TOP
|
特許
|
意匠
|
商標
特許ウォッチ
Twitter
他の特許を見る
10個以上の画像は省略されています。
公開番号
2025145097
公報種別
公開特許公報(A)
公開日
2025-10-03
出願番号
2024045107
出願日
2024-03-21
発明の名称
感光性樹脂組成物
出願人
味の素株式会社
代理人
弁理士法人酒井国際特許事務所
主分類
G03F
7/027 20060101AFI20250926BHJP(写真;映画;光波以外の波を使用する類似技術;電子写真;ホログラフイ)
要約
【課題】限界解像性に優れ、誘電特性に優れる硬化物が得られる感光性樹脂組成物等の提供。
【解決手段】(A)式(A-1)で表される構造単位を有するポリイミド前駆体、(B)2官能の架橋剤、(C)3官能以上の架橋剤、及び(D)光ラジカル発生剤、を含有する感光性樹脂組成物であって、(A)成分の1分子全体に含まれる、式(A-1)中のR
1
及びR
2
の総数を1としたとき、R
1
及びR
2
が不飽和基を含有する割合をAとし、感光性樹脂組成物中に含まれる(B)成分の質量部数をb、及び感光性樹脂組成物中に含まれる(C)成分の質量部数をcとし、B=b/(b+c)としたとき、0.2≦A×B≦0.55の関係を満たす、感光性樹脂組成物。
<com:Image com:imageContentCategory="Drawing"> <com:ImageFormatCategory>TIFF</com:ImageFormatCategory> <com:FileName>2025145097000044.tif</com:FileName> <com:HeightMeasure com:measureUnitCode="Mm">38</com:HeightMeasure> <com:WidthMeasure com:measureUnitCode="Mm">168</com:WidthMeasure> </com:Image>
【選択図】なし
特許請求の範囲
【請求項1】
(A)下記式(A-1)で表される構造単位を有するポリイミド前駆体、
(B)2つのエチレン性不飽和結合及び置換基を有していてもよい炭素原子数8以上の2価の脂肪族炭化水素基を有する架橋剤、
(C)3官能以上の架橋剤、及び
(D)光ラジカル発生剤、
を含有する感光性樹脂組成物であって、
(A)成分の1分子全体に含まれる、式(A-1)中のR
1
及びR
2
の総数を1としたとき、R
1
及びR
2
が式(A-2)で表される基を表す割合をAとし、
感光性樹脂組成物中に含まれる(B)成分の質量部数をb、及び感光性樹脂組成物中に含まれる(C)成分の質量部数をcとし、B=b/(b+c)としたとき、
0.2≦A×B≦0.55の関係を満たす、感光性樹脂組成物。
TIFF
2025145097000042.tif
38
168
(式(A-1)中、X1は、4価の有機基を表し、Y1は、2価の有機基を表し、R
1
及びR
2
はそれぞれ独立に、水素原子、アリル基、ヘテロ原子を含んでいてもよい1価の脂肪族炭化水素基、又は下記式(A-2)で表される基を表す。nは2~200の整数を表す。)
TIFF
2025145097000043.tif
28
141
(式(A-2)中、R
3
~R
5
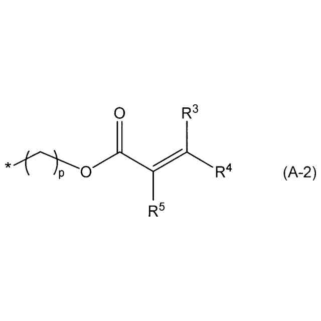
は、それぞれ独立に、水素原子又は炭素原子数1~3の脂肪族炭化水素基を表し、pは1~10の整数を表す。)
続きを表示(約 870 文字)
【請求項2】
感光性樹脂組成物中に含まれる(A)成分の質量部数をa、感光性樹脂組成物中に含まれる(B)成分の質量部数をb、及び感光性樹脂組成物中に含まれる(C)成分の質量部数をcとしたとき、0.8≦a/(a+b+c)≦0.9の関係を満たす、請求項1に記載の感光性樹脂組成物。
