TOP
|
特許
|
意匠
|
商標
特許ウォッチ
Twitter
他の特許を見る
10個以上の画像は省略されています。
公開番号
2025043123
公報種別
公開特許公報(A)
公開日
2025-03-28
出願番号
2023150451
出願日
2023-09-15
発明の名称
均一性評価プログラム、方法、装置、異方性材料の製造装置、及び製造方法
出願人
三井化学株式会社
代理人
弁理士法人太陽国際特許事務所
主分類
G01N
21/17 20060101AFI20250321BHJP(測定;試験)
要約
【課題】異方性材料の表面における特定の方向毎の均一性を評価するための指標を算出する。
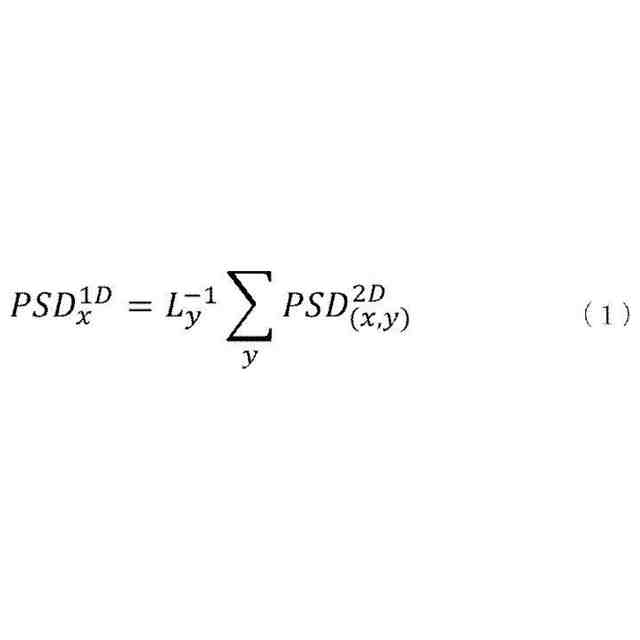
【解決手段】取得部32が、異方性材料の表面の濃淡を表す濃淡画像を取得し、変換部34が、濃淡画像に対する空間周波数解析により、各画素が空間周波数毎のパワースペクトルの値を持つパワースペクトル画像に変換し、平均値算出部36が、パワースペクトル画像の水平方向及び垂直方向の各方向について、空間周波数毎のパワースペクトルの平均値を算出し、指標算出部38が、空間周波数を横軸、パワースペクトルを縦軸とする空間に、各方向について算出した平均値を対数変換した値をプロットしたグラフの傾きを、異方性材料の表面の均一性を示す指標として算出する。
【選択図】図2
特許請求の範囲
【請求項1】
コンピュータに、
異方性材料の表面の濃淡を表す濃淡画像を取得し、
前記濃淡画像に対する空間周波数解析により、各画素が空間周波数毎のパワースペクトルの値を持つパワースペクトル画像に変換し、
前記パワースペクトル画像の水平方向及び垂直方向の各方向について、前記空間周波数毎のパワースペクトルの平均値を算出し、
空間周波数を横軸、パワースペクトルを縦軸とする空間に、各方向について算出した前記平均値を対数変換した値をプロットしたグラフの傾きを、前記異方性材料の表面の均一性を示す指標として算出する
ことを実行させるための均一性評価プログラム。
続きを表示(約 1,400 文字)
【請求項2】
前記濃淡画像を前記パワースペクトル画像に変換する処理は、
前記濃淡画像に対して2次元フーリエ変換を行い、前記濃淡画像をフーリエ変換後画像に変換すること、及び、
前記フーリエ変換後画像の各画素の画素値である振幅を二乗してパワースペクトルを算出し、前記フーリエ変換後画像をパワースペクトル画像に変換すること、
を含む請求項1に記載の均一性評価プログラム。
【請求項3】
前記指標を算出することは、前記水平方向についての指標、前記垂直方向についての指標、及び前記水平方向についての指標と前記垂直方向についての指標とを統合した指標を算出することを含む請求項1又は請求項2に記載の均一性評価プログラム。
【請求項4】
前記指標を算出することは、前記水平方向についての指標と前記垂直方向についての指標とを統合した指標を算出することを含む請求項1又は請求項2に記載の均一性評価プログラム。
【請求項5】
前記濃淡画像は、前記異方性材料の表面を透過した光、又は前記異方性材料の表面で反射した光を撮像することにより得られる画像である請求項1又は請求項2に記載の均一性評価プログラム。
【請求項6】
前記異方性材料は、シート材料である請求項1又は請求項2に記載の均一性評価プログラム。
【請求項7】
前記シート材料は、不織布又はフィルムである請求項6に記載の均一性評価プログラム。
【請求項8】
コンピュータが、
異方性材料の表面の濃淡を表す濃淡画像を取得し、
前記濃淡画像に対する空間周波数解析により、各画素が空間周波数毎のパワースペクトルの値を持つパワースペクトル画像に変換し、
前記パワースペクトル画像の水平方向及び垂直方向の各方向について、前記空間周波数毎のパワースペクトルの平均値を算出し、
空間周波数を横軸、パワースペクトルを縦軸とする空間に、各方向について算出した前記平均値を対数変換した値をプロットしたグラフの傾きを、前記異方性材料の表面の均一性を示す指標として算出する
ことを実行する均一性評価方法。
【請求項9】
異方性材料の表面の濃淡を表す濃淡画像を取得する取得部と、
