TOP
|
特許
|
意匠
|
商標
特許ウォッチ
Twitter
他の特許を見る
10個以上の画像は省略されています。
公開番号
2025149195
公報種別
公開特許公報(A)
公開日
2025-10-08
出願番号
2024049683
出願日
2024-03-26
発明の名称
医療用具およびその製造方法
出願人
テルモ株式会社
代理人
IBC一番町弁理士法人
主分類
A61L
29/04 20060101AFI20251001BHJP(医学または獣医学;衛生学)
要約
【課題】医療用具において、耐久性に優れる抗血栓性層を形成することができる手段を提供することを目的とする。
【解決手段】本発明に係る医療用具は、基材と、前記基材の少なくとも一部に形成された、ポリマーを有する抗血栓性層と、を備え、前記ポリマーは、アミノ基または水酸基を有する第1のモノマー由来の構成単位a1と、抗血栓性モノマー由来の構成単位a2とを有する共重合体由来の構成単位A;およびアミノ基または水酸基と反応する反応性基を2以上有する第2のモノマー由来の構成単位b;を有する。
【選択図】図1
特許請求の範囲
【請求項1】
基材と、
前記基材の少なくとも一部に形成された、ポリマーを有する抗血栓性層と、
を備える医療用具であって、
前記ポリマーは、アミノ基または水酸基を有する第1のモノマー由来の構成単位a1と、抗血栓性モノマー由来の構成単位a2とを有する共重合体由来の構成単位A;および
アミノ基または水酸基と反応する反応性基を2以上有する第2のモノマー由来の構成単位b;
を有する、医療用具。
続きを表示(約 2,000 文字)
【請求項2】
前記第2のモノマーは、両末端に前記反応性基を有する、請求項1に記載の医療用具。
【請求項3】
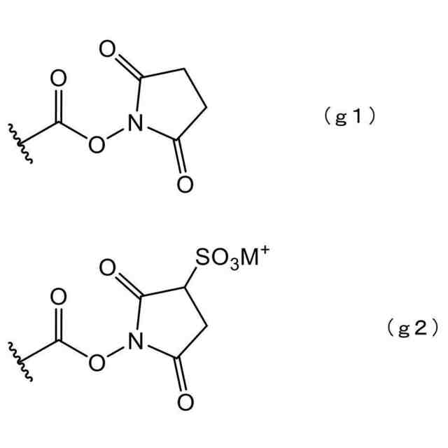
前記反応性基は、アルデヒド基、エポキシ基、下記式(g1)で表される基、および下記式(g2)で表される基から選択される、請求項1に記載の医療用具;
JPEG
2025149195000013.jpg
66
130
上記式(g2)中、Mは水素原子またはアルカリ金属である。
【請求項4】
前記第2のモノマーは、グリオキサール、スクシンアルデヒド、グルタルアルデヒド、ノナンジアール、テレフタルアルデヒド、マロンジアルデヒド、エチレングリコールジグリシジルエーテル、ポリエチレングリコールジグリシジルエーテル、ポリプロピレングリコールジグリシジルエーテル、スベリン酸ジスクシンイミジル、ならびにビス(スルホスクシンイミジル)スベリン酸およびその塩から選択される1種または2種以上である、請求項1に記載の医療用具。
【請求項5】
前記第1のモノマーは、下記式(I)で表されるモノマーおよびその塩から選択される1種または2種以上である、請求項1に記載の医療用具;
JPEG
2025149195000014.jpg
33
130
上記式(I)中、
R
1
は水素原子またはメチル基を表し、
Yは酸素原子または-NH-を表し、
pは1~4の整数を表す。
【請求項6】
前記第1のモノマーは、アミノメチルアクリルアミド、アミノメチルメタクリルアミド、アミノエチルアクリルアミド、アミノエチルメタクリルアミド、アミノプロピルアクリルアミド、アミノプロピルメタクリルアミド(APMA)、アミノブチルアクリルアミド、アミノブチルメタクリルアミド、アミノメチルアクリレート、アミノメチルメタクリレート、アミノエチルアクリレート、アミノエチルメタクリレート、アミノプロピルアクリレート、アミノプロピルメタクリレート、アミノブチルアクリレートおよびアミノブチルメタクリレートならびにこれらの塩から選択される1種または2種以上である、請求項5に記載の医療用具。
【請求項7】
前記抗血栓性モノマーは、下記式(III)で表されるモノマーから選択される1種または2種以上である、請求項1に記載の医療用具;
JPEG
2025149195000015.jpg
