TOP
|
特許
|
意匠
|
商標
特許ウォッチ
Twitter
他の特許を見る
10個以上の画像は省略されています。
公開番号
2025176153
公報種別
公開特許公報(A)
公開日
2025-12-03
出願番号
2025153275,2024561781
出願日
2025-09-16,2024-06-26
発明の名称
ポリエステル樹脂組成物、及びその成形品
出願人
三菱瓦斯化学株式会社
代理人
個人
,
個人
,
個人
主分類
C08L
67/02 20060101AFI20251126BHJP(有機高分子化合物;その製造または化学的加工;それに基づく組成物)
要約
【課題】ポリエステル樹脂の色調を損なわずに耐UV性を付与するポリエステル樹脂組成物を提供する。
【解決手段】ポリエステル樹脂(A)および染料(B)を含むポリエステル樹脂組成物であって、ポリエステル樹脂(A)はジカルボン酸構成単位とジオール構成単位を有し、前記ジカルボン酸構成単位はテレフタル酸単位及び/又は2,6-ナフタレンジカルボン酸単位であり、前記ジオール構成単位の5~90モル%が下記一般式(1)または(2)で表される単位であり、且つ、前記ジオール構成単位の5~90モル%が脂環式ジオールに由来する単位であり、前記染料(B)は、少なくとも2つの2級アミノ基及び少なくとも1つのベンゼン環を含む構造を有する染料を、2種以上組み合わせたものである、ポリエステル樹脂組成物を提供することができる。
<com:Image com:imageContentCategory="Drawing"> <com:ImageFormatCategory>TIFF</com:ImageFormatCategory> <com:FileName>2025176153000015.tif</com:FileName> <com:HeightMeasure com:measureUnitCode="Mm">14</com:HeightMeasure> <com:WidthMeasure com:measureUnitCode="Mm">115</com:WidthMeasure> </com:Image>
<com:Image com:imageContentCategory="Drawing"> <com:ImageFormatCategory>TIFF</com:ImageFormatCategory> <com:FileName>2025176153000016.tif</com:FileName> <com:HeightMeasure com:measureUnitCode="Mm">26</com:HeightMeasure> <com:WidthMeasure com:measureUnitCode="Mm">170</com:WidthMeasure> </com:Image>
【選択図】なし
特許請求の範囲
【請求項1】
ポリエステル樹脂(A)および染料(B)を含むポリエステル樹脂組成物であって、
前記ポリエステル樹脂(A)は、ジカルボン酸構成単位とジオール構成単位を有し、
前記ジカルボン酸構成単位はテレフタル酸単位及び/又は2,6-ナフタレンジカルボン酸単位であり、
前記ジオール構成単位の5~90モル%が下記一般式(1)または一般式(2)で表される環状アセタール骨格を有するジオールに由来する単位であり、且つ、前記ジオール構成単位の5~90モル%が脂環式ジオールに由来する単位であり、
前記染料(B)は、少なくとも2つの2級アミノ基及び少なくとも1つのベンゼン環を含む構造を有する染料を、2種以上組み合わせたものである、
ことを特徴とする、ポリエステル樹脂組成物。
TIFF
2025176153000012.tif
14
115
(式(1)中、R
1