【請求項3】
式(A-1)中、R
1
及びR
2
はそれぞれ独立に、アリル基、ヘテロ原子を含んでいてもよい1価の脂肪族炭化水素基、又は下記式(A-2)で表される基を表す、請求項1に記載の感光性樹脂組成物。
【請求項4】
式(A-1)中、R
1
及びR
2
が表す、ヘテロ原子を含んでいてもよい1価の脂肪族炭化水素基の炭素原子数が、1以上20以下である、請求項1に記載の感光性樹脂組成物。
【請求項5】
(A)成分の含有量が、感光性樹脂組成物の不揮発成分を100質量%としたとき、60質量%以上90質量%以下である、請求項1に記載の感光性樹脂組成物。
【請求項6】
(B)成分の含有量が、感光性樹脂組成物の不揮発成分を100質量%としたとき、1質量%以上25質量%以下である、請求項1に記載の感光性樹脂組成物。
【請求項7】
(C)成分の含有量が、感光性樹脂組成物の不揮発成分を100質量%としたとき、0.5質量%以上10質量%以下である、請求項1に記載の感光性樹脂組成物。
【請求項8】
さらに、(D)光重合開始剤を含む、請求項1に記載の感光性樹脂組成物。
【請求項9】
感光性樹脂組成物を180℃で2時間熱硬化させた硬化物の誘電正接が、0.02以下である、請求項1に記載の感光性樹脂組成物。
【請求項10】
支持体上に、請求項1~9のいずれか1項に記載の感光性樹脂組成物からなる感光性樹脂組成物層が形成されている、感光性フィルム。
(【請求項11】以降は省略されています)
発明の詳細な説明
【技術分野】
【0001】
本発明は、感光性樹脂組成物に関する。さらには、当該感光性樹脂組成物を用いて得られる、感光性フィルム、半導体パッケージ基板、及び半導体装置に関する。
続きを表示(約 3,600 文字)
【背景技術】
【0002】
従来、半導体デバイスの絶縁層等には、耐熱性や絶縁性等に優れるポリイミド樹脂が用いられている。またポリイミド樹脂は溶剤への溶解性が低いため、感光性樹脂組成物においては、ポリイミド前駆体の状態で使用し、絶縁層等を形成した後、ポリイミド前駆体を環化して絶縁層を形成することも行われている(例えば特許文献1、2)。
【先行技術文献】
【特許文献】
【0003】
特開平6-80776号公報
特許第6190805号
【発明の概要】
【発明が解決しようとする課題】
【0004】
近年通信機器における通信の高速化、大容量化に伴い、通信機器の半導体パッケージ基板に使用される感光性樹脂組成物においては、優れた解像性とともに、硬化物の誘電率、誘電正接が低いという、優れた誘電特性が求められてきている。
【0005】
本発明は、上記課題に鑑みてなされたものであり、限界解像性に優れ、誘電特性に優れる硬化物が得られる感光性樹脂組成物、当該感光性樹脂組成物を用いて得られる、感光性フィルム、半導体パッケージ基板、及び半導体装置を提供することを目的とする。
【課題を解決するための手段】
【0006】
従来、ポリイミド前駆体は、光硬化性を向上させる観点から、式(A-2)で表される基のように、露光によって生じたラジカルによって重合を生じ得る基が多いほど好ましいとされてきたが、本発明者は、式(A-2)で表される基が多いと光硬化性は向上するものの硬化物の誘電特性が劣ることを知見した。本発明者は、ポリイミド前駆体中の式(A-2)で表される基の割合と、(B)成分及び(C)成分の2種類の架橋剤のうちの(B)成分の量比との積が所定の範囲内となるように調整した感光性樹脂組成物を用いることで、限界解像性に優れると共に、誘電特性も優れる硬化物を得ることを見出し、本発明を完成させるに至った。
【0007】
すなわち、本発明は以下の内容を含む。
