TOP
|
特許
|
意匠
|
商標
特許ウォッチ
Twitter
他の特許を見る
10個以上の画像は省略されています。
公開番号
2025158935
公報種別
公開特許公報(A)
公開日
2025-10-17
出願番号
2025057622
出願日
2025-03-31
発明の名称
酵母培養物処理物を含む静菌剤
出願人
味の素株式会社
代理人
弁理士法人秀和特許事務所
主分類
A23B
2/729 20250101AFI20251009BHJP(食品または食料品;他のクラスに包含されないそれらの処理)
要約
【課題】食品における静菌の技術を提供する。
【解決手段】下記成分(A)を含有する、食品の静菌用組成物:
(A)酵母培養物の濃縮および/または溶媒抽出によって得られる酵母培養物処理物。
【選択図】なし
特許請求の範囲
【請求項1】
下記成分(A)を含有する、食品の静菌用組成物:
(A)酵母培養物の濃縮および/または溶媒抽出によって得られる酵母培養物処理物。
続きを表示(約 600 文字)
【請求項2】
前記酵母が、ウラシル要求性を有する一倍体酵母である、請求項1に記載の組成物。
【請求項3】
前記酵母が、サッカロマイセス属に属する、請求項1に記載の組成物。
【請求項4】
前記酵母が、サッカロマイセス・セレビシエ(Saccharomyces cerevisiae)である、請求項3に記載の組成物。
【請求項5】
前記溶媒抽出に用いる溶媒が、アルコール類、水、またはそれらの混合溶媒である、請求項1に記載の組成物。
【請求項6】
前記溶媒抽出に用いる溶媒が、メタノールである、請求項5に記載の組成物。
【請求項7】
前記成分(A)が下記成分(B)を含有する、請求項1に記載の組成物:
(B)有機酸および/またはその塩。
【請求項8】
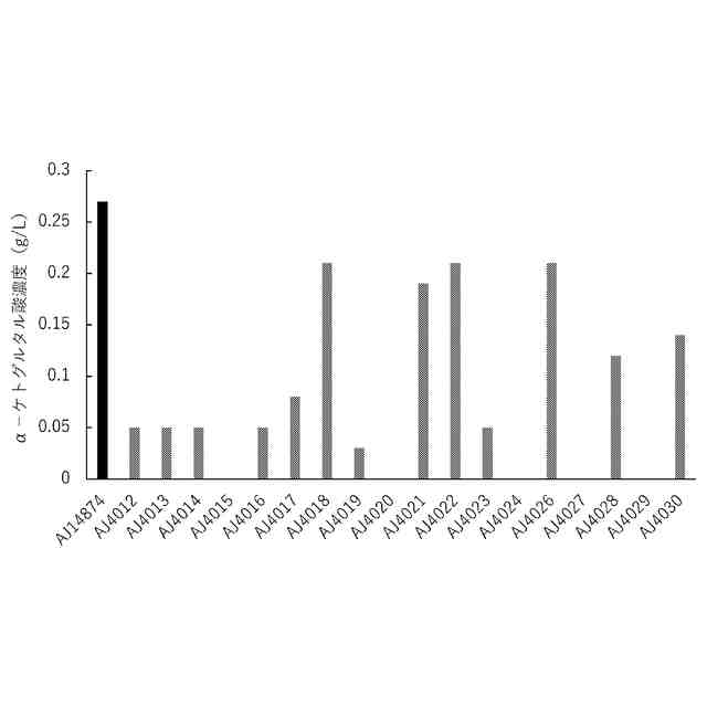
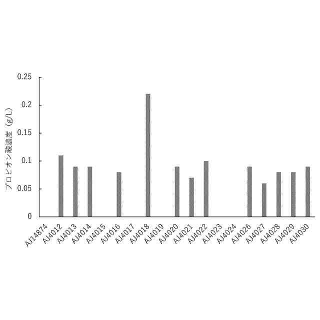
前記有機酸が、リンゴ酸、コハク酸、α-ケトグルタル酸、クエン酸、およびそれらの組み合わせからなる群から選択される、請求項7に記載の組成物。
【請求項9】
前記成分(A)における前記成分(B)の含有量が、酵母培養物のOD620当たり、0.05
~2.5 w/w%である、請求項7に記載の組成物。
【請求項10】
静菌剤である、請求項1~9のいずれか一項に記載の組成物。
(【請求項11】以降は省略されています)
発明の詳細な説明
【技術分野】
【0001】
本発明は、食品における静菌の技術に関するものである。
続きを表示(約 920 文字)
【背景技術】
【0002】
近年、食品の消費期限の徒過等による食品の廃棄が問題となっており、食品ロスを低減する観点から、食品の保存性を向上させることが求められている。食品の保存性を向上させるために、種々の静菌効果を有する物質が利用されている。
【0003】
非特許文献1には、食品に利用可能な静菌効果を有する物質として、乳酸菌が産生するバクテリオシンが開示されている。バクテリオシンとして、例えば、ナイシン等の物質が知られており、ナイシンは日本や欧州で食品保存料として登録されている(非特許文献1)。
【0004】
特許文献1には、他の酵母等に対して抗菌性を有する、酵母が産生するキラートキシンと呼ばれるタンパク質が開示されている。
【0005】
非特許文献2には、麹菌が産生するイーストサイジンと呼ばれる抗菌性物質が開示されている。