33
130
上記式(III)中、
R
4
は水素原子またはメチル基を表し、
Xは式:-O-(R
5
O)
m
-R
6
で示される基、式:-O-(CH
2
CHOH)
n
-CH
2
OHで示される基またはテトラヒドロフルフリルオキシ基を表し、この際、R
5
は、それぞれ独立して、炭素数1~4の直鎖状または分岐状のアルキレン基を表し、R
6
は、炭素数1~4の直鎖状または分岐状のアルキル基を表し、mは1~5の整数を表し、nは1~5の整数を表す。
【請求項8】
前記抗血栓性モノマーは、メトキシメチルアクリレート、2-メトキシエチルアクリレート(MEA)、3-メトキシプロピルアクリレート(MC3A)、エトキシメチルアクリレート、エトキシエチルアクリレート(EEA)、2-(2-エトキシエトキシ)エチルアクリレート(EEEA)、エトキシプロピルアクリレート、エトキシブチルアクリレート、プロポキシメチルアクリレート、ブトキシエチルアクリレート、メトキシブチルアクリレート、テトラヒドロフルフリルアクリレート(THFA)、グリセロールアクリレート、メトキシメチルメタクリレート、メトキシエチルメタクリレート、エトキシメチルメタクリレート、エトキシエチルメタクリレート、2-(2-エトキシエトキシ)エチルメタクリレート、プロポキシメチルメタクリレート、ブトキシエチルメタクリレート、テトラヒドロフルフリルメタクリレートおよびグリセロールメタクリレートから選択される1種または2種以上である、請求項7に記載の医療用具。
【請求項9】
前記構成単位Aにおける、前記構成単位a1と前記構成単位a2とのモル比(a1:a2)は、1:1~1:20である、請求項1に記載の医療用具。
【請求項10】
前記構成単位Aは、前記構成単位a1および前記構成単位a2を含むランダム共重合体由来である、請求項1に記載の医療用具。
(【請求項11】以降は省略されています)
発明の詳細な説明
【技術分野】
【0001】
本発明は、医療用具およびその製造方法に関する。
続きを表示(約 1,500 文字)
【背景技術】
【0002】
近年、各種の高分子材料または金属材料を利用した医療材料の検討が進められており、人工腎臓用膜、血漿分離用膜、カテーテル、ステント、人工肺用膜、人工血管、癒着防止膜、人工皮膚、ステントグラフト、カバードステント、ガイドワイヤ、心臓ペースメーカー等への利用が期待されている。これらにおいては、生体にとって異物である合成高分子材料または金属材料を生体組織や血液等の体液と接触させて使用することとなる。したがって、医療材料は、生体適合性を有することが要求される。医療材料に要求される生体適合性はその目的や使用方法によって異なるが、血液と接する材料として使用する医療材料には、血液凝固系の抑制、血小板の粘着・活性化の抑制、補体系の活性化の抑制という特性(抗血栓性)が求められる。
【0003】
通常、医療用具への抗血栓性の付与は、医療用具を構成する基材を抗血栓性材料で被覆する方法や、基材の表面に抗血栓性材料を固定する方法により行われる。例えば、特許文献1には、アルコキシアルキル(メタ)アクリレートと塩基性官能基を有するコモノマーとを、特定のモル比で共重合させてなる共重合体が、抗血栓性表面処理剤として用いられうることが記載されている。
【先行技術文献】
【特許文献】
【0004】
特開2002-105136号公報
【発明の概要】
【発明が解決しようとする課題】
【0005】
特許文献1に記載された表面処理剤は、抗血栓性に優れ、かつ、親水性が高いことから、広範な用途に用いることができる。
【0006】
一方で、血液と接する状態で使用される医療用具では、優れた抗血栓性を長期間持続するため、基材上にて抗血栓性材料を長期間にわたって保持できること(すなわち、耐久性に優れる抗血栓性層を形成できること)が求められるものがある。一例として、人工血管、ステントグラフト、カバードステント等の体内埋入型の医療用具(特に小口径のもの)においては、狭窄や閉塞によって開存性が低下しやすくなる傾向にあることから、特に抗血栓性を長期間にわたって維持することが求められる。
