TOP
|
特許
|
意匠
|
商標
特許ウォッチ
Twitter
他の特許を見る
公開番号
2025156094
公報種別
公開特許公報(A)
公開日
2025-10-14
出願番号
2025049385
出願日
2025-03-25
発明の名称
インクジェット捺染用白色顔料インク組成物、及びインクセット
出願人
日本化薬株式会社
代理人
主分類
C09D
11/326 20140101AFI20251002BHJP(染料;ペイント;つや出し剤;天然樹脂;接着剤;他に分類されない組成物;他に分類されない材料の応用)
要約
【課題】
白色度が高く、且つ沈降しにくく、分散安定性に優れる白色顔料インク、及び白色顔料インクで形成した下地上にカラーインクを付着させた場合に、摩擦堅牢性及びべたつきの少ない風合いが優れるカラー画像を形成することが可能なインクセットの提供。
【解決手段】
白色顔料、高分子分散剤、ウレタン樹脂、水溶性有機溶剤、水、を含み、前記白色顔料の体積平均粒子径(D50)が200~270nmであり、前記水溶性有機溶剤が、グリセリンと、沸点215℃以下の多価アルコールを含む、インクジェット捺染用白色顔料インク組成物。
【選択図】なし
特許請求の範囲
【請求項1】
白色顔料、高分子分散剤、ウレタン樹脂、水溶性有機溶剤、水、を含み、前記白色顔料の体積平均粒子径(D50)が200~270nmであり、前記水溶性有機溶剤が、グリセリンと、沸点215℃以下の多価アルコールを含む、インクジェット捺染用白色顔料インク組成物。
続きを表示(約 910 文字)
【請求項2】
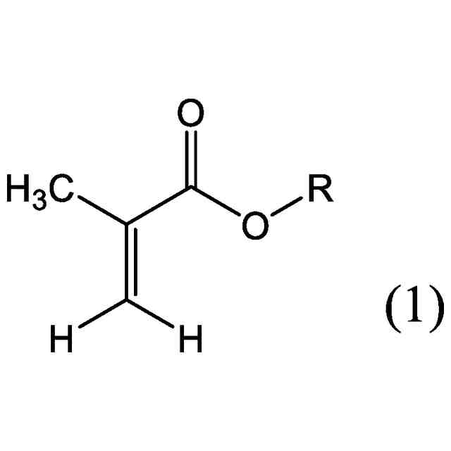
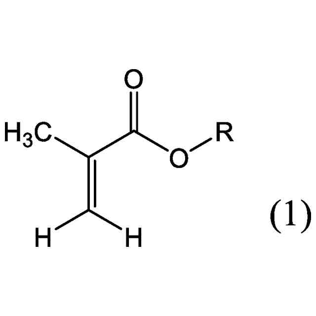
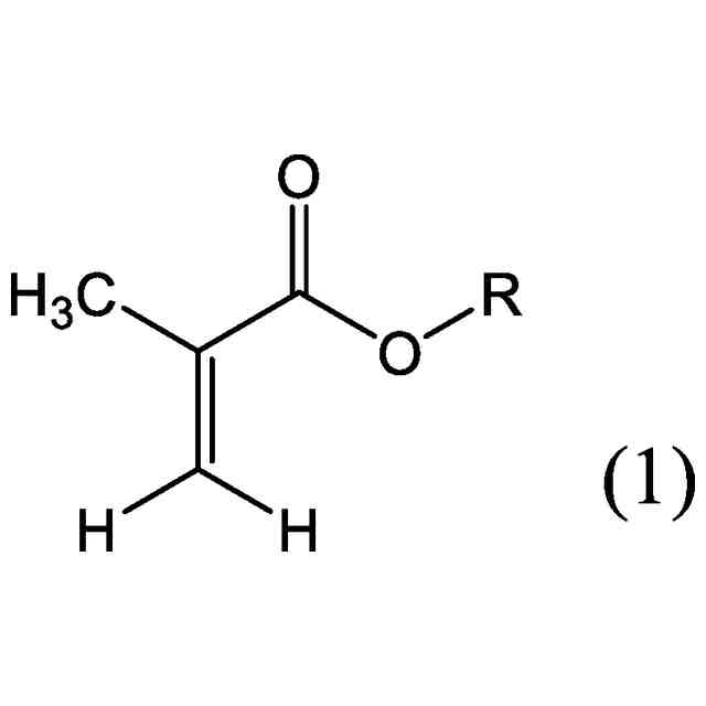
前記高分子分散剤が、下記式(1)で表されるモノマーA、モノマーB、及びモノマーCよりなる群から選択される少なくとも2種類のモノマーから構成されるポリマーである、請求項1に記載のインクジェット捺染用白色顔料インク組成物。
モノマーA:下記式(1)中、Rが水素原子であるモノマー。
モノマーB:下記式(1)中、RがC1-C6アルキル基であるモノマー。
モノマーC:下記式(1)中、Rがアリール基又はアリールC1-C4アルキル基であるモノマー。
TIFF
2025156094000009.tif
30
170
【請求項3】
前記高分子分散剤の重量平均分子量が10000~40000である、請求項1又は2に記載のインクジェット捺染用白色顔料インク組成物。
【請求項4】
前記ウレタン樹脂として、ポリエステル型ウレタン樹脂とポリカーボネート型ウレタン樹脂の2種を含む、請求項1又は2に記載のインクジェット捺染用白色顔料インク組成物。
【請求項5】
25℃において、静的表面張力が30~40mN/m、粘度が3~20mPa・sである、請求項1又は2に記載のインクジェット捺染用白色顔料インク組成物。
【請求項6】
請求項1又は2に記載のインクジェット捺染用白色顔料インク組成物と、顔料、ブロックポリマー型樹脂分散剤、ウレタン樹脂、架橋剤、水溶性有機溶剤、界面活性剤、水を含有する、1種類以上のインクジェット捺染用カラーインク組成物と、を含む、インクセット。
【請求項7】
前記ブロックポリマー型樹脂分散剤の重量平均分子量が10000~30000である、請求項6に記載のインクセット。
【請求項8】
前記架橋剤が、ブロック型イソシアネート基含有化合物である、請求項6に記載のインクセット。
【請求項9】
請求項6に記載のウレタン樹脂が、ポリエステル型ウレタン樹脂とポリカーボネート型ウレタン樹脂の2種を含む、請求項6に記載のインクセット。
発明の詳細な説明
【技術分野】