及びR
2
はそれぞれ独立して、炭素数が1~10の脂肪族基、炭素数が3~10の脂環式基、又は炭素数が6~10の芳香族基を表す。)
TIFF
2025176153000013.tif
26
170
(式(2)中、R
1
は前記と同様であり、R
3
は炭素数が1~10の脂肪族基、炭素数が3~10の脂環式基、又は炭素数が6~10の芳香族基を表す。)
続きを表示(約 840 文字)
【請求項2】
前記染料(B)が、C.I.(カラーインデックス)ソルベントブルーRR、ソルベントブルー97、ソルベントブルー104、ソルベントバイオレット36およびリアクティブレッド2からなる群より選択された2色以上の染料である、請求項1に記載のポリエステル樹脂組成物。
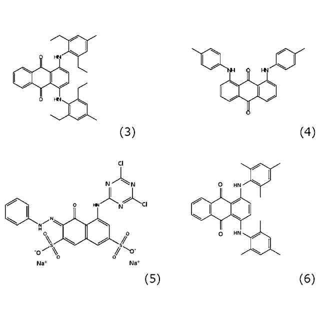
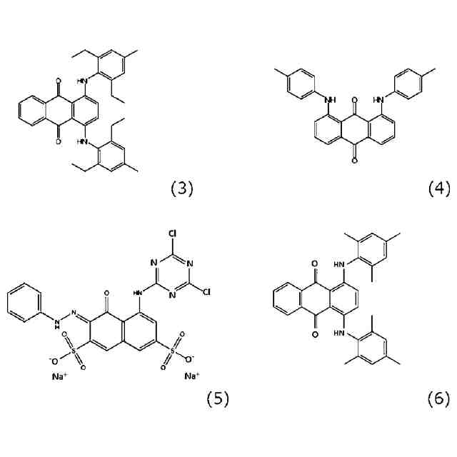
【請求項3】
前記染料(B)が、下記式(3)~(6)で表される化合物からなる群より選択された2種以上の染料である、請求項1に記載のポリエステル樹脂組成物。
TIFF
2025176153000014.tif
124
146
【請求項4】
前記染料(B)を3.0ppm以上10ppm以下の量で含有する、請求項1~3のいずれか一項に記載のポリエステル樹脂組成物。
【請求項5】
前記環状アセタール骨格を有するジオールが、3,9-ビス(1,1-ジメチル-2-ヒドロキシエチル)-2,4,8,10-テトラオキサスピロ〔5.5〕ウンデカンであり、且つ、前記脂環式ジオールが、1,4-シクロヘキサンジメタノールである、請求項1~4のいずれか一項に記載のポリエステル樹脂組成物。
【請求項6】
前記ジカルボン酸構成単位が2,6-ナフタレンジカルボン酸単位である、請求項1~5のいずれか一項に記載のポリエステル樹脂組成物。
【請求項7】
前記ポリエステル樹脂組成物中に含まれるポリカルボジイミドの含有量が、0.1質量%未満である、請求項1~6のいずれか一項に記載のポリエステル樹脂組成物。
【請求項8】
請求項1~7のいずれか一項に記載のポリエステル樹脂組成物を用いた、成形品。
【請求項9】
請求項1~8のいずれか一項に記載のポリエステル樹脂組成物を用いた、容器。
【請求項10】
請求項1~9のいずれか一項に記載のポリエステル樹脂組成物を用いた、哺乳瓶。
発明の詳細な説明
【技術分野】
【0001】
本発明は、ポリエステル樹脂組成物、および、かかるポリエステル樹脂組成物を用いた哺乳瓶等の成形品に関する。
続きを表示(約 3,000 文字)
【背景技術】
【0002】
芳香族系飽和ポリエステル樹脂、特にポリエチレンテレフタレート(以下「PET」ということがある。)は、機械的性能、耐溶剤性、保香性、耐候性、リサイクル性等にバランスのとれた樹脂であり、ボトルやフィルムなどの用途を中心に幅広く用いられている。しかしながら、PETには結晶性、耐熱性に関して欠点が存在する。すなわち、結晶性に関しては、PETは結晶性が高いため、厚みのある成形体やシートを製造しようとすると、結晶化により白化し、透明性が損なわれてしまう。また、耐熱性に関しては、PETのガラス転移温度は80℃程度であるため、自動車内で使用する製品、輸出入用の包装材、レトルト処理や電子レンジ加熱を行う食品包装材、加熱殺菌処理を行う哺乳瓶や食器等高い耐熱性、透明性が要求される用途には不向きといえる。
【0003】
このため、従来、透明性を必要とする用途には、1,4-シクロヘキサンジメタノールで一部共重合された変性PETやイソフタル酸で一部変性された変性PETといった低結晶性ポリエステル樹脂も用いられている。しかし、1,4-シクロヘキサンジメタノールで一部共重合された変性PETやイソフタル酸で一部変性された変性PETは、それぞれ、透明性はPETに対して改善されるものの、これらの樹脂のガラス転移温度は80℃前後であり、耐熱性に劣る。