前記濃淡画像に対する空間周波数解析により、各画素が空間周波数毎のパワースペクトルの値を持つパワースペクトル画像に変換する変換部と、
前記パワースペクトル画像の水平方向及び垂直方向の各方向について、前記空間周波数毎のパワースペクトルの平均値を算出する平均算出部と、
空間周波数を横軸、パワースペクトルを縦軸とする空間に、各方向について算出した前記平均値を対数変換した値をプロットしたグラフの傾きを、前記異方性材料の表面の均一性を示す指標として算出する指標算出部と、
を含む均一性評価装置。
【請求項10】
請求項9に記載の均一性評価装置と、
前記異方性材料を製造する製造機構と、
前記異方性材料の表面を撮像する撮像装置と、
前記均一性評価装置により算出された前記指標に基づいて、前記異方性材料の表面の均一性が予め定めた目標値に近づくように、前記製造機構の動作を制御する制御部と、
を含む異方性材料の製造装置。
(【請求項11】以降は省略されています)
発明の詳細な説明
【技術分野】
【0001】
本開示は、均一性評価プログラム、均一性評価方法、均一性評価装置、異方性材料の製造装置、及び異方性材料の製造方法に関する。
続きを表示(約 1,800 文字)
【背景技術】
【0002】
不定形物体の特徴をより高精度に反映したデータを算出し、不定形物体を高精度に分類する物体識別装置が提案されている。この装置は、不定形物体のフラウンフォーファ回折像のパワースペクトルパターンに基づいたパラメータを算出し、このパラメータを使って不定形物体の分類を行う。この際、この装置は、パワースペクトルパターンの適当な部分で回帰直線の傾き又はy切片を算出し、これに基づいて不定形物体画像の輸郭のフラクタル次元や内部構造のフラクタル次元を調べ、不定形物体の特徴を高精度に反映したパラメータを取得する。そして、この装置は、取得したパラメータを用いて不定形物体の識別判定を行う(特許文献1参照)。
【先行技術文献】
【特許文献】
【0003】
特開2000-292747号公報
【発明の概要】
【発明が解決しようとする課題】
【0004】
特許文献1に記載の技術で利用されているフラウンフォーファ回折は、白血球、尿、血液等、液体中に存在する非常に小さい(例えば、粒子径が1~200nm等)透明な不定形物体の測定には有効である。しかし、例えば、不織布、フィルム、紙等の比較的大きい不透明な材料の表面の均一性を俯瞰する評価方法には不適である。
【0005】
また、フラウンフォーファ回折は、等方的なパワースペクトルが得られるものであり、異方性材料の表面における特定の方向毎の均一性を評価することには適用することができない。
【0006】
本開示は、上記の点に鑑みてなされたものであり、異方性材料の表面における特定の方向毎の均一性を評価するための指標を算出することができる均一性評価プログラム、方法、及び装置を提供することを目的とする。
【課題を解決するための手段】
【0007】
第1態様に係る均一性評価プログラムは、コンピュータに、異方性材料の表面の濃淡を表す濃淡画像を取得し、前記濃淡画像に対する空間周波数解析により、各画素が空間周波数毎のパワースペクトルの値を持つパワースペクトル画像に変換し、前記パワースペクトル画像の水平方向及び垂直方向の各方向について、前記空間周波数毎のパワースペクトルの平均値を算出し、空間周波数を横軸、パワースペクトルを縦軸とする空間に、各方向について算出した前記平均値を対数変換した値をプロットしたグラフの傾きを、前記異方性材料の表面の均一性を示す指標として算出することを実行させるためのプログラムである。
【0008】
第2態様に係る均一性評価方法は、コンピュータが、異方性材料の表面の濃淡を表す濃淡画像を取得し、前記濃淡画像に対する空間周波数解析により、各画素が空間周波数毎のパワースペクトルの値を持つパワースペクトル画像に変換し、前記パワースペクトル画像の水平方向及び垂直方向の各方向について、前記空間周波数毎のパワースペクトルの平均値を算出し、空間周波数を横軸、パワースペクトルを縦軸とする空間に、各方向について算出した前記平均値を対数変換した値をプロットしたグラフの傾きを、前記異方性材料の表面の均一性を示す指標として算出することを実行する方法である。
