TOP
|
特許
|
意匠
|
商標
特許ウォッチ
Twitter
他の特許を見る
10個以上の画像は省略されています。
公開番号
2025150329
公報種別
公開特許公報(A)
公開日
2025-10-09
出願番号
2024051150
出願日
2024-03-27
発明の名称
透過電子顕微鏡、画像分類方法、および電子ビームの調整方法
出願人
日本電子株式会社
代理人
個人
,
個人
,
個人
主分類
H01J
37/22 20060101AFI20251002BHJP(基本的電気素子)
要約
【課題】ユーザーの経験によらず画像を分類できる透過電子顕微鏡を提供する。
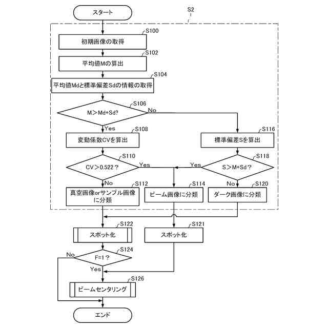
【解決手段】電子ビームを試料に照射するための照射系と、試料を透過した電子ビームで結像する結像系と、結像系で結像された像を撮影するための検出器と、検出器で撮影された画像を分類する演算部と、を含み、演算部は、検出器で撮影された第1画像を取得する処理と、第1画像を構成する複数の第1画素の第1画素値の平均値と標準偏差を計算する処理と、検出器で電子ビームが検出されていない状態で撮影された第2画像を構成する複数の第2画素の第2画素値の平均値と標準偏差の情報を取得する処理と、第1画素値の平均値と標準偏差、および第2画素値の平均値と標準偏差に基づいて、第1画像を分類する処理と、を行う。
【選択図】図8
特許請求の範囲
【請求項1】
電子ビームを試料に照射するための照射系と、
前記試料を透過した電子ビームで結像する結像系と、
前記結像系で結像された像を撮影するための検出器と、
前記検出器で撮影された画像を分類する演算部と、
を含み、
前記演算部は、
前記検出器で撮影された第1画像を取得する処理と、
前記第1画像を構成する複数の第1画素の第1画素値の平均値と標準偏差を計算する処理と、
前記検出器で電子ビームが検出されていない状態で撮影された第2画像を構成する複数の第2画素の第2画素値の平均値と標準偏差の情報を取得する処理と、
前記第1画素値の平均値と標準偏差、および前記第2画素値の平均値と標準偏差に基づいて、前記第1画像を分類する処理と、
を行う、透過電子顕微鏡。
続きを表示(約 2,200 文字)
【請求項2】
請求項1において、
前記演算部は、前記第1画像を分類する処理において、
前記第1画素値の平均値が前記第2画素値の平均値と標準偏差の和よりも大きいと判定した場合に、前記第1画素値の変動係数に基づいて、前記第1画像がビーム画像であるか否かを判定する処理を行う、透過電子顕微鏡。
【請求項3】
請求項2において、
前記演算部は、前記第1画像がビーム画像であるか否かを判定する処理において、
前記第1画素値の変動係数と、画像内に電子ビームの輪郭をすべて含み、かつ、当該電子ビームの径が最大となる画像を構成する複数の画素の画素値の変動係数に基づく判定値と、を比較して、前記第1画像がビーム画像であるか否かを判定する、透過電子顕微鏡。
【請求項4】
請求項3において、
前記演算部は、前記第1画像がビーム画像であるか否かを判定する処理において、
前記第1画素値の変動係数が、前記判定値よりも大きいと判定した場合に、前記第1画像をビーム画像に分類する、透過電子顕微鏡。
【請求項5】
請求項1において、
前記演算部は、前記第1画像を分類する処理において、
前記第1画素値の平均値が前記第2画素値の平均値と標準偏差の和よりも大きくないと判定した場合に、前記第1画素値の標準偏差が、前記第1画素値の平均値と前記第2画素値の標準偏差の和よりも大きいか否かを判定し、
前記第1画素値の標準偏差が、前記第1画素値の平均値と前記第2画素値の標準偏差の和よりも大きいと判定した場合に、前記第1画像をビーム画像に分類し、
前記第1画素値の標準偏差が、前記第1画素値の平均値と前記第2画素値の標準偏差の和よりも大きくないと判定した場合に、前記第1画像を前記検出器で電子ビームが検出されていない状態で撮影された画像に分類する、透過電子顕微鏡。
【請求項6】
請求項2ないし5のいずれか1項において、
記憶部と、
前記照射系を制御する制御部と、
を含み、
前記照射系は、電子ビームを偏向させる偏向器を含み、
前記記憶部には、画像上でのビームの移動量と前記偏向器の制御量の関係を示す第1キャリブレーションデータが記憶され、
