TOP
|
特許
|
意匠
|
商標
特許ウォッチ
Twitter
他の特許を見る
10個以上の画像は省略されています。
公開番号
2025151087
公報種別
公開特許公報(A)
公開日
2025-10-09
出願番号
2024052327
出願日
2024-03-27
発明の名称
ポリアミドイミド樹脂
出願人
味の素株式会社
代理人
弁理士法人酒井国際特許事務所
主分類
C08G
73/14 20060101AFI20251002BHJP(有機高分子化合物;その製造または化学的加工;それに基づく組成物)
要約
【課題】優れた誘電特性及び耐熱性を示す硬化物をもたらす樹脂を提供する。
【解決手段】主鎖の末端の少なくとも一方がマレイミド基である、ポリアミドイミド樹脂。一実施形態において、当該ポリアミドイミド樹脂は、下記式(X-4)で表される。
<com:Image com:imageContentCategory="Drawing"> <com:ImageFormatCategory>TIFF</com:ImageFormatCategory> <com:FileName>2025151087000031.tif</com:FileName> <com:HeightMeasure com:measureUnitCode="Mm">33</com:HeightMeasure> <com:WidthMeasure com:measureUnitCode="Mm">170</com:WidthMeasure> </com:Image>
(式(X-4)中、nは1以上の整数を表す。Aはそれぞれ独立に、3価の有機基を表す。Rはそれぞれ独立に、2価の有機基を表す。環Arはそれぞれ独立に、炭素原子数1~10のアルキル基及び炭素原子数1~10のアリール基から選ばれる置換基を有していてもよい炭素原子数6~10の芳香族炭素環を表す。)
【選択図】なし
特許請求の範囲
【請求項1】
主鎖の末端の少なくとも一方がマレイミド基である、ポリアミドイミド樹脂。
続きを表示(約 970 文字)
【請求項2】
主鎖の末端の両方がマレイミド基である、請求項1に記載のポリアミドイミド樹脂。
【請求項3】
トリカルボン酸無水物由来の構造と、ジイソシアネート由来の構造を有する、請求項1に記載のポリアミドイミド樹脂。
【請求項4】
主鎖中にウレタン結合を有する、請求項1に記載のポリアミドイミド樹脂。
【請求項5】
主鎖の末端の少なくとも一方が、マレイミドアリールオキシ基である、請求項1に記載のポリアミドイミド樹脂。
【請求項6】
数平均分子量(Mn)が3000以下である、請求項1に記載のポリアミドイミド樹脂。
【請求項7】
マレイミド基当量が100~1500g/eq.である、請求項1に記載のポリアミドイミド樹脂。
【請求項8】
下記式(X-1)で表される構造単位、及び下記式(X-2)で表される構造単位を有する、請求項1に記載のポリアミドイミド樹脂。
TIFF
2025151087000028.tif
32
170
(式(X-1)中、Aはそれぞれ独立に、3価の有機基を表す。式(X-2)中、Rはそれぞれ独立に、2価の有機基を表す。)
【請求項9】
下記式(X-3)で表される構造単位を有する、請求項1に記載のポリアミドイミド樹脂。
TIFF
2025151087000029.tif
31
170
(式(X-3)中、Aはそれぞれ独立に、3価の有機基を表す。Rはそれぞれ独立に、2価の有機基を表す。)
【請求項10】
下記式(X-4)で表される、請求項1に記載のポリアミドイミド樹脂。
TIFF
2025151087000030.tif
33
170
(式(X-4)中、nは1以上の整数を表す。Aはそれぞれ独立に、3価の有機基を表す。Rはそれぞれ独立に、2価の有機基を表す。環Arはそれぞれ独立に、炭素原子数1~10のアルキル基及び炭素原子数1~10のアリール基から選ばれる置換基を有していてもよい炭素原子数6~10の芳香族炭素環を表す。)
(【請求項11】以降は省略されています)
発明の詳細な説明
【技術分野】
【0001】
本発明は、ポリアミドイミド樹脂に関する。さらには、当該ポリアミドイミド樹脂用いて得られる、硬化性樹脂、樹脂組成物、樹脂シート、プリプレグ、硬化物、回路基板、半導体チップパッケージ、及び半導体装置、並びにポリアミドイミド樹脂の製造方法に関する。
続きを表示(約 3,800 文字)
【背景技術】
【0002】
マレイミド樹脂、エポキシ樹脂等の硬化性樹脂とその硬化剤を含む樹脂組成物は、絶縁性、耐熱性、密着性などに優れる硬化物をもたらすことから、半導体チップパッケージやプリント配線板などの電子部品材料として広く使われてきた。例えば、特許文献1には、融点が40℃以下である特定構造のマレイミド化合物、エポキシ化合物、シアン酸エステル化合物及び無機充填材を含有する熱硬化性樹脂組成物が記載されている。
【先行技術文献】