【0001】
本発明は、インクジェット捺染用白色顔料インク組成物、及びカラーインクを含むインクセットに関する。
続きを表示(約 2,200 文字)
【背景技術】
【0002】
従来、繊維の捺染方法においては、手描きやスクリーン印刷が主流であった。しかし、最近ではインクジェットプリンタを用いる繊維の捺染(インクジェット捺染)方法が増加している。
インクジェット捺染方法は、スクリーン印刷やグラビア印刷等のアナログ印刷方法よりも、少量多品種の印刷物に適しており、インクジェット捺染方法による布帛の適用範囲の拡大が望まれている。このような適用範囲の拡大に伴い、ガーメント印刷やホームテキスタイル印刷において、様々な布帛(例えば、綿、ポリエステル、ナイロン、又は2種以上の繊維を含む混紡等)や様々な生地の種類(例えば、ニット、シーチング、ブロード、オックスフォード、シャンブレー、メッシュなど)に対して、濃度、堅牢性(例えば、摩擦堅牢度、洗濯堅牢度、耐光性等)の更なる向上が求められている。
【0003】
インクジェット捺染に用いる着色剤として、水溶性の染料が挙げられる。そのような染料は、色相が鮮明で、再現できる色域も広い。その反面、水溶性の染料は耐光性が低く、繊維に染料を付着させた後の定着、及び水洗等の工程、さらには水洗等により生じる染料廃液の処理等が煩雑という欠点を有する。このため、水溶性の染料の代わりに、水不溶性の着色剤の使用が注目されている。
【0004】
水不溶性の着色剤として白顔料を用いるインクジェット捺染方法においては、白色顔料を含有する白色顔料インクを布帛に付着させて白色の下地を形成した後に、カラーインクをさらに付着させてカラー画像を形成する方法が一般的に知られている。特に、黒色を含む濃色の布帛に対して白色以外のカラーインクを直接捺染すると、目視ではカラーインクの色を認識できないことがある。このため、白色以外の色の布帛にカラーインクで捺染をする場合には、通常、白色の下地を形成する。
【0005】
白色の下地上にカラーインクを付着させてカラー画像を形成する場合、下地の白色度が低いとカラー画像の発色が低下してしまう。この理由から、下地の白色度は高い方が望ましい。発色をよくするために、白色度及び隠蔽性の高い白色顔料インクを用いることが一般的であり、その顔料としては無機顔料、とくに二酸化チタンを用いることが多い。
しかしながら、二酸化チタンを始めとする無機顔料は比重が高いため、顔料沈降の抑制が課題となる。顔料が沈降すると、インクジェットノズルからの吐出時に目詰まりを起こしたり、インクの貯蔵安定性が悪くなったりするなどの問題がある。
顔料の沈降を抑制するために、二酸化チタンの粒子径を小さくすると、沈降は軽減することができるが、白色度及び隠蔽性が著しく低下してしまうという問題がある。このため、これらの問題を解決できる白色顔料インクが強く望まれている。
【0006】
また、白色の下地上にカラーインクを付着させてベタ部分を有するカラー画像を形成する場合、白インクとカラーインクとの組み合わせによっては、カラー画像の摩擦堅牢性、洗濯堅牢性が悪く、品質が劣る捺染物が得られることがある。このため、この問題を解決できるインクセットが強く望まれている。
【0007】
特許文献1及び2には、白顔料を含有するインクが開示されている。
【先行技術文献】
【特許文献】
【0008】
特表2018-505244号公報
特開2017-31354号公報
【発明の概要】
【発明が解決しようとする課題】
【0009】
本発明は、白色度が高く、且つ沈降しにくく、分散安定性に優れる白色顔料インク、及び白色顔料インクで形成した下地上にカラーインクを付着させた場合に、摩擦堅牢性及び風合いが優れるカラー画像を形成することが可能なインクセットの提供である。
【課題を解決するための手段】