[1] (A)下記式(A-1)で表される構造単位を有するポリイミド前駆体、
(B)2つのエチレン性不飽和結合及び置換基を有していてもよい炭素原子数8以上の2価の脂肪族炭化水素基を有する架橋剤、
(C)3官能以上の架橋剤、及び
(D)光ラジカル発生剤、
を含有する感光性樹脂組成物であって、
(A)成分の1分子全体に含まれる、式(A-1)中のR
1
及びR
2
の総数を1としたとき、R
1
及びR
2
が式(A-2)で表される基を表す割合をAとし、
感光性樹脂組成物中に含まれる(B)成分の質量部数をb、及び感光性樹脂組成物中に含まれる(C)成分の質量部数をcとし、B=b/(b+c)としたとき、
0.2≦A×B≦0.55の関係を満たす、感光性樹脂組成物。
TIFF
2025145097000001.tif
38
146
(式(A-1)中、X1は、4価の有機基を表し、Y1は、2価の有機基を表し、R
1
及びR
2
はそれぞれ独立に、水素原子、アリル基、ヘテロ原子を含んでいてもよい1価の脂肪族炭化水素基、又は下記式(A-2)で表される基を表す。nは2~200の整数を表す。)
TIFF
2025145097000002.tif
29
146
(式(A-2)中、R
3
~R
5
は、それぞれ独立に、水素原子又は炭素原子数1~3の脂肪族炭化水素基を表し、pは1~10の整数を表す。)
[2] 感光性樹脂組成物中に含まれる(A)成分の質量部数をa、感光性樹脂組成物中に含まれる(B)成分の質量部数をb、及び感光性樹脂組成物中に含まれる(C)成分の質量部数をcとしたとき、0.8≦a/(a+b+c)≦0.9の関係を満たす、[1]に記載の感光性樹脂組成物。
[3] 式(A-1)中、R
1
及びR
2
はそれぞれ独立に、アリル基、ヘテロ原子を含んでいてもよい1価の脂肪族炭化水素基、又は下記式(A-2)で表される基を表す、[1]又は[2]に記載の感光性樹脂組成物。
[4] 式(A-1)中、R
1
及びR
2
が表す、ヘテロ原子を含んでいてもよい1価の脂肪族炭化水素基の炭素原子数が、1以上20以下である、[1]~[3]のいずれかに記載の感光性樹脂組成物。
[5] (A)成分の含有量が、感光性樹脂組成物の不揮発成分を100質量%としたとき、60質量%以上90質量%以下である、[1]~[4]のいずれかに記載の感光性樹脂組成物。
[6] (B)成分の含有量が、感光性樹脂組成物の不揮発成分を100質量%としたとき、1質量%以上25質量%以下である、[1]~[5]のいずれかに記載の感光性樹脂組成物。
[7] (C)成分の含有量が、感光性樹脂組成物の不揮発成分を100質量%としたとき、0.5質量%以上10質量%以下である、[1]~[6]のいずれかに記載の感光性樹脂組成物。
[8] さらに、(D)光重合開始剤を含む、[1]~[7]のいずれかに記載の感光性樹脂組成物。
[9] 感光性樹脂組成物を180℃で2時間熱硬化させた硬化物の誘電正接が、0.02以下である、[1]~[8]のいずれかに記載の感光性樹脂組成物。
[10] 支持体上に、[1]~[9]のいずれかに記載の感光性樹脂組成物からなる感光性樹脂組成物層が形成されている、感光性フィルム。
[11] [1]~[9]のいずれかに記載の感光性樹脂組成物の硬化物により形成された絶縁層を含む半導体パッケージ基板。
[12] [11]に記載の半導体パッケージ基板を含む、半導体装置。
【発明の効果】
【0008】
本発明によれば、限界解像性に優れ、誘電特性に優れる硬化物が得られる感光性樹脂組成物、当該感光性樹脂組成物を用いて得られる、感光性フィルム、半導体パッケージ基板、及び半導体装置を提供することができる。
【発明を実施するための形態】
【0009】