【特許文献】
【0003】
特開2016-010964号公報
【発明の概要】
【発明が解決しようとする課題】
【0004】
一方、第5世代移動通信システム(5G)などの高速通信では、高周波環境で作動させる際の伝送損失が問題になる。そのため誘電特性(低誘電率、低誘電正接)に優れた絶縁材料が必要となる。また、高周波環境での作動時は電子部品の発熱量が増大する傾向にあり、高速通信用途に使用される絶縁材料には耐熱性のさらなる向上も求められている。
【0005】
特許文献1に記載の樹脂組成物は、従来の樹脂組成物樹脂と比較すると、硬化物のガラス転移温度(耐熱性)は向上しているが、それでも満足できる水準にはなく、誘電特性については言及がない。
【0006】
本発明は、上記課題に鑑みてなされたものであって、優れた誘電特性及び耐熱性を示す硬化物をもたらす樹脂を提供することを目的とする。
【課題を解決するための手段】
【0007】
本発明者らが鋭意検討した結果、主鎖の末端の少なくとも一方がマレイミド基であるポリアミドイミド樹脂によれば上記課題を解決できることを見出し、本発明を完成させた。
【0008】
すなわち、本発明は以下の内容を含む。
[1] 主鎖の末端の少なくとも一方がマレイミド基である、ポリアミドイミド樹脂。
[2] 主鎖の末端の両方がマレイミド基である、[1]に記載のポリアミドイミド樹脂。
[3] トリカルボン酸無水物由来の構造と、ジイソシアネート由来の構造を有する、[1]又は[2]に記載のポリアミドイミド樹脂。
[4] 主鎖中にウレタン結合を有する、[1]~[3]のいずれかに記載のポリアミドイミド樹脂。
[5] 主鎖の末端の少なくとも一方が、マレイミドアリールオキシ基である、[1]~[4]のいずれかに記載のポリアミドイミド樹脂。
[6] 数平均分子量(Mn)が3000以下である、[1]~[5]のいずれかに記載のポリアミドイミド樹脂。
[7] マレイミド基当量が100~1500g/eq.である、[1]~[6]のいずれかに記載のポリアミドイミド樹脂。
[8] 下記式(X-1)で表される構造単位、及び下記式(X-2)で表される構造単位を有する、[1]~[7]のいずれかに記載のポリアミドイミド樹脂。
TIFF
2025151087000001.tif
32
170
(式(X-1)中、Aはそれぞれ独立に、3価の有機基を表す。式(X-2)中、Rはそれぞれ独立に、2価の有機基を表す。)
[9] 下記式(X-3)で表される構造単位を有する、[1]~[8]のいずれかに記載のポリアミドイミド樹脂。
TIFF
2025151087000002.tif
31
170
(式(X-3)中、Aはそれぞれ独立に、3価の有機基を表す。Rはそれぞれ独立に、2価の有機基を表す。)
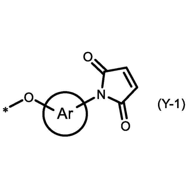
[10] 下記式(X-4)で表される、[1]~[9]のいずれかに記載のポリアミドイミド樹脂。
TIFF
2025151087000003.tif
33
170
(式(X-4)中、nは1以上の整数を表す。Aはそれぞれ独立に、3価の有機基を表す。Rはそれぞれ独立に、2価の有機基を表す。環Arはそれぞれ独立に、炭素原子数1~10のアルキル基及び炭素原子数1~10のアリール基から選ばれる置換基を有していてもよい炭素原子数6~10の芳香族炭素環を表す。)
[11] 式(X-1)中、Aが、炭素原子数3~20であり、かつ6員環を有する3価の有機基である、[8]~[10]のいずれかに記載のポリアミドイミド樹脂。
[12] 式(X-2)中、Rが、炭素原子数1~6のアルキル基及び炭素原子数1~10のアリール基から選ばれる置換基を有していてもよい炭素原子数1~20のアルキレン基、炭素原子数1~6のアルキル基及び炭素原子数1~10のアリール基から選ばれる置換基を有していてもよい炭素原子数1~20のアリーレン基、又はこれらの組み合わせからなる炭素原子数2~30の2価の基である、[8]~[11]のいずれかに記載のポリアミドイミド樹脂。
[13] 式(X-4)中、環Arがベンゼン環である、[10]~[12]のいずれかに記載のポリアミドイミド樹脂。
[14] 式(X-4)中、nが1~20の整数である、[10]~[13]のいずれかに記載のポリアミドイミド樹脂。
[15] (1)トリカルボン酸無水物と、ジイソシアネートを反応させて、末端がイソシアネート基であるポリアミドイミド樹脂を得る工程、及び
(2)末端がイソシアネート基であるポリアミドイミド樹脂と、N-(ヒドロキシアリール)マレイミドを反応させる工程、
を含む、ポリアミドイミド樹脂の製造方法。
[16] 生成物のポリアミドイミド樹脂が、[1]~[14]のいずれかに記載のポリアミドイミド樹脂である、[15]に記載のポリアミドイミド樹脂の製造方法。
[17] [1]~[14]のいずれかに記載のポリアミドイミド樹脂を含む、硬化性樹脂。