【0010】
本発明者等は鋭意検討の結果、白色顔料、高分子分散剤、ウレタン樹脂、水溶性有機溶剤、水、を含み、前記白色顔料の体積平均粒子径(D50)が200~270nmであり、前記水溶性有機溶剤が、グリセリンと、沸点215℃以下の多価アルコールを含む、インクジェット捺染用白色顔料インク組成物により、上記の課題を解決できることを見出し、本発明を完成させた。
即ち、本発明は以下の1)~9)に関する。
1)
白色顔料、高分子分散剤、ウレタン樹脂、水溶性有機溶剤、水、を含み、前記白色顔料の体積平均粒子径(D50)が200~270nmであり、前記水溶性有機溶剤が、グリセリンと、沸点215℃以下の多価アルコールを含む、インクジェット捺染用白色顔料インク組成物。
2)
前記高分子分散剤が、下記式(1)で表されるモノマーA、モノマーB、及びモノマーCよりなる群から選択される少なくとも2種類のモノマーから構成されるポリマーである、1)に記載のインクジェット捺染用白色顔料インク組成物。
モノマーA:下記式(1)中、Rが水素原子であるモノマー。
モノマーB:下記式(1)中、RがC1-C6アルキル基であるモノマー。
モノマーC:下記式(1)中、Rがアリール基又はアリールC1-C4アルキル基であるモノマー。
(【0011】以降は省略されています)
この特許をJ-PlatPat(特許庁公式サイト)で参照する
関連特許
日本化薬株式会社
インク
2か月前
日本化薬株式会社
インク
22日前
日本化薬株式会社
ガス発生器
1か月前
日本化薬株式会社
ガス発生器
1か月前
日本化薬株式会社
ガス発生器
3日前
日本化薬株式会社
ガス発生器
23日前
日本化薬株式会社
前処理組成物
1か月前
日本化薬株式会社
防護システム
2か月前
日本化薬株式会社
インクセット
22日前
日本化薬株式会社
ガス発生剤組成物
22日前
日本化薬株式会社
インク組成物及び捺染方法
1か月前
日本化薬株式会社
ガス発生器およびその製造方法
1か月前
日本化薬株式会社
プリテンショナー用ガス発生装置
1か月前
日本化薬株式会社
直鎖ブテン製造用触媒及びその使用
1か月前
日本化薬株式会社
アクチュエータ、安全装置、および、飛行体
1か月前
日本化薬株式会社
メタクロレイン及び/又はメタクリル酸の製造用触媒
1か月前
日本化薬株式会社
アントラキノン化合物を含有する液晶組成物及び調光素子
1か月前
日本化薬株式会社
画像表示システム及びヘッドアップディスプレイシステム
1か月前
富士フィルター工業株式会社
フィルタ、及びガス発生器
22日前
日本化薬株式会社
ガス発生器
2か月前
日本化薬株式会社
インクジェット捺染用白色顔料インク組成物、及びインクセット
1か月前
日本化薬株式会社
インクジェット用インク、インクセット、インクジェット記録方法
1か月前
日本化薬株式会社
液晶滴下工法用液晶シール剤の製造方法、及び液晶表示パネルの製造方法
1か月前
日本化薬株式会社
アゾ化合物又はその塩、並びにそれらを含有する偏光膜、偏光板及び表示装置
1か月前
国立大学法人北海道大学
触媒及びそれを用いた不飽和カルボン酸の製造方法
1か月前
日本化薬株式会社
安全装置、および、安全装置を備えた飛行体
1か月前
日本化薬株式会社
縮合多環芳香族化合物、有機半導体材料、光電変換素子用材料、有機薄膜、及び有機光電変換素子
1か月前
日本化薬株式会社
インク
22日前
日本化薬株式会社
インク
2か月前
ベック株式会社
水性被覆材
1か月前
ベック株式会社
被膜形成方法
3か月前
ベック株式会社
被膜形成方法
1か月前
個人
絵具及び絵具セット
1か月前
日本化薬株式会社
前処理組成物
1か月前
日本化薬株式会社
インク組成物
2か月前
日本製紙株式会社
圧着紙
1か月前
続きを見る
他の特許を見る