以下、本発明の感光性樹脂組成物、感光性フィルム、半導体パッケージ基板、半導体装置、及び半導体パッケージ基板の製造方法について詳細に説明する。以下の説明において、「誘電率」とは、別に断らない限り「比誘電率」を表す。
【0010】
[感光性樹脂組成物]
本発明の感光性樹脂組成物は、(A)式(A-1)で表される構造単位を有するポリイミド前駆体、(B)2つのエチレン性不飽和結合及び置換基を有していてもよい炭素原子数8以上の2価の脂肪族炭化水素基を有する架橋剤、及び(C)3官能以上の架橋剤を含有し、(A)成分の1分子全体に含まれる、式(A-1)中のR
1
及びR
2
の総数を1としたとき、R
1
及びR
2
が式(A-2)で表される基を表す割合をAとし、感光性樹脂組成物中に含まれる(B)成分の質量部数をb、及び感光性樹脂組成物中に含まれる(C)成分の質量部数をcとし、B=b/(b+c)としたとき、0.2≦A×B≦0.55の関係を満たす。このような感光性樹脂組成物によれば、限界解像性に優れ、誘電特性に優れる硬化物が得られる。
TIFF
2025145097000003.tif
39
146
(式(A-1)中、X1は、それぞれ独立に4価の有機基を表し、Y1は、それぞれ独立に2価の有機基を表し、R
1
及びR
2
はそれぞれ独立に、水素原子、アリル基、ヘテロ原子を含んでいてもよい1価の脂肪族炭化水素基、又は下記式(A-2)で表される基を表す。nは5~200の整数を表す。)
TIFF
2025145097000004.tif
28
146
(式(A-2)中、R
3
~R
5
は、それぞれ独立に、水素原子又は炭素原子数1~3の脂肪族炭化水素基を表し、pは1~10の整数を表す。)
(【0011】以降は省略されています)
この特許をJ-PlatPat(特許庁公式サイト)で参照する
関連特許
味の素株式会社
樹脂組成物
3日前
味の素株式会社
樹脂シート
2か月前
味の素株式会社
樹脂シート
2か月前
味の素株式会社
樹脂組成物
2か月前
味の素株式会社
樹脂組成物
1か月前
味の素株式会社
樹脂組成物
1か月前
味の素株式会社
樹脂組成物
1か月前
味の素株式会社
樹脂組成物
1か月前
味の素株式会社
樹脂組成物
1か月前
味の素株式会社
樹脂組成物
1か月前
味の素株式会社
樹脂組成物
2か月前
味の素株式会社
エポキシ樹脂
1か月前
味の素株式会社
マレイミド樹脂
1か月前
味の素株式会社
基板の製造方法
1か月前
味の素株式会社
配線板の製造方法
1か月前
味の素株式会社
感光性樹脂組成物
1か月前
味の素株式会社
感光性樹脂組成物
1か月前
味の素株式会社
ミネラル強化食品
1か月前
味の素株式会社
積層体の製造方法
2か月前
味の素株式会社
感光性樹脂組成物
2か月前
味の素株式会社
チャック付き包装袋
1か月前
味の素株式会社
熱硬化性樹脂組成物
2か月前
味の素株式会社
ポリアミドイミド樹脂
1か月前
味の素株式会社
食品包装材料用積層体
24日前
味の素株式会社
高含水米飯食品の製造方法
1か月前
味の素株式会社
ベーカリー食品食感向上剤
1か月前
味の素株式会社
プリント配線板の製造方法
2か月前
味の素株式会社
有機無機複合部品の製造方法
24日前
味の素株式会社
酵母培養物処理物を含む静菌剤
1か月前
味の素株式会社
腸内環境改善用素材の製造方法
1か月前
味の素株式会社
包餡麺帯食品及びその製造方法
1か月前
味の素株式会社
集電層に用いられる金属箔積層体
1か月前
味の素株式会社
集電層に用いられる金属箔積層体
1か月前
味の素株式会社
包餡麺帯食品の焼き目形成用組成物
1か月前
味の素株式会社
コーヒー抽出液の香味を改善する方法
1か月前
味の素株式会社
洋風調味料およびそれを含有する食品
1か月前
続きを見る
他の特許を見る