【0004】
また、耐熱性の要求される分野に関しては、ガラス転移温度の高い、ポリエチレン2,6-ナフタレート(以下「PEN」ということがある。)やポリ(1,4-シクロヘキサンジメチレンテレフタレート)等のポリエステル樹脂が用いられてきた。しかしながら、PENやポリ(1,4-シクロヘキサンジメチレンテレフタレート)も耐熱性は改善されるものの、結晶性が高く透明性に劣る。
【0005】
また、高い透明性を持ちながらPETやPENの耐熱性を改善したポリエステル樹脂として、環状アセタール骨格を有するジオールを含むポリエステル樹脂が提案されている(特許文献1、2)。かかるポリエステル樹脂は、透明性と耐熱性が要求される用途での利用が可能である。
【0006】
しかしながら、従来煮沸滅菌が用いられてきた哺乳瓶等の分野において、近年、家庭用のUV滅菌装置が普及し、UV滅菌が一般的な滅菌方法として普及してきた。また、ESGやSDGs等の社会的ニーズの高まりを受け、哺乳瓶等のパッケージの簡素化(紙箱梱包→簡易シュリンクフィルムのみ)も進んでいる。
【先行技術文献】
【特許文献】
【0007】
特開2017-105873号公報
国際公開第2020/218324号
【発明の概要】
【発明が解決しようとする課題】
【0008】
そのため、ポリエステル樹脂に耐UV性を付与し、UV滅菌装置等によるUV照射や、店頭ディスプレイ時に受ける蛍光灯や太陽光による、強度低下や色変化樹脂といった劣化を抑制することが求められている。さらに、耐UV性を付与するにあたって、熱可塑性ポリエステル樹脂の色調を損なわない(もしくは色調を良化させる)ことも求められている。
【課題を解決するための手段】
【0009】
本発明者らは、鋭意検討した結果、所定の組成を有するポリエステル樹脂に、特定の構造を有する染料を2種以上組み合わせることによって、ポリエステル樹脂の色調を悪化させずに耐UV性を付与することができる旨を見出し、本発明を完成するに至った。
【0010】
すなわち、本発明は、以下の態様を包含する。
[1]
ポリエステル樹脂(A)および染料(B)を含むポリエステル樹脂組成物であって、
前記ポリエステル樹脂(A)は、ジカルボン酸構成単位とジオール構成単位を有し、
前記ジカルボン酸構成単位はテレフタル酸単位及び/又は2,6-ナフタレンジカルボン酸単位であり、
前記ジオール構成単位の5~90モル%が下記一般式(1)または一般式(2)で表される環状アセタール骨格を有するジオールに由来する単位であり、且つ、前記ジオール構成単位の5~90モル%が脂環式ジオールに由来する単位であり、
前記染料(B)は、少なくとも2つの2級アミノ基及び少なくとも1つのベンゼン環を含む構造を有する染料を、2種以上組み合わせたものである、
ことを特徴とする、ポリエステル樹脂組成物。
TIFF
2025176153000001.tif
14
115
(式(1)中、R
1
及びR
2
はそれぞれ独立して、炭素数が1~10の脂肪族基、炭素数が3~10の脂環式基、又は炭素数が6~10の芳香族基を表す。)
TIFF
2025176153000002.tif
26
170
(式(2)中、R
1
は前記と同様であり、R
3
は炭素数が1~10の脂肪族基、炭素数が3~10の脂環式基、又は炭素数が6~10の芳香族基を表す。)
[2]
前記染料(B)が、C.I.(カラーインデックス)ソルベントブルーRR、ソルベントブルー97、ソルベントブルー104、ソルベントバイオレット36およびリアクティブレッド2からなる群より選択された2色以上の染料である、上記[1]に記載のポリエステル樹脂組成物。