【0007】
したがって、本発明は、上記事情に鑑みてなされたものであり、医療用具において、耐久性に優れる抗血栓性層を形成することができる手段を提供することを目的とする。
【課題を解決するための手段】
【0008】
本発明者らは、上記の課題を解決すべく、鋭意研究を行った。その結果、抗血栓性モノマー由来の構成単位および特定の官能基を有するコモノマー(第1のモノマー)由来の構成単位を有する共重合体と、当該コモノマーが有する官能基と反応する反応性基を2以上有するモノマー(第2のモノマー)と、を用いて基材上に抗血栓性層を形成することにより、上記課題が解決されうることを見出し、本発明を完成させるに至った。
【0009】
すなわち、上記目的は、下記の構成を有する本発明によって達成でき、本発明は、下記態様および形態を包含する。
【0010】
本発明の一形態は、
1.基材と、
上記基材の少なくとも一部に形成された、ポリマーを有する抗血栓性層と、
を備える医療用具であって、
上記ポリマーは、アミノ基または水酸基を有する第1のモノマー由来の構成単位a1と、抗血栓性モノマー由来の構成単位a2とを有する共重合体由来の構成単位A;および
アミノ基または水酸基と反応する反応性基を2以上有する第2のモノマー由来の構成単位b;
を有する、医療用具である。
(【0011】以降は省略されています)
この特許をJ-PlatPat(特許庁公式サイト)で参照する
関連特許
テルモ株式会社
カテーテル
15日前
テルモ株式会社
カテーテル
15日前
テルモ株式会社
カテーテル
15日前
テルモ株式会社
医療デバイス
19日前
テルモ株式会社
採血管ホルダ
17日前
テルモ株式会社
液体循環システム
19日前
テルモ株式会社
液体排出システム
19日前
テルモ株式会社
体液流通用ポート
15日前
テルモ株式会社
画像診断用カテーテル
15日前
テルモ株式会社
医療用長尺体の製造方法
8日前
テルモ株式会社
医療用具およびその製造方法
10日前
テルモ株式会社
動脈瘤治療システムおよび方法
8日前
テルモ株式会社
身体組成計測装置、および制御方法
9日前
テルモ株式会社
医療用具包装体および医療用具包装袋
16日前
テルモ株式会社
カテーテルおよびカテーテルの製造方法
15日前
テルモ株式会社
ステントデリバリーシステムの製造方法
19日前
テルモ株式会社
カテーテルおよびカテーテルの製造方法
15日前
テルモ株式会社
カテーテルおよびカテーテルの製造方法
15日前
テルモ株式会社
ステントデリバリーシステムの製造方法
19日前
テルモ株式会社
ステントデリバリーシステムの製造方法
19日前
テルモ株式会社
ステントデリバリーシステムの製造方法
19日前
テルモ株式会社
情報処理方法、情報処理装置及びプログラム
8日前
テルモ株式会社
情報処理方法、情報処理装置及びプログラム
8日前
テルモ株式会社
プログラム、情報処理方法、及び情報処理装置
8日前
テルモ株式会社
カテーテルデバイス及び回収対象物の回収方法
15日前
テルモ株式会社
輸液ポンプ及びその制御方法、並びに、プログラム
1か月前
テルモ株式会社
情報処理方法、情報処理装置及びコンピュータプログラム
8日前
テルモ株式会社
情報処理装置、コンピュータプログラム及び情報処理方法
23日前
テルモ株式会社
コンピュータプログラム、情報処理装置及び情報処理方法
1か月前
テルモ株式会社
薬液投与装置
29日前
テルモ株式会社
ステントデリバリーシステムの製造方法及びステントデリバリーシステム
19日前
テルモ株式会社
留置カテーテル、留置カテーテルシステム、判定装置、判定方法及びコンピュータプログラム
19日前
個人
短下肢装具
2か月前
個人
洗井間専家。
6か月前
個人
嚥下鍛錬装置
3か月前
個人
前腕誘導装置
3か月前
続きを見る
他の特許を見る