TOP
|
特許
|
意匠
|
商標
特許ウォッチ
Twitter
他の特許を見る
公開番号
2025135067
公報種別
公開特許公報(A)
公開日
2025-09-18
出願番号
2024032645
出願日
2024-03-05
発明の名称
インクジェット記録装置用水系顔料インクセット
出願人
日本化薬株式会社
代理人
主分類
C09D
11/40 20140101AFI20250910BHJP(染料;ペイント;つや出し剤;天然樹脂;接着剤;他に分類されない組成物;他に分類されない材料の応用)
要約
【課題】
本発明は、モットリングおよび色間にじみが極めて良好な印刷画像の提供を可能にするインクセットそのインクセットを用いるインクジェット記録方法、印刷メディア、及び印刷メディアセットを提供することを課題とする。
【解決手段】
インク1及びインク2を含み、先に印刷されるインク1の印刷物上における印刷ドット径Aを100とした場合、後に印刷されるインク2の印刷物上における印刷ドット径Bが、86を超え、かつ、120未満、であるインクジェット記録装置用水系顔料インクセット。
【選択図】なし
特許請求の範囲
【請求項1】
インク1及びインク2を含み、先に印刷されるインク1の印刷物上における印刷ドット径Aを100とした場合、後に印刷されるインク2の印刷物上における印刷ドット径Bが、86を超え、かつ、120未満、であるインクジェット記録装置用水系顔料インクセット。
続きを表示(約 540 文字)
【請求項2】
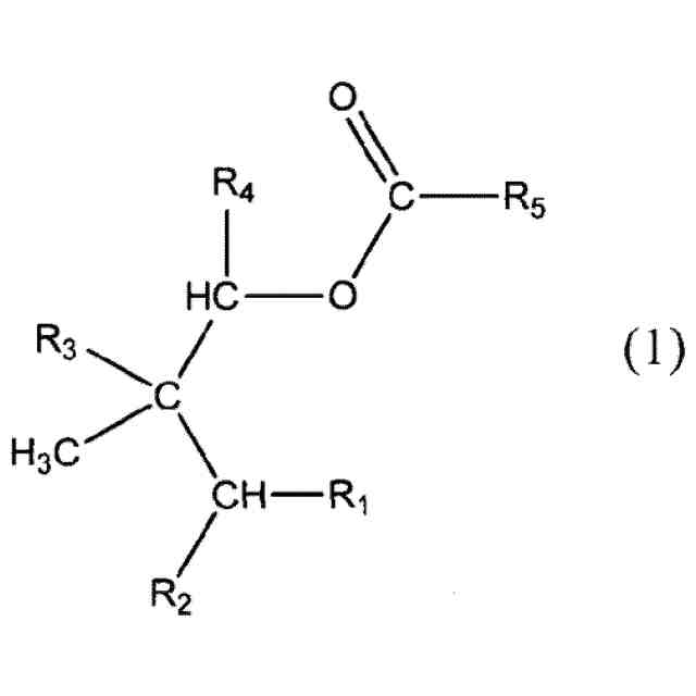
上記インク2が下記式(1)で表される化合物を含む、請求項1に記載のインクジェット記録装置用水系顔料インクセット。
TIFF
2025135067000003.tif
56
170
[式(1)中、R
1
はヒドロキシ基、ヒドロキシ基を有するアルコキシ基、アシロキシ基、又はアリールカルボニルオキシ基を表し、R
2
は水素原子又はアルキル基を表し、R
3
は水素原子又はアルキル基を表し、R
4
は水素原子、ヒドロキシ基、又はアルキル基を表し、R
5
はアルキル基を表す。]
【請求項3】
さらに上記インク1が上記式(1)で表される化合物を含み、上記インク1中の上記式(1)で表される化合物の含有質量をX、上記インク2中の上記式(1)で表される化合物の含有質量をY、とした場合、X<Yの関係を満たす、請求項2記載のインクジェット記録装置用水系顔料インクセット。
【請求項4】
インクジェット記録装置が、シングルパス式のインクジェット記録装置である、請求項1または2に記載のインクジェット記録装置用水系顔料インクセット。
発明の詳細な説明
【技術分野】
【0001】
本発明はインクジェット記録装置用水系顔料インクセット、及び該インクセットを用いるインクジェット記録方法に関する。
続きを表示(約 1,600 文字)
【背景技術】
【0002】
各種のカラー印刷方法の中でも代表的方法の1つであるインクジェットプリンタによる印刷方法は、インクの小滴を発生させ、これを紙等の印刷メディアに付着させ印刷を行うものである。近年では産業用途としての需要が高まり、様々な印刷メディアに対して印刷ができるインクが求められている。
【0003】
印刷メディアの中でも、インク非吸収性メディア、及び、インク難吸収性メディア(以下、「インク非・難吸収メディア」ということがある。)に対しては、メディア上での濡れ広がりが良好なインクが要望されている。メディア上での濡れ広がりがよいと、同じ量のインク滴を使用したときに着色できる面積が広くなる(換言すると、インクのドット径が大きくなる)ため、インクの消費量を抑えることができるためである。しかし、インク非・難吸収メディアは、インクの吸収性が悪いメディアである。このため、インクがメディア中にしみ込みにくく、インク吸収性メディアと比較して、インクの濡れ広がりが悪いことから、一般的にインクのドット径が小さくなる。この理由から、その改善が要望されている。
【0004】
さらに、印刷画質に関しては、粒状性ができるだけ少ないことが要求される。水不溶性の着色剤を含有するインクは、インク自体が不均一な状態(溶液の状態ではなく、分散液の状態)にある。そのような不均一な状態のインクで印刷メディアにベタ印刷を行うと、印刷画像に濃淡の「粒」が散在しているように見え、均一な画像に見えないことがある。そのような印刷画像は「粒状性が認められる」と評価され、印刷品質を著しく悪化させる要因の1つである。このため、粒状性ができるだけ少ない印刷画像が得られるインクが、強く要望されている。例えば、特許文献1、2、3にあるように、特定の有機溶剤や界面活性剤を組み合わせたインク組成物が開示されており、インク非・難吸収メディア向けに濡れ広がりが良好なインクが開示されている。
