TOP
|
特許
|
意匠
|
商標
特許ウォッチ
Twitter
他の特許を見る
10個以上の画像は省略されています。
公開番号
2025146888
公報種別
公開特許公報(A)
公開日
2025-10-03
出願番号
2025123546,2024509923
出願日
2025-07-23,2023-03-03
発明の名称
化合物、組成物、表面処理剤、物品、及び物品の製造方法
出願人
AGC株式会社
代理人
弁理士法人太陽国際特許事務所
主分類
C07F
7/18 20060101AFI20250926BHJP(有機化学)
要約
【課題】基材に対して、撥水性及び耐摩耗性に優れた表面処理層を形成し得る表面処理剤として有用な新規な化合物等の提供。
【解決手段】下記基1と、アルキレン鎖又はポリアルキレンオキシド鎖である部分構造と、下記基2と、を含む化合物。基1:-SiR
1
3
。基2:-Si(R
2
)
n
L
3-n
。R
1
はそれぞれ独立に、炭化水素基又はトリアルキルシリルオキシ基であり、R
2
はそれぞれ独立に、炭化水素基であり、Lはそれぞれ独立に、加水分解性基又は水酸基であり、nは0~2の整数である。
【選択図】なし
特許請求の範囲
【請求項1】
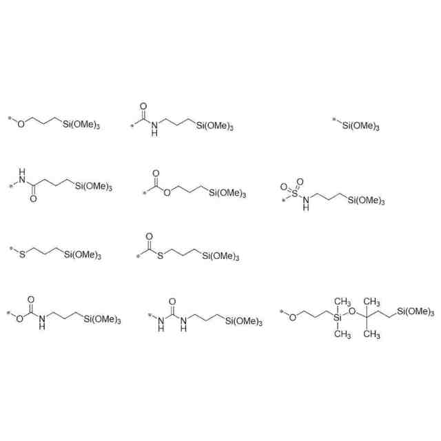
下記基1と、炭素数3以上のアルキレン鎖又はポリアルキレンオキシド鎖である部分構造と、下記基2と、を含む化合物。
基1:-M
1
R
1
3
基2:-Si(R
2
)
n
L
3-n
M
1
は、Si、Sn、又はGeであり、
R
1
はそれぞれ独立に、炭化水素基又はトリアルキルシリルオキシ基であり、R
2
はそれぞれ独立に、炭化水素基であり、Lはそれぞれ独立に、加水分解性基又は水酸基であり、nは0~2の整数である。
続きを表示(約 920 文字)
【請求項2】
下記式1で表される、請求項1に記載の化合物。
[R
1
3
Si-(O)
r
-Z]
p
A(Si(R
2
)
n
L
3-n
)
q
… (1)
式1中、R
1
はそれぞれ独立に、炭化水素基又はトリアルキルシリルオキシ基であり、rは0又は1であり、Zは、それぞれ独立に、アルキレン鎖若しくはポリアルキレンオキシド鎖であるか、又は、アルキレン鎖と2価のポリシロキサン残基との組み合わせであり、Aは、単結合又はp+q価の連結基であり、R
2
はそれぞれ独立に、炭化水素基であり、Lはそれぞれ独立に、加水分解性基又は水酸基であり、nはそれぞれ独立に、0~2の整数であり、p及びqはそれぞれ独立に、1以上の整数である。
【請求項3】
前記式1中、Zは炭素数10以上のアルキレン鎖である、請求項2に記載の化合物。
【請求項4】
前記式1中、Zは、繰り返し数が3以上のポリアルキレンオキシド鎖である、請求項2に記載の化合物。
【請求項5】
前記式1中、R
1
はそれぞれ独立に、トリアルキルシリルオキシ基である、請求項2~4のいずれか1項に記載の化合物。
【請求項6】
前記式1中、R
1
はそれぞれ独立に、トリメチルシリルオキシ基又はトリエチルシリルオキシ基である、請求項2~5のいずれか1項に記載の化合物。
【請求項7】
前記式1中、pは2~4である、請求項2~6のいずれか1項に記載の化合物。
【請求項8】
前記式1中、qは2~4である、請求項2~7のいずれか1項に記載の化合物。
【請求項9】
請求項1~8のいずれか1項に記載の化合物と、液状媒体と、を含む組成物。
【請求項10】
請求項1~8のいずれか1項に記載の化合物を含む、表面処理剤。
(【請求項11】以降は省略されています)
発明の詳細な説明
【技術分野】
【0001】
本開示は、化合物、組成物、表面処理剤、物品、及び物品の製造方法に関する。
続きを表示(約 3,100 文字)
【背景技術】
【0002】
近年、外観、視認性等の性能を向上させるために、物品の表面に指紋を付きにくくする技術や、汚れを落としやすくする技術が求められている。具体的な方法として、物品の表面に表面処理剤を用いて表面処理を行う方法が知られている。
【0003】