前記演算部は、
前記第1画像がビーム画像に分類された場合に、前記第1画像上における電子ビームの位置と前記第1画像の中心との間の第1位置ずれ量を計算する処理と、
前記第1キャリブレーションデータに前記第1画像の倍率情報を含める処理と、
前記第1画像の倍率情報を含む前記第1キャリブレーションデータを用いて、前記第1位置ずれ量から前記偏向器の制御量を求める処理と、
前記制御部が前記偏向器の制御量に基づいて前記偏向器に電子ビームを偏向させて、電子ビームを移動させたときの電子ビームの位置に基づいて、前記第1画像の拡大率の誤差を算出する処理と、
算出した前記誤差の情報を前記記憶部に記憶する処理と、
を行う、透過電子顕微鏡。
【請求項7】
請求項6において、
前記演算部は、
前記第1画像の倍率情報を含む前記第1キャリブレーションデータに前記誤差の情報を含めて、第2キャリブレーションデータを生成する処理と、
電子ビームの位置と前記第1画像の中心との間の第2位置ずれ量を計算する処理と、
前記第2キャリブレーションデータを用いて、前記第2位置ずれ量から前記偏向器の制御量を求める処理と、
を行い、
前記制御部は、前記偏向器の制御量に基づいて前記偏向器に電子ビームを偏向させる処理を行う、透過電子顕微鏡。
【請求項8】
請求項6において、
前記記憶部には、倍率ごとに前記誤差の情報が記憶される、透過電子顕微鏡。
【請求項9】
電子ビームを試料に照射するための照射系と、
前記試料を透過した電子ビームで結像する結像系と、
前記結像系で結像された像を撮影するための検出器と、
を含む透過電子顕微鏡における画像分類方法であって、
前記検出器で撮影された第1画像を取得する工程と、
前記第1画像を構成する複数の第1画素の第1画素値の平均値と標準偏差を計算する工程と、
前記検出器で電子ビームが検出されていない状態で撮影された第2画像を構成する複数の第2画素の第2画素値の平均値と標準偏差の情報を取得する工程と、
前記第1画素値の平均値と標準偏差、および前記第2画素値の平均値と標準偏差に基づいて、前記第1画像を分類する工程と、
を含む、画像分類方法。
【請求項10】
請求項9において、
前記第1画像を分類する工程は、
前記第1画素値の平均値が前記第2画素値の平均値と標準偏差の和よりも大きいと判定した場合に、前記第1画素値の変動係数に基づいて、前記第1画像がビーム画像であるか否かを判定する工程を含む、画像分類方法。
(【請求項11】以降は省略されています)
発明の詳細な説明
【技術分野】
【0001】
本発明は、透過電子顕微鏡、画像分類方法、および電子ビームの調整方法に関する。
続きを表示(約 1,900 文字)
【背景技術】
【0002】
透過電子顕微鏡では、試料像を観察する前に、光学系の調整が行われる。例えば、特許文献1には、光学系の調整を自動で行う自動調整装置を備えた透過電子顕微鏡が開示されている。
【先行技術文献】
【特許文献】
【0003】
特開2002-134048号公報
【発明の概要】
【発明が解決しようとする課題】
【0004】
透過電子顕微鏡で光学系の調整を行う場合、調整に最適な画像を表示させる必要がある。そのため、ユーザーが経験に基づいて表示されている画像を分類し、光学系の調整に最適な画像を表示させていた。
【課題を解決するための手段】
【0005】
本発明に係る透過電子顕微鏡の一態様は、
電子ビームを試料に照射するための照射系と、
前記試料を透過した電子ビームで結像する結像系と、
前記結像系で結像された像を撮影するための検出器と、
前記検出器で撮影された画像を分類する演算部と、
を含み、
前記演算部は、
前記検出器で撮影された第1画像を取得する処理と、
前記第1画像を構成する複数の第1画素の第1画素値の平均値と標準偏差を計算する処理と、
前記検出器で電子ビームが検出されていない状態で撮影された第2画像を構成する複数の第2画素の第2画素値の平均値と標準偏差の情報を取得する処理と、
前記第1画素値の平均値と標準偏差、および前記第2画素値の平均値と標準偏差に基づいて、前記第1画像を分類する処理と、
を行う。
【0006】
