TOP
|
特許
|
意匠
|
商標
特許ウォッチ
Twitter
他の特許を見る
公開番号
2025145728
公報種別
公開特許公報(A)
公開日
2025-10-03
出願番号
2024046056
出願日
2024-03-22
発明の名称
電極
出願人
日本特殊陶業株式会社
代理人
個人
,
個人
主分類
H01T
13/39 20060101AFI20250926BHJP(基本的電気素子)
要約
【課題】 電極において、放電電圧のばらつきを小さくする技術を提供する。
【解決手段】 電極は、3種以上7種以下の金属元素を含む合金からなり、合金に含まれる金属元素のうち、モル数が大きい上位3つの金属元素を大きい順に、第1金属元素、第2金属元素、第3金属元素とすると、第2金属元素のモル数は、第1金属元素のモル数の0.8倍以上1.0倍以下であり、第3金属元素のモル数は、第1金属元素のモル数の0.5倍以上1.0倍以下である。
【選択図】 図2
特許請求の範囲
【請求項1】
電極であって、
3種以上7種以下の金属元素を含む合金からなり、
前記合金に含まれる前記金属元素のうち、モル数が大きい上位3つの金属元素を大きい順に、第1金属元素、第2金属元素、第3金属元素とすると、
前記第2金属元素のモル数は、前記第1金属元素のモル数の0.8倍以上1.0倍以下であり、
前記第3金属元素のモル数は、前記第1金属元素のモル数の0.5倍以上1.0倍以下であることを特徴とする、
電極。
続きを表示(約 630 文字)
【請求項2】
請求項1に記載の電極であって、
前記合金は、4種以上6種以下の金属元素を含むことを特徴とする。
電極。
【請求項3】
請求項2に記載の電極であって、
前記第1金属元素と前記第2金属元素と前記第3金属元素とのそれぞれは、チタン、ジルコニウム、ニオブ、ハフニウム、タンタル、バナジウム、クロム、鉄のうちのいずれかであることを特徴とする、
電極。
【請求項4】
請求項2または請求項3に記載の電極であって、
前記第1金属元素、前記第2金属元素、前記第3金属元素のうちのいずれか1つの金属元素は、チタン、ニオブ、または、ハフニウムであることを特徴とする、
電極。
【請求項5】
請求項1または請求項2に記載の電極であって、
前記金属元素は、チタン、ジルコニウム、ニオブ、ハフニウム、タンタル、バナジウム、クロムのうちのいずれかであることを特徴とする、
電極。
【請求項6】
請求項1または請求項2に記載の電極であって、
前記合金は、結晶相が単相であることを特徴とする、
電極。
【請求項7】
請求項1または請求項2に記載の電極であって、
前記合金は、組成が異なる複数の結晶相を有しており、
前記複数の結晶相は、互いに同じ結晶構造であることを特徴とする、
電極。
発明の詳細な説明
【技術分野】
【0001】
本発明は、電極に関する。
続きを表示(約 1,400 文字)
【背景技術】
【0002】
従来から、放電用の電極が知られている(例えば、特許文献1,2)。
【先行技術文献】
【特許文献】
【0003】
特開2015-069826号公報
特開平9-291327号公報
【発明の概要】
【発明が解決しようとする課題】
【0004】
しかしながら、特許文献1のような先行技術によっても、電極において、放電電圧のばらつきを小さくする技術については、なお、改善の余地があった。
【0005】
本発明は、電極において、放電電圧のばらつきを小さくする技術を提供することを目的とする。
【課題を解決するための手段】
【0006】
本発明は、上述の課題の少なくとも一部を解決するためになされたものであり、以下の形態として実現することが可能である。
【0007】
(1)本発明の一形態によれば、電極が提供される。この電極は、3種以上7種以下の金属元素を含む合金からなり、前記合金に含まれる前記金属元素のうち、モル数が大きい上位3つの金属元素を大きい順に、第1金属元素、第2金属元素、第3金属元素とすると、前記第2金属元素のモル数は、前記第1金属元素のモル数の0.8倍以上1.0倍以下であり、前記第3金属元素のモル数は、前記第1金属元素のモル数の0.5倍以上1.0倍以下である。
