TOP
|
特許
|
意匠
|
商標
特許ウォッチ
Twitter
他の特許を見る
10個以上の画像は省略されています。
公開番号
2025176045
公報種別
公開特許公報(A)
公開日
2025-12-03
出願番号
2025139342,2021566438
出願日
2025-08-25,2020-05-08
発明の名称
大員環キレータ及びその使用方法
出願人
ヤンセン バイオテツク,インコーポレーテツド
代理人
個人
,
個人
,
個人
,
個人
,
個人
主分類
C07D
273/08 20060101AFI20251126BHJP(有機化学)
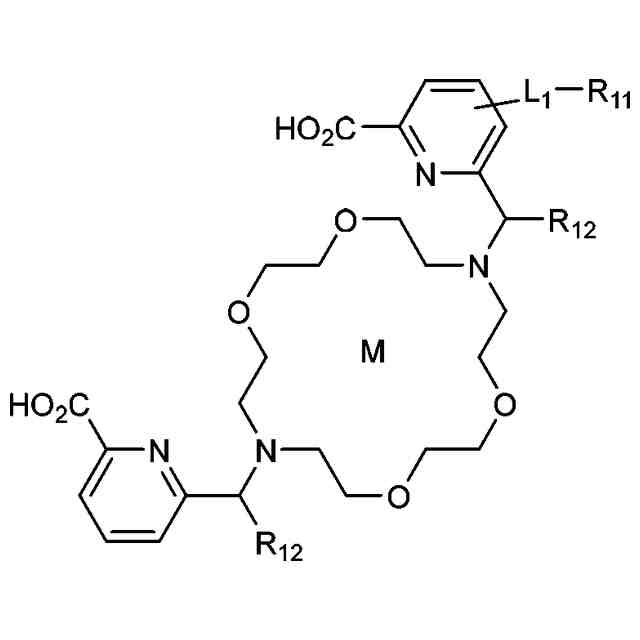
要約
【課題】放射性金属、好ましくはアクチニウム-225(
225
Ac)などのα線放出放射性金属を結合し、高比活性及び高収率を有する安定した放射性免疫コンジュゲートを生成するために使用することができる、新規なキレータを提供する。
【解決手段】下式(I)のキレータが提供される。配位結合により大員環キレータに結合したα線放出放射性金属イオンを含む放射性金属錯体、及び抗体などの標的化リガンドに共有結合した放射性金属錯体を含む放射性免疫コンジュゲートも提供される。
<com:Image com:imageContentCategory="Drawing"> <com:ImageFormatCategory>TIFF</com:ImageFormatCategory> <com:FileName>2025176045000093.tif</com:FileName> <com:HeightMeasure com:measureUnitCode="Mm">44</com:HeightMeasure> <com:WidthMeasure com:measureUnitCode="Mm">128</com:WidthMeasure> </com:Image>
式中環A及び環Bの各々は、独立して、置換基を有してもよい6~10員のアリール又は5~10員のヘテロアリールであり、Z
1
及びZ
2
の各々は、独立して、-(C(R
12
)
2
)m-又は-(CH
2
)n-C(R
12
)(X)-(CH
2
)n-である。
【選択図】なし
特許請求の範囲
【請求項1】
式(I)のキレータであって、
TIFF
2025176045000079.tif
44
128
式中、
環A及び環Bの各々は、独立して、6~10員のアリール又は5~10員のヘテロアリ
ールであり、環A及び環Bの各々は、独立して、ハロ、アルキル、アルケニル、シクロア
ルキル、シクロアルケニル、アリール、ヘテロシクリル、ヘテロアリール、-OR
13
、
-SR
13
、-(CH
2
)
p
COOR
13
、-OC(O)R
13
、-N(R
13
)
2
、-
CON(R
13
)
2
、-NO
2
、-CN-OC(O)N(R
13
)
2
及びXからなる群か
ら選択される1つ又は2つ以上の置換基で任意選択で置換され、
Z
1
及びZ
2
の各々は、独立して、-(C(R
12
)
2
)
m
-又は-(CH
2
)
n
-C
(R
12
)(X)-(CH
2
)
n
-であり、
各Xは、独立して、-L
1
-R
11
であり、
各nは、独立して、0、1、2、3、4又は5であり、
各mは、独立して、1、2、3、4又は5であり、
各pは、独立して、0又は1であり、
L
1
は、存在しないか、又はリンカーであり、
R
11
は、求核性部分若しくは求電子性部分であるか、又はR
11
は、標的化リガンド
を含み、
各R
12
は、独立して、水素、アルキル、シクロアルキル、アリール、ヘテロシクリル
又はヘテロアリールであり、
各R
13
は、独立して、水素又はアルキルであり、
続きを表示(約 3,100 文字)
【請求項2】
式(II)のキレータであり、
TIFF
