を提供する。
【解決手段】集光能力を有する光導波路の製造方法は、S1:加工準備、S2:高エネルギイオン照射、S3:副次高エネルギイオン照射、S4:表面パターン化加工などのステップを含む。本発明によれば、光導波路及び周波数変換器がさらに提供される。本発明で提供される製造方法によって製造された光導波路構造は、集光能力を有し、光導波路コアの断面寸法を縮減することなく、ライトフィールドが光導波路の中心へ収束するように拘束し、光導波路自体の周波数変換効率を向上させ、周波数変換器として具体的な光路に適用することを容易にし、光路全体の光周波数変換効率の向上に寄与する。
【選択図】図3
特許請求の範囲
【請求項1】
下記のステップS1からS4を含む集光能力を有する光導波路の製造方法であって、
S1加工準備:加工に必要な非線形光学結晶を用意し、加工に必要な重イオンの種類及び照射過程関連パラメータの大きさを確定し、
S2高エネルギイオン照射:高エネルギを有するように重イオンを加速させ、高エネルギを有する重イオンを前記非線形光学結晶に衝突させることで、深さ方向に沿って非線形光学結晶の第1深さに第1屈折率低下ピークを形成することにより一次加工結晶が得られ、
S3副次高エネルギイオン照射:副次高エネルギを有するように重イオンを加速させ、副次高エネルギを有する重イオンを前記一次加工結晶に衝突させることで、深さ方向に沿って前記一次加工結晶の第2深さに第2屈折率低下ピークを形成することにより二次加工結晶が得られ、
S4表面パターン化加工:前記二次加工結晶を分割して成形光導波路が得られ、
前記S4表面パターン化加工は、下記のサブステップS41とS42を含み、
S41:表面エッチング装置を用いて前記二次加工結晶の上面をエッチングして第1光導波路側壁を形成し、
S42:表面エッチング装置を用いて前記二次加工結晶の上面をエッチングして第2光導波路側壁を形成し、前記第1光導波路側壁と前記第2光導波路側壁によって囲まれた部分を成形光導波路とし、
前記第1、第2光導波路側壁は、前記二次加工結晶の光入力端面から光出力端面まで延在し、
前記二次加工結晶の光入力端面からその光出力端面まで、前記第1光導波路側壁は、順次第1入力領域、第1過渡領域及び第1出力領域を含み、前記第2光導波路側壁は、順次第2入力領域、第2過渡領域及び第2出力領域を含み、
前記二次加工結晶の光入力端面からその光出力端面まで、前記第1入力領域と前記第2入力領域は、長さが同じでありかつ互いに平行であり、前記第1過渡領域と前記第2過渡領域は、長さが同じであり、両者の間の距離が徐々に小さくなり、前記第1出力領域と前記第2出力領域は、長さが同じでありかつ互いに平行であり、
ここで、前記S4において、fsレーザ加工システムを表面エッチング装置として使用して前記二次加工結晶を分割することを特徴とする、製造方法。
続きを表示(約 1,200 文字)
【請求項2】
前記S2高エネルギイオン照射は、下記のサブステップS21からS23を含み、
S21:前記非線形光学結晶を照射ターゲット室に置き、
S22:高エネルギイオン加速器により高エネルギを有するように重イオンを加速させ、
S23:高エネルギイオンビームを前記非線形光学結晶に衝突させることで、前記非線形光学結晶の深さ方向に沿って第1光障壁を形成し、前記第1光障壁は、前記非線形光学結晶の第1深さ位置に第1屈折率低下ピークが存在し、照射終了後、前記一次加工結晶が得られることを特徴とする、請求項1に記載の製造方法。
【請求項3】
前記S3副次高エネルギイオン照射は、下記のサブステップS31からS33を含み、
S31:前記一次加工結晶を照射ターゲット室に置き、
S32:高エネルギイオン加速器により副次高エネルギを有するように重イオンを加速させ、
S33:副次高エネルギイオンビームを前記一次加工結晶に衝突させることで、前記一次加工結晶の深さ方向に沿って第2光障壁を形成し、前記第2光障壁は、前記一次加工結晶の第2深さ位置に第2屈折率低下ピークが存在し、照射終了後、前記二次加工結晶が得られることを特徴とする、請求項2に記載の製造方法。
【請求項4】
前記S2高エネルギイオン照射と前記S3副次高エネルギイオン照射において使用される重イオンは、種類が同じであることを特徴とする、請求項3に記載の製造方法。
【請求項5】
高エネルギイオンビームが有するエネルギは、前記副次高エネルギイオンビームが有するエネルギよりも大きいことを特徴とする、請求項4に記載の製造方法。
【請求項6】
前記S1加工準備は、下記のサブステップS11からS15を含み、