このような透過電子顕微鏡では、第1画像を構成する複数の第1画素の第1画素値の平均値と標準偏差、および検出器で電子ビームが検出されていない状態で撮影された第2画像を構成する複数の第2画素の第2画素値の平均値と標準偏差に基づいて、第1画像を分類する。そのため、このような透過電子顕微鏡では、ユーザーの経験によらず画像を分類できる。
【0007】
本発明に係る画像分類方法の一態様は、
電子ビームを試料に照射するための照射系と、
前記試料を透過した電子ビームで結像する結像系と、
前記結像系で結像された像を撮影するための検出器と、
を含む、透過電子顕微鏡における画像分類方法であって、
前記検出器で撮影された第1画像を取得する工程と、
前記第1画像を構成する複数の第1画素の第1画素値の平均値と標準偏差を計算する工程と、
前記検出器で電子ビームが検出されていない状態で撮影された第2画像を構成する複数の第2画素の第2画素値の平均値と標準偏差の情報を取得する工程と、
前記第1画素値の平均値と標準偏差、および前記第2画素値の平均値と標準偏差に基づいて、前記第1画像を分類する工程と、
を含む。
【0008】
このような画像分類方法では、第1画像を構成する複数の第1画素の第1画素値の平均値と標準偏差、および検出器で電子ビームが検出されていない状態で撮影された第2画像を構成する複数の第2画素の第2画素値の平均値と標準偏差に基づいて、第1画像を分類する。そのため、このような画像分類方法では、ユーザーの経験によらず画像を分類できる。
【0009】
本発明に係る電子ビームの調整方法の一態様は、
上記画像分類方法を含み、
前記第1画像がビーム画像に分類された場合に、前記第1画像上における電子ビームの位置と前記第1画像の中心との間の第1位置ずれ量を計算する工程と、
画像上でのビームの移動量と電子ビームを偏向させる偏向器の制御量の関係を示す第1キャリブレーションデータに前記第1画像の倍率情報を含める工程と、
前記第1画像の倍率情報を含む前記第1キャリブレーションデータを用いて、前記第1位置ずれ量から前記偏向器の制御量を求める工程と、
求めた前記偏向器の制御量に基づいて前記偏向器に電子ビームを偏向させて電子ビームが移動したときの電子ビームの位置に基づいて、前記第1画像の拡大率の誤差を算出する工程と、
を含む。
【0010】
このような電子ビームの調整方法では、拡大率の誤差を算出できるため、電子ビームを正確に画像の中心に移動させることができる。
【図面の簡単な説明】
(【0011】以降は省略されています)
この特許をJ-PlatPat(特許庁公式サイト)で参照する
関連特許
日本電子株式会社
治具
11日前
日本電子株式会社
自動分析装置および再起動制御方法
14日前
日本電子株式会社
荷電粒子線装置および荷電粒子線装置の制御方法
10日前
日本電子株式会社
荷電粒子線装置および荷電粒子源ユニットの交換方法
14日前
日本電子株式会社
透過電子顕微鏡、画像分類方法、および電子ビームの調整方法
4日前
個人
フレキシブル電気化学素子
3日前
日本発條株式会社
積層体
14日前
株式会社ユーシン
操作装置
3日前
ローム株式会社
半導体装置
5日前
個人
防雪防塵カバー
14日前
ローム株式会社
半導体装置
10日前
ローム株式会社
半導体装置
12日前
ローム株式会社
半導体装置
12日前
ローム株式会社
半導体装置
12日前
株式会社GSユアサ
蓄電設備
3日前
個人
半導体パッケージ用ガラス基板
13日前
株式会社GSユアサ
蓄電装置
14日前
オムロン株式会社
電磁継電器
4日前
株式会社ホロン
冷陰極電子源
10日前
株式会社GSユアサ
蓄電装置
10日前
太陽誘電株式会社
コイル部品
3日前
太陽誘電株式会社
全固体電池
10日前
株式会社GSユアサ
蓄電設備
3日前
日東電工株式会社
積層体
4日前
ローム株式会社
電子装置
14日前
日本特殊陶業株式会社
保持装置
14日前
トヨタ自動車株式会社
蓄電装置
3日前
TDK株式会社
電子部品
10日前
日本特殊陶業株式会社
保持装置
10日前
日本特殊陶業株式会社
保持装置
12日前
日本特殊陶業株式会社
保持装置
10日前
サクサ株式会社
電池の固定構造
3日前
トヨタ自動車株式会社
バッテリ
4日前
トヨタ自動車株式会社
二次電池
14日前
ノリタケ株式会社
熱伝導シート
3日前
住友電装株式会社
コネクタ
14日前
続きを見る
他の特許を見る