【0006】
特許文献2には、大腸菌に代表されるグラム陰性菌と、枯草菌に代表されるグラム陽性菌の両方に対して抗菌作用を示す、酵母が産生する抗菌性物質が開示されている。
【0007】
特許文献3には、吉草酸誘導体が、糖飢餓条件下の微生物の増殖を抑制し、最終的に微生物を殺傷できることが記載されている。
【先行技術文献】
【特許文献】
【0008】
特開平10-075789号公報
特許2545739号公報
特開2021-080217号公報
【非特許文献】
【0009】
善藤威史,石橋直樹,園元謙二:日本乳酸菌学会誌,25, 24 (2014).
穂坂 他「麹菌(A. oryzae)の生産する抗菌性物質(Yeastcidin)の精製と性質」(1991年)発酵工学 第65巻、第3号、191-197.
【発明の概要】
【発明が解決しようとする課題】
【0010】
本発明は、食品における静菌の技術を提供することを課題とする。
【課題を解決するための手段】
(【0011】以降は省略されています)
この特許をJ-PlatPat(特許庁公式サイト)で参照する
関連特許
味の素株式会社
樹脂組成物
11日前
味の素株式会社
樹脂組成物
11日前
味の素株式会社
樹脂シート
21日前
味の素株式会社
樹脂シート
21日前
味の素株式会社
樹脂組成物
6日前
味の素株式会社
樹脂組成物
6日前
味の素株式会社
樹脂組成物
6日前
味の素株式会社
樹脂組成物
6日前
味の素株式会社
エポキシ樹脂
11日前
味の素株式会社
マレイミド樹脂
11日前
味の素株式会社
基板の製造方法
10日前
味の素株式会社
配線板の製造方法
10日前
味の素株式会社
感光性樹脂組成物
17日前
味の素株式会社
感光性樹脂組成物
17日前
味の素株式会社
ミネラル強化食品
10日前
味の素株式会社
チャック付き包装袋
10日前
味の素株式会社
ポリアミドイミド樹脂
11日前
味の素株式会社
ベーカリー食品食感向上剤
5日前
味の素株式会社
高含水米飯食品の製造方法
10日前
味の素株式会社
酵母培養物処理物を含む静菌剤
3日前
味の素株式会社
包餡麺帯食品及びその製造方法
10日前
味の素株式会社
集電層に用いられる金属箔積層体
12日前
味の素株式会社
集電層に用いられる金属箔積層体
12日前
味の素株式会社
包餡麺帯食品の焼き目形成用組成物
11日前
味の素株式会社
コーヒー抽出液の香味を改善する方法
12日前
味の素株式会社
洋風調味料およびそれを含有する食品
10日前
味の素株式会社
電子レンジ加熱調理用容器入り即席食品
11日前
東洋濾紙株式会社
アミノ酸定量用試験紙
13日前
味の素株式会社
バッター液の凍結物の割れにくさが向上した冷凍餃子
3日前
味の素株式会社
磁性ペースト
5日前
味の素株式会社
樹脂シート、回路基板及びその製造方法、並びに、半導体装置
21日前
味の素株式会社
ドライ加熱調理品の製造方法及びドライ加熱調理品製造用組成物
19日前
味の素株式会社
害虫情報提供装置、害虫情報提供方法および害虫情報提供プログラム
10日前
味の素株式会社
麺帯製造装置、包餡食品製造システム、麺帯製造方法及び麺帯製造プログラム
19日前
味の素株式会社
樹脂組成物、樹脂シート及びその製造方法、回路基板及びその製造方法、並びに半導体装置
21日前
味の素株式会社
樹脂組成物、樹脂シート及びその製造方法、回路基板及びその製造方法、並びに半導体装置
21日前
続きを見る
他の特許を見る