例えば、特許文献1には、トリアルキルシリル基を少なくとも1つと、加水分解性ケイ素基を2つ以上有する有機ケイ素化合物、及び金属原子に加水分解性基が少なくとも1つ結合している金属化合物を含む組成物が記載されている。特許文献2には、少なくとも1以上の加水分解性基又は水酸基を有する金属系界面活性剤、及び該金属系界面活性剤と相互作用し得る触媒を含む有機溶媒溶液に、基材を接触させる工程を少なくとも有する、基材表面に有機薄膜を形成する有機薄膜の製造方法が記載されている。
【先行技術文献】
【特許文献】
【0004】
特開2017-119849号公報
国際公開第2008/016029号
【発明の概要】
【発明が解決しようとする課題】
【0005】
一方、表面処理剤等に用いられる組成物には撥水性及び耐摩耗性の観点から、さらなる改良が求められている。
【0006】
本開示はこのような事情に鑑みてなされたものであり、本発明の一実施形態が解決しようとする課題は、基材に対して、撥水性及び耐摩耗性に優れた表面処理層を形成し得る表面処理剤として有用な新規な化合物及び組成物を提供することにある。
本発明の一実施形態が解決しようとする課題は、基材に対して、撥水性及び耐摩耗性に優れた表面処理層を形成し得る表面処理剤を提供することにある。
本発明の一実施形態が解決しようとする課題は、撥水性及び耐摩耗性に優れた表面処理層を有する物品及び物品の製造方法を提供することにある。
【課題を解決するための手段】
【0007】
本開示は以下の態様を含む。
<1>
下記基1と、アルキレン鎖又はポリアルキレンオキシド鎖である部分構造と、下記基2と、を含む化合物。
基1:-M
1
R
1
3
基2:-Si(R
2
)
n
L
3-n
M
1
は、Si、Sn、又はGeであり、
R
1
はそれぞれ独立に、炭化水素基又はトリアルキルシリルオキシ基であり、R
2
はそれぞれ独立に、炭化水素基であり、Lはそれぞれ独立に、加水分解性基又は水酸基であり、nは0~2の整数である。
<2>
下記式1で表される、<1>に記載の化合物。
[R
1
3
Si-(O)
r
-Z]
p
A(Si(R
2
)
n
L
3-n
)
q
… (1)
式1中、R
1
はそれぞれ独立に、炭化水素基又はトリアルキルシリルオキシ基であり、rは0又は1であり、Zは、それぞれ独立に、アルキレン鎖若しくはポリアルキレンオキシド鎖であるか、又は、アルキレン鎖と2価のポリシロキサン残基との組み合わせであり、Aは、単結合又はp+q価の連結基であり、R
2
はそれぞれ独立に、炭化水素基であり、Lはそれぞれ独立に、加水分解性基又は水酸基であり、nはそれぞれ独立に、0~2の整数であり、p及びqはそれぞれ独立に、1以上の整数である。
<3>
式1中、Zは炭素数10以上のアルキレン鎖である、<2>に記載の化合物。
<4>
式1中、Zは、繰り返し数が3以上のポリアルキレンオキシド鎖である、<2>に記載の化合物。
<5>
式1中、R
1
はそれぞれ独立に、トリアルキルシリルオキシ基である、<2>~<4>のいずれか1つに記載の化合物。
<6>
式1中、R
1
はそれぞれ独立に、トリメチルシリルオキシ基又はトリエチルシリルオキシ基である、<2>~<5>のいずれか1つに記載の化合物。
<7>
式1中、pは2~4である、<2>~<6>のいずれか1つに記載の化合物。
<8>
式1中、qは2~4である、<2>~<7>のいずれか1つに記載の化合物。
<9>
<1>~<8>のいずれか1つに記載の化合物と、液状媒体と、を含む組成物。
<10>
<1>~<8>のいずれか1つに記載の化合物を含む、表面処理剤。
<11>
<1>~<8>のいずれか1つに記載の化合物と、液状媒体と、を含む、表面処理剤。<12>
基材に対して、<10>又は<11>に記載の表面処理剤を用いて表面処理を行い、基材上に表面処理層が形成された物品を製造する、物品の製造方法。
<13>
【発明の効果】
【0008】
本発明の一実施形態によれば、基材に対して、撥水性及び耐摩耗性に優れた表面処理層を形成し得る表面処理剤として有用な新規な化合物及び組成物が提供される。
本発明の一実施形態によれば、基材に対して、撥水性及び耐摩耗性に優れた表面処理層を形成し得る表面処理剤が提供される。
本発明の一実施形態によれば、撥水性及び耐摩耗性に優れた表面処理層を有する物品及び物品の製造方法が提供される。
【発明を実施するための形態】
【0009】
本明細書において「~」を用いて示された数値範囲には、「~」の前後に記載される数値がそれぞれ最小値及び最大値として含まれる。