【0008】
この構成によれば、電極を形成する合金に含まれる3種以上7種以下の金属元素について、モル数が大きい上位3つの金属元素を大きい順に、第1金属元素、第2金属元素、第3金属元素とすると、第2金属元素のモル数は、第1金属元素のモル数の0.8倍以上1.0倍以下となっており、第3金属元素のモル数は、第1金属元素のモル数の0.5倍以上1.0倍以下となっている。これにより、電極を放電電極として使用した場合、放電電圧のばらつきを小さくすることができる。
【0009】
(2)上記形態の電極において、前記合金は、4種以上6種以下の金属元素を含んでもよい。この構成によれば、電極を形成する合金は、4種以上6種以下の金属元素を含んでいるため、モル数が大きい上位3つの金属元素のそれぞれが適度なモル数で含まれる。これにより、放電電圧のばらつきをより小さくすることができる。
【0010】
(3)上記形態の電極において、前記第1金属元素と前記第2金属元素と前記第3金属元素とのそれぞれは、チタン、ジルコニウム、ニオブ、ハフニウム、タンタル、バナジウム、クロム、鉄のうちのいずれかであってもよい。この構成によれば、電極を形成する合金に含まれる金属元素のうち、モル数が大きい上位3つの金属元素のそれぞれは、熱伝導率が100W/(m・K)以下であり、融点が1500℃以上の遷移金属元素となっている。これにより、合金の熱伝導率が比較的小さくなり、放電時に電極の先端部分が高温になりやすいため、放電が安定し、放電電圧のばらつきを小さくすることができる。また、合金の融点が比較的高温になるため、放電時に電極の先端部分が高温になっても、合金が局所的に溶融し、飛散することを抑制することができる。これにより、放電電圧のばらつきを小さくすることができる。
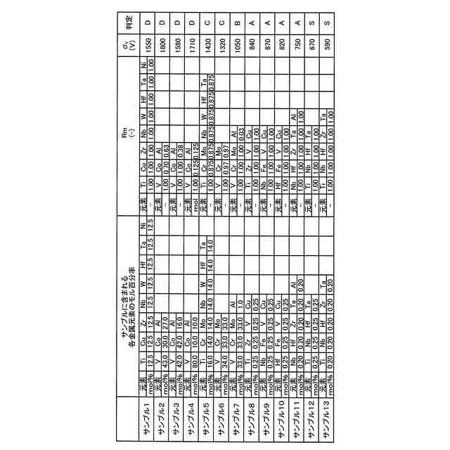
(【0011】以降は省略されています)
この特許をJ-PlatPat(特許庁公式サイト)で参照する
関連特許
日本特殊陶業株式会社
センサ
11日前
日本特殊陶業株式会社
賦形体
18日前
日本特殊陶業株式会社
センサ
1か月前
日本特殊陶業株式会社
圧電素子
1か月前
日本特殊陶業株式会社
反応装置
4日前
日本特殊陶業株式会社
保持装置
1か月前
日本特殊陶業株式会社
保持装置
23日前
日本特殊陶業株式会社
加熱装置
2日前
日本特殊陶業株式会社
化学センサ
1か月前
日本特殊陶業株式会社
ガスセンサ
9日前
日本特殊陶業株式会社
ガスセンサ
3日前
日本特殊陶業株式会社
ガスセンサ
2日前
日本特殊陶業株式会社
ガスセンサ
25日前
日本特殊陶業株式会社
FETセンサ
2日前
日本特殊陶業株式会社
アンテナ装置
4日前
日本特殊陶業株式会社
アンテナ装置
4日前
日本特殊陶業株式会社
電極埋設部材
1か月前
日本特殊陶業株式会社
アンテナ装置
4日前
日本特殊陶業株式会社
スパークプラグ
1か月前
日本特殊陶業株式会社
無鉛圧電磁器組成物
1か月前
日本特殊陶業株式会社
積層磁石及びモーター
2日前
日本特殊陶業株式会社
アンモニアの合成装置
1か月前
日本特殊陶業株式会社
積層磁石及びモーター
2日前
日本特殊陶業株式会社
積層磁石及びモーター
2日前
日本特殊陶業株式会社
積層磁石及びモーター
2日前
日本特殊陶業株式会社
アンモニアの合成装置
1か月前
日本特殊陶業株式会社
積層磁石及びモーター
2日前
日本特殊陶業株式会社
積層磁石及びモーター
2日前
日本特殊陶業株式会社
コンデンサモジュール
2日前
日本特殊陶業株式会社
セルスタックシステム
1か月前
日本特殊陶業株式会社
電極および蓄電デバイス
1か月前
日本特殊陶業株式会社
超音波トランスデューサ
9日前
日本特殊陶業株式会社
超音波トランスデューサ
9日前
日本特殊陶業株式会社
検知装置および検知方法
1か月前
日本特殊陶業株式会社
電極および蓄電デバイス
1か月前
日本特殊陶業株式会社
アンモニアの合成システム
1か月前
続きを見る
他の特許を見る