2025176045000080.tif
44
128
式中、
A
1
は、N若しくはCR
1
であるか、又は存在せず、
A
2
は、N又はCR
2
であり、
A
3
は、N又はCR
3
であり、
A
4
は、N又はCR
4
であり、
A
5
は、N又はCR
5
であり、
A
6
は、N若しくはCR
6
であるか、又は存在せず、
A
7
は、N又はCR
7
であり、
A
8
は、N又はCR
8
であり、
A
9
は、N又はCR
9
であり、
A
10
は、N又はCR
10
であり、
但し、A
1
、A
2
、A
3
、A
4
及びA
5
のうちの3つ以下がNであり、A
6
、A
7
、A
8
、A
9
及びA
10
のうちの3つ以下がNであり、
R
1
、R
2
、R
3
、R
4
、R
5
、R
6
【請求項3】
式(III)のキレータであり、
TIFF
2025176045000081.tif
44
128
式中、
各A
11
は、独立して、O、S、NMe又はNHであり、
Z
1
及びZ
2
の各々は、独立して、-(C(R
12
)
2
)
m
-又は-(CH
2
)
n
-C
(R
12
)(X)-(CH
2
)
n
-であり、
各Xは、独立して、-L
1
-R
11
であり、
各nは、独立して、0、1、2、3、4又は5であり、
各mは、独立して、1、2、3、4又は5であり、
各pは、独立して、0又は1であり、
L
1
は、存在しないか、又はリンカーであり、
R
11
は、求核性部分若しくは求電子性部分であるか、又はR
11
は、標的化リガンド
を含み、
各R
12
は、独立して、水素、アルキル、シクロアルキル、アリール、ヘテロシクリル
又はヘテロアリールであり、
各R
13
は、独立して、水素又はアルキルであり、
R
14
、R
15
、R
16
及びR
17
の各々は、独立して、水素、アルキル又はXである
か、
あるいは、R
14
及びR
15
並びに/又はR
16
及びR
17
が、それらが結合している
炭素原子と一緒になって、Xで任意選択で置換された5員又は6員のシクロアルキル環を
形成し、
各R
18
は、独立して、水素、ハロ、アルキル、アルケニル、シクロアルキル、シクロ
アルケニル、アリール、ヘテロシクリル、ヘテロアリール、-OR
13
、-SR
【請求項4】
前記キレータが、
TIFF
2025176045000082.tif
207
128
からなる群から選択され、
式中、
L
1
が、存在しないか、又はリンカーであり、
R
11
が、求核性部分若しくは求電子性部分であるか、又はR
11
は、標的化リガンド
を含み、
各R
12
が、独立して、水素、-CH
3
又は-CH
2
CH
3
であり、但し、少なくとも
1つのR
12
が、-CH
3
又は-CH
2
CH
3
である、請求項1に記載のキレータ。
【請求項5】
R
11
が、-NH
2
、-NCS、-NCO、-N
3
、アルキニル、シクロアルキニル、
-C(O)R
13
、-COOR
13
、-CON(R
13
)
2
、マレイミド、ハロゲン化ア
シル、テトラジン又はトランス-シクロオクテンである、請求項1~4のいずれか一項に
記載のキレータ。
【請求項6】
R
11
が、シクロオクチニル、又はビシクロノニニル(BCN)、ジフッ素化シクロオ
クチニル(DIFO)、ジベンゾシクロオクチニル(DIBO)、ケト-DIBO、ビア
リールアザシクロオクチノニル(BARAC)、ジベンゾアザシクロオクチニル(DIB
AC、DBCO、ADIBO)、ジメトキシアザシクロオクチニル(DIMAC)、ジフ
ルオロベンゾシクロオクチニル(DIFBO)、モノベンゾシクロオクチニル(MOBO
)及びテトラメトキシジベンゾシクロオクチニル(TMDIBO)からなる群から選択さ
れるシクロオクチニル誘導体である、請求項5に記載のキレータ。
【請求項7】
R
11