S11:原石から規則的な形状を有するブロックを切り出して原料非線形光学結晶とし、
S12:前記原料非線形光学結晶の上面、光入力端面及び光出力端面を表面研磨して加工に必要な前記非線形光学結晶が得られ、
S13:前記成形光導波路の導光必要に応じて重イオンの種類を選択し、
S14:前記成形光導波路に必要な前記第1光障壁を分析し、前記第1屈折率低下ピークの第1深さに基づいて高エネルギイオンビームが有するエネルギの大きさを確定し、
S15:前記成形光導波路に必要な前記第2光障壁を分析し、前記第1屈折率低下ピークの第2深さに基づいて副次高エネルギイオンビームが有するエネルギの大きさを確定することを特徴とする、請求項5に記載の製造方法。
【請求項7】
請求項1から6のいずれか1項に記載の製造方法によって製造される光導波路。
【請求項8】
請求項7に記載の光導波路を有する、周波数変換器。
発明の詳細な説明
【技術分野】
【0001】
本発明は、光学材料、集積光学の技術分野に関し、特に光導波路に関する。
続きを表示(約 2,600 文字)
【背景技術】
【0002】
非線形光学結晶は、2次非線形分極応答特性を有し、光が非線形光学結晶を通過するとき、一部の光の周波数が変化し、新しい振動周波数で前方に伝播するため、非線形光学結晶は、光周波数変換器として広く使用され、光導波路として製造され、具体的な集積光路アセンブリに適用され、光の波長範囲、変調光の強度及び位相などのパラメータを拡張する。
【0003】
上記光の非線形変換過程において、非線形光学結晶における周波数変換光の強度は基本周波数光パワー密度の二乗に比例し、光の変換効率も非線形光学結晶における基本周波数光のパワー密度に比例し、光導波路における基本周波数光のパワー密度は基本周波数光パワーに比例し、光導波路の伝送断面積に反比例する。従って、非線形光学結晶を基質として光導波路を製造し、それを具体的な集積光路に応用して光周波数変換器とすることは、光路がより優れた非線形性能を得ることに寄与し、体積が小さく、構造がコンパクトな光デバイスを容易に得ることができ、オンチップ集積がより容易である。
【0004】
非線形光学結晶で製造された光導波路の周波数変換効率をさらに向上させるために、従来技術でよく用いられる方法は、光導波路のコアのサイズをさらに縮小して、光導波路の伝送断面積をさらに低減することである。しかしながら、光導波路の横断面積を縮小して光導波路の周波数変換効率を向上させる方法は、光導波路の製造技術に対してより高い要求を提出するだけでなく、製造された光導波路は、コア断面が小さいため、従来の光導波路の端面結合装置は、出力のスポットサイズが大きいため、それとマッチングすることも困難であり、端面結合装置と光導波路との間の結合効率が低く、光が深刻に損失する。
【発明の概要】
【0005】
上記の事情に鑑み、非線形光学結晶を基質とする光導波路の製造方法を提供する必要がある。この製造方法によって製造された光導波路構造は、集光能力を有し、光導波路コアの断面寸法を縮減することなく、ライトフィールドが光導波路の中心へ収束するように拘束し、光導波路自体の周波数変換効率を向上させ、周波数変換器として具体的な光路に適用することを容易にし、光路全体の光周波数変換効率の向上に寄与する。
【0006】
本発明の技術的手段は、下記である。
本発明によれば、集光能力を有する光導波路の製造方法が提供される。この方法は、下記のステップを含む。
S1加工準備:加工に必要な非線形光学結晶を用意し、加工に必要な重イオンの種類及び照射過程関連パラメータの大きさを確定する。
S2高エネルギイオン照射:高エネルギを有するように重イオンを加速させ、高エネルギを有する重イオンを非線形光学結晶に衝突させることで、深さ方向に沿って非線形光学結晶の第1深さに第1屈折率低下ピークを形成することにより一次加工結晶が得られる。
S3副次高エネルギイオン照射:副次高エネルギを有するように重イオンを加速させ、副次高エネルギを有する重イオンを一次加工結晶に衝突させることで、深さ方向に沿って一次加工結晶の第2深さに第2屈折率低下ピークを形成することにより二次加工結晶が得られる。
S4表面パターン化加工:頂部から下へ光束伝播方向に沿って二次加工結晶を分割して成形光導波路を得る。
【0007】
適切な重イオンを選択し、重イオンを適切な速度レベルに加速させる。このときの重イオンビームは、特定の大きさのエネルギを持つ。このようなエネルギを持つイオンビームを非線形光学結晶に衝突させると、エネルギを持つイオンビームは非線形光学結晶と相互作用し、照射イオンの電子エネルギによる損傷は、材料構造及び材料屈折率の変化に大きな役割を果たし、非線形光学結晶の衝撃を受けた部分の屈折率は大きく変化する。
