TOP
|
特許
|
意匠
|
商標
特許ウォッチ
Twitter
他の特許を見る
公開番号
2025132402
公報種別
公開特許公報(A)
公開日
2025-09-10
出願番号
2024029937
出願日
2024-02-29
発明の名称
健康リスク推定システム
出願人
大和ハウス工業株式会社
代理人
個人
,
個人
主分類
G16H
10/00 20180101AFI20250903BHJP(特定の用途分野に特に適合した情報通信技術)
要約
【課題】対象者の健康上のリスクを好適に推定可能な健康リスク推定システムを提供する。
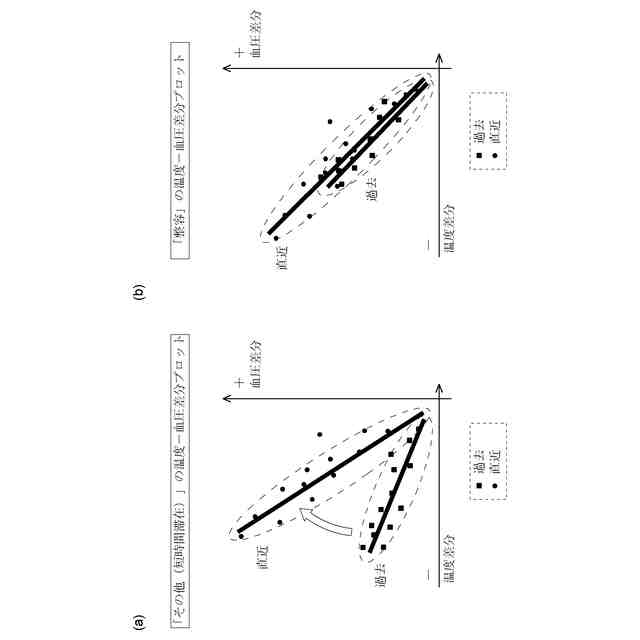
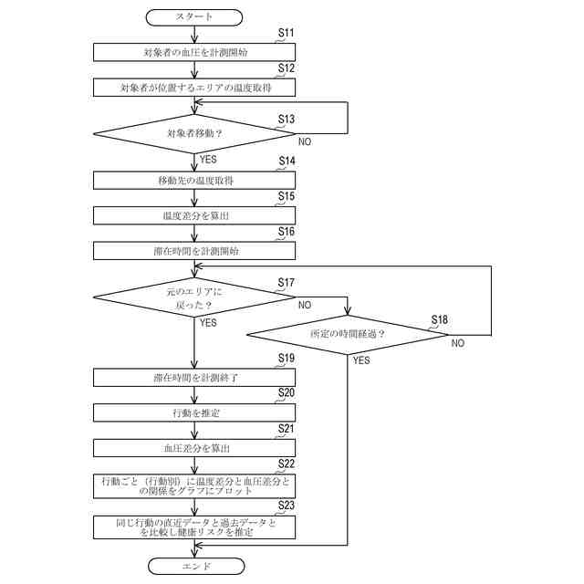
【解決手段】移動先のエリアにおける対象者の行動を推定可能(ステップS20)な行動推定部と、行動推定部によって推定される行動ごとに、移動先のエリアの第2の温度と移動前のエリアの第1の温度との差である温度差分と、対象者が移動先のエリアから移動前のエリアに帰ってきたときの第2の血圧値と対象者が移動前のエリアにいたときの第1の血圧値との差である血圧差分との関係を示す温度血圧データを取得する(ステップS15、S21、S22)温度血圧データ取得部と、第一の期間における温度血圧データである第一温度血圧データと、第一の期間よりも過去のものであって第一温度血圧データの行動と同様な行動の温度血圧データである第二温度血圧データとの比較結果に基づいて対象者の健康リスクを推定可能(ステップS23)な健康リスク推定部と、を具備する。
【選択図】図3
特許請求の範囲
【請求項1】
複数のエリアを有する建物内の対象者の健康リスクを推定する健康リスク推定システムであって、
前記対象者のエリア間の移動を検知する移動検知部と、
移動先のエリアにおける前記対象者の行動を推定可能な行動推定部と、
移動前のエリアの温度である第1の温度及び前記移動先のエリアの温度である第2の温度を検出する温度検出部と、
前記対象者が前記移動前のエリアにいたときの前記対象者の血圧値である第1の血圧値、及び前記対象者が前記移動先のエリアから前記移動前のエリアに帰ってきたときの前記対象者の血圧値である第2の血圧値を検出する血圧検出部と、
前記行動推定部によって推定される前記行動ごとに、前記第2の温度と前記第1の温度との差である温度差分と、前記第2の血圧値と前記第1の血圧値との差である血圧差分と、の関係を示す温度血圧データを取得する温度血圧データ取得部と、
第一の期間における前記温度血圧データである第一温度血圧データと、前記第一の期間よりも過去のものであって、前記第一温度血圧データの前記行動と同様な行動の前記温度血圧データである第二温度血圧データと、の比較結果に基づいて前記対象者の健康リスクを推定可能な健康リスク推定部と、
を具備する健康リスク推定システム。
続きを表示(約 750 文字)
【請求項2】
前記温度血圧データ取得部は、
前記温度差分と前記血圧差分とをグラフにプロットし、プロットされた各点に基づいて回帰直線を算出することによって、前記温度血圧データを取得し、
前記健康リスク推定部は、
前記第一温度血圧データの前記回帰直線と前記第二温度血圧データの前記回帰直線との比較結果に基づいて、前記対象者の健康リスクを推定可能である、