【0005】
また、カラー印刷を行うときは、複数の色からなるインクセットが使用される。そのようなインクセットを使用してカラー印刷を行うときに、第1の色のインクの着弾位置と、第2の色のインクの着弾位置とが印刷メディア上で隣り合うことによって、第1の色と、第2の色との色間において、にじみが発生する場合のあることが知られている。この「色間のにじみ」は、印刷品質を著しく悪化させる要因の1つである。このため、この色間のにじみの解消が求められ、これを解決するためのインクセットも提案されている。
【0006】
特許文献4によれば、これら色間にじみを解消すべく、アセチレングリコール系界面活性剤のポリアルコキシレートが含まれるインクが開示されており、インク非・難吸収メディア向けに色ムラ、色間にじみの少ない高品質な画像が得られるインクが提案されている。
【先行技術文献】
【特許文献】
【0007】
特開2016-044188号公報
特開2014-139004号公報
国際公開2011/136000号
特開2012-136573号公報
【発明の概要】
【発明が解決しようとする課題】
【0008】
色間にじみが少なく、高画質な画像が得られるインクセットが求められている。
【0009】
本発明は、上記事情に鑑みてなされたものであり、色間にじみが極めて良好な印刷画像の提供を可能にするインクセット、及び該インクセットを用いるインクジェット記録方法、印刷メディア、及び印刷メディアセットを提供することを目的とする。
【課題を解決するための手段】
【0010】
本発明者らは、上記した課題を解決すべく鋭意研究を重ねた結果、特定のインクセットが上記の課題を解決できることを見出し、本発明を完成させた。
(【0011】以降は省略されています)
この特許をJ-PlatPat(特許庁公式サイト)で参照する
関連特許
日本化薬株式会社
インク
25日前
日本化薬株式会社
ガス発生器
12日前
日本化薬株式会社
ガス発生器
1か月前
日本化薬株式会社
ガス発生器
1か月前
日本化薬株式会社
ガス発生器
14日前
日本化薬株式会社
防護システム
22日前
日本化薬株式会社
前処理組成物
11日前
日本化薬株式会社
インク組成物
25日前
日本化薬株式会社
メタノール改質触媒
1か月前
日本化薬株式会社
インク組成物及び捺染方法
11日前
日本化薬株式会社
ガス発生器及びエアバッグ装置
1か月前
日本化薬株式会社
ガス発生器およびその製造方法
20日前
日本化薬株式会社
プリテンショナー用ガス発生装置
18日前
日本化薬株式会社
ガス発生器およびガス発生器の製造方法
1か月前
日本化薬株式会社
インクジェットインク印刷物の製造方法。
25日前
日本化薬株式会社
安全装置、および、安全装置を備えた飛行体
1か月前
日本化薬株式会社
アクチュエータ、安全装置、および、飛行体
6日前
日本化薬株式会社
インクジェット記録装置用水系顔料インクセット
1か月前
日本化薬株式会社
メタクロレイン及び/又はメタクリル酸の製造用触媒
11日前
日本化薬株式会社
アントラキノン化合物を含有する液晶組成物及び調光素子
1か月前
日本化薬株式会社
画像表示システム及びヘッドアップディスプレイシステム
7日前
日本化薬株式会社
アントラキノン化合物を含有する液晶組成物及び調光素子
1か月前
日本化薬株式会社
アントラキノン化合物を含有する液晶組成物及び調光素子
26日前
日本化薬株式会社
アントラキノン化合物を含有する液晶組成物及び調光素子
26日前
日本化薬株式会社
アントラキノン化合物を含有する液晶組成物及び調光素子
1か月前
日本化薬株式会社
アントラキノン化合物を含有する液晶組成物及び調光素子
1か月前
日本化薬株式会社
アントラキノン化合物を含有する液晶組成物及び調光素子
13日前
日本化薬株式会社
ガス発生器
22日前
日本化薬株式会社
硬化性高分子化合物、該化合物を含む樹脂組成物、及び硬化物
1か月前
日本化薬株式会社
インクジェット捺染用白色顔料インク組成物、及びインクセット
7日前
日本化薬株式会社
ニロチニブ錠剤
2か月前
日本化薬株式会社
水系インク組成物、水系インクセット及びインクジェット記録方法
1か月前
日本化薬株式会社
インクジェット用インク、インクセット、インクジェット記録方法
7日前
日本化薬株式会社
液晶滴下工法用液晶シール剤の製造方法、及び液晶表示パネルの製造方法
12日前
日本化薬株式会社
アゾ化合物又はその塩、並びにそれらを含有する偏光膜、偏光板及び表示装置
12日前
国立大学法人北海道大学
触媒及びそれを用いた不飽和カルボン酸の製造方法
12日前
続きを見る
他の特許を見る