【0008】
特定の照射イオンに対して、光学結晶材料の電子的阻止能Seに非晶質閾値Se
th
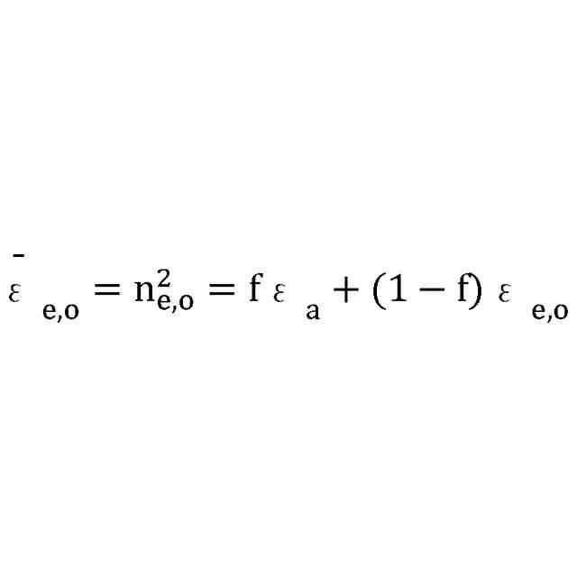
が存在する。電子的阻止能Seがこの非晶質閾値Sethを超えると、照射イオンは、光学結晶において準連続的な非晶質トラックを形成する。このトラックの断面半径rは、Seの大きさに関連する。速い重イオン照射処理された後、光学結晶の誘電率εは、巨視的に非晶質トラックと元の誘電率の加重平均として表される。
TIFF
2025160148000002.tif
13
170
式中、非晶質重み係数fは、現在の重イオン照射線量Φと非晶質トラックの断面積に比例する。
TIFF
2025160148000003.tif
11
170
上式から分かるように、形成された非晶質トラックは、材料の屈折率に対する影響が非常に大きいため、極めて低い照射線量だけで高線量イオン注入と等価の屈折率変化を引き起こすことができる。
【0009】
イオンビームが高エネルギを持つようにイオンビームが持つエネルギを調整し、非線形光学結晶に対して高エネルギイオンのみで照射することにより、高エネルギを持つイオンビームは、非線形光学結晶に電子損傷を引き起こす。非線形光学結晶は、高エネルギイオンにより照射された後、照射された部分の屈折率が変化し、第1深さに第1屈折率低下ピークが現れる。この第1深さの具体的な数値は、高エネルギ射過程におけるイオンビームが有するエネルギの大きさに直接関係する。非線形光学結晶の屈折率に対する高エネルギイオン照射加工の影響を図1に示す。
【0010】
図1は、S1加工準備及びS2高エネルギイオン照射加工を単独で実施した後、照射された非線形光学結晶のその深さ方向に沿う屈折率変化の模式図である。図1において、横座標は、加工を実施された非線形光学結晶の深さ値であり、縦座標は、非線形光学結晶の相対屈折率である。図1から分かるように、高エネルギイオンビームの照射により、非線形光学結晶の屈折率が変化し、非線形光学結晶の表面からその深さ方向へ深くなるにつれて、結晶の屈折率は徐々に低下してから徐々に向上する傾向になり、第1深さd
1
に第1屈折率低下ピークが現れる。
(【0011】以降は省略されています)
この特許をJ-PlatPat(特許庁公式サイト)で参照する
関連特許
山東師範大学
自己集光効果を有する非線形光導波路の製造方法
今日
山東師範大学
補正拡散モデルに基づく画像セグメンテーション方法及びシステム
3か月前
個人
立体像表示装置
8日前
カンタツ株式会社
光学系
今日
住友化学株式会社
偏光板
5日前
住友化学株式会社
垂直偏光板
5日前
東レ株式会社
赤外線遮蔽構成体
8日前
東レ株式会社
貼合体の製造方法
8日前
古河電気工業株式会社
融着機
今日
日本電気株式会社
光集積回路素子
12日前
個人
眼鏡装着位置変更具および眼鏡
6日前
三菱電機株式会社
レンズモジュール
5日前
AGC株式会社
インフィニティミラー
1日前
住友化学株式会社
偏光板
8日前
住友化学株式会社
偏光板
8日前
住友化学株式会社
積層体
12日前
日東電工株式会社
調光フィルム
13日前
新光電気工業株式会社
光導波路部品
5日前
住友化学株式会社
偏光積層体
8日前
新光電気工業株式会社
光導波路部品
5日前
住友化学株式会社
光学積層体
8日前
日本精機株式会社
ヘッドアップディスプレイ装置
13日前
キヤノン株式会社
レンズ装置および撮像装置
13日前
住友ベークライト株式会社
積層体の製造方法
13日前
Orbray株式会社
MEMS光スイッチの制御方法
13日前
古河電気工業株式会社
光モジュール、光接続構造
13日前
住友化学株式会社
偏光板及び画像表示装置
14日前
キヤノン電子株式会社
光学部材、撮像装置及び宇宙航行体
6日前
TDK株式会社
メタサーフェスレンズ
12日前
日東電工株式会社
積層光学部材及び光学装置
12日前
京セラ株式会社
走査装置及び制御装置
12日前
京セラ株式会社
走査装置及び制御装置
12日前
株式会社小糸製作所
画像投影装置
5日前
キヤノン電子株式会社
光学部材、撮像装置及び宇宙航行体
6日前
住友ベークライト株式会社
光学シート
12日前
住友ベークライト株式会社
光学性積層体
12日前
続きを見る
他の特許を見る