請求項1に記載の健康リスク推定システム。
【請求項3】
前記健康リスク推定部は、
前記第一温度血圧データの前記回帰直線の傾きと前記第二温度血圧データの前記回帰直線の傾きとの比較結果に基づいて、前記対象者の健康リスクを推定可能である、
請求項2に記載の健康リスク推定システム。
【請求項4】
前記健康リスク推定部は、
前記第一温度血圧データの前記回帰直線の切片と前記第二温度血圧データの前記回帰直線の切片との比較結果に基づいて、前記対象者の健康リスクを推定可能である、
請求項2に記載の健康リスク推定システム。
【請求項5】
前記行動推定部は、
前記対象者の前記行動を、前記移動先のエリアの滞在時間に基づいて推定する、
請求項1から請求項4までのいずれか一項に記載の健康リスク推定システム。
【請求項6】
前記対象者の動作を検出可能な動作検出部を具備し、
前記移動検知部は、
前記対象者のエリア間の移動を、前記動作検出部の検出結果に基づいて検知し、
前記血圧検出部及び前記動作検出部は、共通の装置である、
請求項1から請求項4までのいずれか一項に記載の健康リスク推定システム。
発明の詳細な説明
【技術分野】
【0001】
本発明は、健康リスク推定システムの技術に関する。
続きを表示(約 1,400 文字)
【背景技術】
【0002】
従来、対象者の健康上のリスク(健康リスク)を推定するシステムの技術は公知となっている。例えば、特許文献1に記載の如くである。
【0003】
引用文献1には、室温と基準温度との差に基づいて対象者の血圧変動値を推定し、血圧変動値に基づいて対象者の健康リスクを推定する技術が開示されている。上記特許文献1に記載された発明によれば、室内温度環境の変化に伴う健康リスクを示すことができる。
【0004】
しかしながら、血圧は、様々な影響を受けて変動する。上記特許文献1に記載された発明では、室内温度環境以外の血圧変動の要因を考慮していないため、対象者の健康上のリスクを好適に推定し難いことが想定される。
【先行技術文献】
【特許文献】
【0005】
特開2019-67183号公報
【発明の概要】
【発明が解決しようとする課題】
【0006】
本発明は以上の如き状況に鑑みてなされたものであり、その解決しようとする課題は、対象者の健康上のリスクを好適に推定可能な健康リスク推定システムを提供することである。
【課題を解決するための手段】
【0007】
本発明の解決しようとする課題は以上の如くであり、次にこの課題を解決するための手段を説明する。
【0008】
即ち、請求項1においては、複数のエリアを有する建物内の対象者の健康リスクを推定する健康リスク推定システムであって、前記対象者のエリア間の移動を検知する移動検知部と、移動先のエリアにおける前記対象者の行動を推定可能な行動推定部と、移動前のエリアの温度である第1の温度及び前記移動先のエリアの温度である第2の温度を検出する温度検出部と、前記対象者が前記移動前のエリアにいたときの前記対象者の血圧値である第1の血圧値、及び前記対象者が前記移動先のエリアから前記移動前のエリアに帰ってきたときの前記対象者の血圧値である第2の血圧値を検出する血圧検出部と、前記行動推定部によって推定される前記行動ごとに、前記第2の温度と前記第1の温度との差である温度差分と、前記第2の血圧値と前記第1の血圧値との差である血圧差分と、の関係を示す温度血圧データを取得する温度血圧データ取得部と、第一の期間における前記温度血圧データである第一温度血圧データと、前記第一の期間よりも過去のものであって、前記第一温度血圧データの前記行動と同様な行動の前記温度血圧データである第二温度血圧データと、の比較結果に基づいて前記対象者の健康リスクを推定可能な健康リスク推定部と、を具備するものである。