【0009】
第3態様に係る均一性評価装置は、異方性材料の表面の濃淡を表す濃淡画像を取得する取得部と、前記濃淡画像に対する空間周波数解析により、各画素が空間周波数毎のパワースペクトルの値を持つパワースペクトル画像に変換する変換部と、前記パワースペクトル画像の水平方向及び垂直方向の各方向について、前記空間周波数毎のパワースペクトルの平均値を算出する平均算出部と、空間周波数を横軸、パワースペクトルを縦軸とする空間に、各方向について算出した前記平均値を対数変換した値をプロットしたグラフの傾きを、前記異方性材料の表面の均一性を示す指標として算出する指標算出部と、を含んで構成される。
【0010】
第4態様に係る異方性材料の製造装置は、上記の均一性評価装置と、前記異方性材料を製造する製造機構と、前記異方性材料の表面を撮像する撮像装置と、前記均一性評価装置により算出された前記指標に基づいて、前記異方性材料の表面の均一性が予め定めた目標値に近づくように、前記製造機構の動作を制御する制御部と、を含んで構成される。
(【0011】以降は省略されています)
この特許をJ-PlatPat(特許庁公式サイト)で参照する
関連特許
三井化学株式会社
混練装置
3日前
三井化学株式会社
ペレット
15日前
三井化学株式会社
センサユニット
17日前
三井化学株式会社
積層体および緩衝材
16日前
三井化学株式会社
サイドドア及び移動体
15日前
三井化学株式会社
光学プレートの製造方法
24日前
三井化学株式会社
光学材料及びその製造方法
5日前
三井化学株式会社
アンダーカバー及び移動体
2日前
三井化学株式会社
樹脂組成物およびその用途
15日前
三井化学株式会社
多孔質膜及び多孔質膜の製造方法
1日前
三井化学株式会社
ポリアミド樹脂組成物および成形体
1か月前
三井化学株式会社
ポリアミド樹脂組成物および成形体
15日前
三井化学株式会社
シートフレーム、シート、及び移動体
1日前
三井化学株式会社
パターン構造付き樹脂硬化物の製造方法
23日前
三井化学株式会社
加飾された立体構造物及びその製造方法
23日前
三井化学株式会社
繊維強化樹脂シートおよびその製造方法
26日前
三井化学株式会社
ゴム組成物、架橋体、成形体、放熱シート
1日前
三井化学株式会社
鮮度保持包装部材及び青果物の鮮度保持方法
5日前
三井化学株式会社
延伸フィルムおよび延伸フィルムの製造方法
2日前
三井化学株式会社
エチレン・α-オレフィン共重合体の製造方法
24日前
三井化学株式会社
熱可塑性ポリウレタン樹脂組成物およびフィルム
5日前
三井化学株式会社
予測装置、予測方法、プログラム及び実験システム
26日前
三井化学株式会社
仮固定材用組成物、積層体及び半導体装置の製造方法
24日前
三井化学株式会社
エチレン系共重合体組成物、積層体および工業用ベルト
24日前
三井化学株式会社
エチレン系共重合体組成物、積層体および工業用ベルト
24日前
三井化学株式会社
口腔ケア組成物、抗炎症用組成物、及び口腔内炎症抑制剤
15日前
三井化学株式会社
ポリアミド樹脂組成物、コネクター用筐体およびコネクター
1か月前
三井化学株式会社
ジオール化合物、樹脂、ポリカーボネート樹脂および光学成形体
1日前
三井化学株式会社
ポリアミド樹脂組成物、ポリアミド樹脂組成物の製造方法及び成形体
1日前
三井化学株式会社
ポリアミド樹脂組成物、ポリアミド樹脂組成物の製造方法及び成形体
1日前
三井化学株式会社
ポリアミド樹脂組成物、ポリアミド樹脂組成物の製造方法および成形体
15日前
三井化学株式会社
遷移金属化合物、オレフィン重合用触媒およびオレフィン重合体の製造方法
3日前
三井化学株式会社
遷移金属化合物、オレフィン重合用触媒およびオレフィン重合体の製造方法
3日前
三井化学株式会社
標的物質の存在状態の判定方法、キット、及び標的物質の存在状態の判定装置
9日前
三井化学株式会社
EUVリソグラフィ用ペリクル
1か月前
三井化学株式会社
無電解銅めっき液、被めっき材の製造方法、および異方導電性シートの製造方法
1か月前
続きを見る
他の特許を見る