[3]
前記染料(B)が、下記式(3)~(6)で表される化合物からなる群より選択された2種以上の染料である、上記[1]に記載のポリエステル樹脂組成物。
TIFF
2025176153000003.tif
124
146
[4]
前記染料(B)を3.0ppm以上10ppm以下の量で含有する、上記[1]~[3]のいずれかに記載のポリエステル樹脂組成物。
[5]
前記環状アセタール骨格を有するジオールが、3,9-ビス(1,1-ジメチル-2-ヒドロキシエチル)-2,4,8,10-テトラオキサスピロ〔5.5〕ウンデカンであり、且つ、前記脂環式ジオールが、1,4-シクロヘキサンジメタノールである、上記[1]~[4]のいずれかに記載のポリエステル樹脂組成物。
[6]
前記ジカルボン酸構成単位が2,6-ナフタレンジカルボン酸単位である、上記[1]~[5]のいずれかに記載のポリエステル樹脂組成物。
[7]
前記ポリエステル樹脂組成物中に含まれるポリカルボジイミドの含有量が、0.1質量%未満である、上記[1]~[6]のいずれかに記載のポリエステル樹脂組成物。
[8]
上記[1]~[7]のいずれかに記載のポリエステル樹脂組成物を用いた、成形品。
[9]
上記[1]~[8]のいずれかに記載のポリエステル樹脂組成物を用いた、容器。
[10]
上記[1]~[9]のいずれかに記載のポリエステル樹脂組成物を用いた、哺乳瓶。
【発明の効果】
(【0011】以降は省略されています)
この特許をJ-PlatPat(特許庁公式サイト)で参照する
関連特許
三菱瓦斯化学株式会社
フラン-2,5-ジカルボン酸の製造方法
21日前
三菱瓦斯化学株式会社
硬化性組成物およびそれを硬化させてなる硬化物
7日前
三菱瓦斯化学株式会社
樹脂組成物、樹脂シート、プリプレグ、金属箔張積層板、及びプリント配線板
8日前
三菱瓦斯化学株式会社
ポリエステル樹脂組成物、及びその成形品
8日前
学校法人 関西大学
ポリアセタール系樹脂、リソグラフィー膜形成用組成物、レジスト膜、及びレジストパターンの形成方法
8日前
三菱瓦斯化学株式会社
リソグラフィー膜形成用組成物、レジストパターン形成方法、及び回路パターン形成方法
23日前
三菱瓦斯化学株式会社
樹脂組成物、硬化物、プリプレグ、金属箔張積層板、樹脂シート、および、プリント配線板
1か月前
株式会社カネカ
断熱材
1か月前
東ソー株式会社
ペレット
1か月前
ユニチカ株式会社
シート
今日
ユニチカ株式会社
透明シート
2か月前
株式会社トクヤマ
樹脂組成物
2日前
ユニチカ株式会社
透明シート
3か月前
株式会社コバヤシ
成形体
2か月前
東レ株式会社
熱硬化性樹脂組成物
3か月前
東ソー株式会社
エチレン系重合体
6日前
東レ株式会社
引抜成形品の製造方法
3か月前
丸住製紙株式会社
変性パルプ
2か月前
東ソー株式会社
ゴム用接着性改質剤
1か月前
東ソー株式会社
プラスチゾル組成物
1か月前
住友精化株式会社
吸水剤の製造方法
2か月前
東レ株式会社
ポリエステルフィルム
2か月前
花王株式会社
複合粒子
今日
東レ株式会社
ポリエステルフィルム
1か月前
東ソー株式会社
樹脂組成物および蓋材
3か月前
東ソー株式会社
樹脂組成物および蓋材
3か月前
横浜ゴム株式会社
重荷重タイヤ
2か月前
東レ株式会社
ポリプロピレンフィルム
2か月前
東ソー株式会社
エチレン系重合用触媒
1か月前
花王株式会社
樹脂組成物
今日
株式会社スリーボンド
硬化性樹脂組成物
2か月前
アイカ工業株式会社
光硬化性樹脂組成物
2か月前
UBE株式会社
衝撃吸収材
2か月前
株式会社信日康
香料を含有するポリマー
6日前
株式会社信日康
香料を含有するポリマー
6日前
日本特殊陶業株式会社
樹脂成形体
2か月前
続きを見る
他の特許を見る