【0009】
請求項2においては、前記温度血圧データ取得部は、前記温度差分と前記血圧差分とをグラフにプロットし、プロットされた各点に基づいて回帰直線を算出することによって、前記温度血圧データを取得し、前記健康リスク推定部は、前記第一温度血圧データの前記回帰直線と前記第二温度血圧データの前記回帰直線との比較結果に基づいて、前記対象者の健康リスクを推定可能であるものである。
【0010】
請求項3においては、前記健康リスク推定部は、前記第一温度血圧データの前記回帰直線の傾きと前記第二温度血圧データの前記回帰直線の傾きとの比較結果に基づいて、前記対象者の健康リスクを推定可能であるものである。
(【0011】以降は省略されています)
この特許をJ-PlatPat(特許庁公式サイト)で参照する
関連特許
個人
支援システム
5か月前
個人
医療のAI化
1か月前
個人
管理装置
4か月前
個人
対話システム
4か月前
個人
通知ぬいぐるみAIシステム
1か月前
個人
情報システムおよび方法
6か月前
株式会社タカゾノ
薬剤秤量装置
2か月前
株式会社タカゾノ
薬剤秤量装置
2か月前
株式会社タカゾノ
薬剤秤量装置
2か月前
株式会社タカゾノ
薬剤秤量装置
4か月前
株式会社タカゾノ
薬剤秤量装置
2か月前
株式会社タカゾノ
薬剤秤量装置
2か月前
株式会社リコー
投薬管理システム
1か月前
TOTO株式会社
健康管理システム
7日前
ゾーン株式会社
コンピュータシステム
5か月前
株式会社M-INT
情報処理システム
6か月前
個人
診療の管理装置及び診療システム
2か月前
株式会社サンクスネット
情報提供システム
4か月前
大王製紙株式会社
作業管理システム
6か月前
株式会社CureApp
プログラム
3か月前
株式会社 137
健康観察管理システム
4か月前
株式会社ミラボ
情報処理装置、及びプログラム
2か月前
合同会社フォース
オンライン診療システム
6か月前
西川株式会社
サービス出力システム
4か月前
大和ハウス工業株式会社
服薬推定システム
7日前
株式会社タカゾノ
薬剤秤量装置及び調剤システム
4か月前
歯っぴー株式会社
口内状態の画像診断方法
2か月前
株式会社SECRET MEDICINE
管理装置
1か月前
二九精密機械工業株式会社
健康管理要素評価支援システム
4か月前
株式会社サンクスネット
健康医療情報管理システム
2か月前
株式会社エフアンドエフ
在宅健康チェックシステム
5か月前
HITOTSU株式会社
手術管理システム1
5か月前
キラル株式会社
プログラムの提供システムおよびその方法
10日前
株式会社ジーシー
予測方法および予測システム
4か月前
まちなかMEセンター株式会社
生体情報管理システム
3か月前
日本光電工業株式会社
医療支援装置
6か月前
続きを見る
他の特許を見る