本明細書中に段階的に記載されている数値範囲において、一つの数値範囲で記載された上限値又は下限値は、他の段階的な記載の数値範囲の上限値又は下限値に置き換えてもよい。また、本明細書中に記載されている数値範囲において、その数値範囲の上限値又は下限値は、実施例に示されている値に置き換えてもよい。
本明細書において、「表面処理層」とは、基材の表面に、表面処理によって形成される層を意味する。
本明細書において、化合物又は基が特定の式(X)で表される場合、当該式(X)で表される化合物又は基をそれぞれ化合物(X)若しくは化合物X、及び基(X)若しくは基Xと記すことがある。
【0010】
[化合物]
本開示の化合物は、下記基1と、アルキレン鎖又はポリアルキレンオキシド鎖である部分構造と、下記基2と、を含む。
基1:-M
1
R
1
3
基2:-Si(R
2
)
n
L
3-n
M
1
は、Si、Sn、又はGeであり、R
1
はそれぞれ独立に、炭化水素基又はトリアルキルシリルオキシ基であり、R
2
はそれぞれ独立に、炭化水素基であり、Lはそれぞれ独立に、加水分解性基又は水酸基であり、nは0~2の整数である。
(【0011】以降は省略されています)
この特許をJ-PlatPat(特許庁公式サイト)で参照する
関連特許
AGC株式会社
車両用窓ガラス
1か月前
AGC株式会社
積層体及び移動体
1か月前
AGC株式会社
フッ素樹脂組成物
19日前
AGC株式会社
インフィニティミラー
1か月前
AGC株式会社
ガラス材料、結晶化ガラス
1か月前
AGC株式会社
調光デバイスおよび調光方法
27日前
AGC株式会社
反射型マスクブランクの製造方法
1か月前
AGC株式会社
車両用窓ガラス及びサッシュレスドア
1か月前
AGC株式会社
搬送治具、搬送システム及び搬送方法
6日前
AGC株式会社
フラットハーネス付き車両用窓ガラス
1か月前
AGC株式会社
位相差素子、円偏光板、及び光学部品
29日前
AGC株式会社
フラットハーネス付き車両用窓ガラスシステム
1か月前
AGC株式会社
車両用ガラス板、及び車両用ガラス板の製造方法
1か月前
AGC株式会社
ホルダー付き車両用窓ガラス及びサッシュレスドア
7日前
AGC株式会社
水性分散液
19日前
AGC株式会社
合わせガラス
1か月前
AGC株式会社
含フッ素化合物
8日前
AGC株式会社
ガラス、ガラス粉末、混合粉、ガラスペースト、及びグリーンシート
1か月前
AGC株式会社
化学強化ガラス、画像表示装置用カバーガラス、防汚層付きガラス材
1か月前
AGC株式会社
ガラス基板の製造方法
12日前
林テレンプ株式会社
コリメート用プリズムおよび車両の窓ガラス用照明構造
27日前
AGC株式会社
プリフォームの製造方法、光学素子の製造方法、及び光学素子用プリフォーム
22日前
AGC株式会社
ガラスおよび化学強化ガラス
1か月前
AGC株式会社
化学強化ガラス物品およびその製造方法
1か月前
AGC株式会社
反射型マスクブランク、反射型マスク、反射型マスクブランクの製造方法、及び反射型マスクの製造方法
6日前
AGC株式会社
反射型マスクブランク、反射型マスク、反射型マスクブランクの製造方法、及び反射型マスクの製造方法
1か月前
AGC株式会社
高周波デバイス用ガラス基板、液晶アンテナ及び高周波デバイス
1か月前
AGC株式会社
ガラス溶解炉、ガラス製品の製造設備、およびガラス製品の製造方法
19日前
AGC株式会社
窒化珪素質焼結体、ベアリング用転動体、窒化珪素質素球、及びベアリング
6日前
AGC株式会社
結晶化ガラス、高周波用基板、液晶用アンテナおよび結晶化ガラスの製造方法
27日前
AGC株式会社
反射型マスクブランク、反射型マスク、反射型マスクブランクの製造方法、及び反射型マスクの製造方法
12日前
AGC株式会社
含フッ素エーテル化合物及びその製造方法、化合物及びその製造方法、含フッ素エーテル組成物、コーティング液、並びに物品及びその製造方法
1か月前
クミアイ化学工業株式会社
多形
27日前
東ソー株式会社
タンパク質の発現方法
2か月前
東ソー株式会社
炭素-窒素結合形成方法
4か月前
株式会社トクヤマ
四塩化炭素の製造方法
4か月前
続きを見る
他の特許を見る