[18] [1]~[14]のいずれかに記載のポリアミドイミド樹脂を含有する、樹脂組成物。
[19] さらに、(b)重合開始剤を含有する、[18]に記載の樹脂組成物。
[20] さらに、(c1)エポキシ樹脂を含有する、[18]又は[19]に記載の樹脂組成物。
[21] さらに、(d1)エポキシ樹脂硬化剤を含有する、[18]~[20]のいずれかに記載の樹脂組成物。
[22] さらに、(e)硬化促進剤を含有する、[18]~[21]のいずれかに記載の樹脂組成物。
[23] さらに、(f)熱可塑性樹脂を含有する、[18]~[22]のいずれかに記載の樹脂組成物。
[24] さらに、(g)無機充填材を含有する、[18]~[23]のいずれかに記載の樹脂組成物。
[25] さらに、(h)有機溶剤を含有する、[18]~[24]のいずれかに記載の樹脂組成物。
[26] 回路基板の絶縁層用である、[18]~[25]のいずれかに記載の樹脂組成物。
[27] 半導体封止用である、[18]~[25]のいずれかに記載の樹脂組成物。
[28] 支持体と、該支持体上に設けられた[18]~[27]のいずれかに記載の樹脂組成物の層とを含む、樹脂シート。
[29] 支持体が、熱可塑性樹脂フィルム又は金属箔である、[28]に記載の樹脂シート。
[30] シート状繊維基材に、[18]~[27]のいずれかに記載の樹脂組成物を含浸させてなる、プリプレグ。
[31] [18]~[27]のいずれかに記載の樹脂組成物の硬化物。
[32] [18]~[26]のいずれかに記載の樹脂組成物の硬化物からなる絶縁層を含む、回路基板。
[33] [18]~[25]、[27]のいずれかに記載の樹脂組成物の硬化物からなる封止層を含む、半導体チップパッケージ。
[34] ファンアウト(Fan-Out)型パッケージである、[33]に記載の半導体チップパッケージ。
[35] [32]に記載の回路基板を含む、半導体装置。
[36] [33]に記載の半導体チップパッケージを含む、半導体装置。
【発明の効果】
【0009】
本発明によれば、優れた誘電特性及び耐熱性を示す硬化物をもたらすポリアミドイミド樹脂、当該ポリアミドイミド樹脂を用いて得られる硬化性樹脂、樹脂組成物、樹脂シート、プリプレグ、硬化物、回路基板、半導体チップパッケージ、及び半導体装置、並びにポリアミドイミド樹脂の製造方法を提供することができる。
【発明を実施するための形態】
【0010】
以下、実施形態及び例示物を示して、本発明について詳細に説明する。ただし、本発明は、以下に挙げる実施形態及び例示物に限定されるものではなく、特許請求の範囲及びその均等の範囲を逸脱しない範囲において任意に変更して実施し得る。
(【0011】以降は省略されています)
この特許をJ-PlatPat(特許庁公式サイト)で参照する
関連特許
味の素株式会社
樹脂組成物
3日前
味の素株式会社
樹脂組成物
1か月前
味の素株式会社
樹脂組成物
1か月前
味の素株式会社
樹脂組成物
1か月前
味の素株式会社
樹脂組成物
1か月前
味の素株式会社
樹脂組成物
1か月前
味の素株式会社
樹脂組成物
1か月前
味の素株式会社
樹脂シート
2か月前
味の素株式会社
樹脂シート
2か月前
味の素株式会社
エポキシ樹脂
1か月前
味の素株式会社
基板の製造方法
1か月前
味の素株式会社
マレイミド樹脂
1か月前
味の素株式会社
感光性樹脂組成物
1か月前
味の素株式会社
感光性樹脂組成物
1か月前
味の素株式会社
ミネラル強化食品
1か月前
味の素株式会社
配線板の製造方法
1か月前
味の素株式会社
チャック付き包装袋
1か月前
味の素株式会社
食品包装材料用積層体
24日前
味の素株式会社
ポリアミドイミド樹脂
1か月前
味の素株式会社
高含水米飯食品の製造方法
1か月前
味の素株式会社
ベーカリー食品食感向上剤
1か月前
味の素株式会社
有機無機複合部品の製造方法
24日前
味の素株式会社
包餡麺帯食品及びその製造方法
1か月前
味の素株式会社
腸内環境改善用素材の製造方法
1か月前
味の素株式会社
酵母培養物処理物を含む静菌剤
1か月前
味の素株式会社
集電層に用いられる金属箔積層体
1か月前
味の素株式会社
集電層に用いられる金属箔積層体
1か月前
味の素株式会社
包餡麺帯食品の焼き目形成用組成物
1か月前
味の素株式会社
洋風調味料およびそれを含有する食品
1か月前
味の素株式会社
コーヒー抽出液の香味を改善する方法
1か月前
味の素株式会社
電子レンジ加熱調理用容器入り即席食品
1か月前
東洋濾紙株式会社
アミノ酸定量用試験紙
1か月前
味の素株式会社
クリーミングパウダー及びインスタント飲料用組成物
2か月前
味の素株式会社
バッター液の凍結物の割れにくさが向上した冷凍餃子
1か月前
味の素株式会社
磁性ペースト
1か月前
味の素株式会社
樹脂シート、回路基板及びその製造方法、並びに、半導体装置
2か月前
続きを見る
他の特許を見る