が、DBCO又はBCNである、請求項6に記載のキレータ。
【請求項8】
R
11
が、標的化リガンドを含み、前記標的化リガンドが、抗体若しくはその抗原結合
フラグメント、スキャフォルドタンパク質、小分子又はアプタマーを含む、請求項1~4
のいずれか一項に記載のキレータ。
【請求項9】
L1が、
TIFF
2025176045000083.tif
101
144
からなる群から選択され、
式中、nは、0~10の整数、好ましくは1~4の整数であり、mは、0~12の整数
、好ましくは0~6の整数である、請求項1~8のいずれか一項に記載のキレータ。
【請求項10】
TIFF
2025176045000084.tif
211
158
からなる群から選択されるキレータ。
(【請求項11】以降は省略されています)
発明の詳細な説明
【技術分野】
【0001】
(関連出願の相互参照)
本出願は、2019年5月10日に出願された米国特許仮出願第62/846,044
号の優先権の利益を主張するものであり、その米国特許仮出願は、その全体があらゆる目
的のために参照により本明細書に組み込まれる。
続きを表示(約 5,000 文字)
【0002】
(電子的に提出された配列表の参照)
本出願は、ファイル名が「JBI6072WOPCT1_SeqListing.tx
t」であり、2020年5月1日に作成され、26kbのサイズを有する、ASCII形
式の配列表としてEFS-Webにより電子的に提出された配列表を含む。EFS-We
bにより提出された配列表は、本明細書の一部であり、参照によりその全体が本明細書に
組み込まれる。
【背景技術】
【0003】
α粒子放出放射性核種は、高エネルギーと短距離作用との組み合わせのため癌治療法に
非常に有望であり、ほとんどが腫瘍細胞に限局されて、強力に殺傷する可能性を提供する
(Kim,Y.S.and M.W.Brechbiel,An overview o
f targeted alpha therapy.Tumour Biol,201
2.33(3):p.573-90)。抗体、スキャフォルドタンパク質、小分子リガン
ド、アプタマー、又は癌抗原に特異的な他の結合部分を使用する、α線放出体の標的化送
達は、腫瘍への放射線核種の選択的送達の方法を提供して、それらの効力を強化し、オフ
ターゲット効果を軽減する方法を提供する。一般的な実施では、結合部分をα線放出放射
性金属に結合するキレータに付着させて、放射性錯体を生成する。多くのこのような例は
、標的化リガンドとしてモノクローナル抗体(monoclonal antibody、mAb)を使用し
、放射性免疫コンジュゲートとして既知のものを生成する。
【0004】
アクチニウム-225(
225
Ac)は、医療用途で特に関心が持たれているα線放出
放射性同位体である(Miederer et al.,Realizing the
potential of the Actinium-225 radionucli
de generator in targeted alpha particle
therapy applications.Adv Drug Deliv Rev,
2008.60(12):71-82)。
225
Acの10日半減期は、放射性コンジュ
ゲートの生成を促進するのに十分な長さであるが、抗体などの送達ビヒクルの循環薬物動
態と一致させるために十分短い。そのため、
225
Acの放射性免疫コンジュゲートは、
特に関心が持たれている。加えて、
225
Acは、安定した同位体
209
Biに達する前
に最終的に4つのα粒子を放出する一連の工程で減衰することで効力が増す。医療用途で
関心が持たれている別の放射性同位体は、画像化に適したγ線照射及び放射線治療に適し
た中エネルギーβ線照射の両方を放出する、ルテチウム-177(
177
Lu)である。
177
Lu標識ペプチドは正常組織の損傷の低減を示し、
177
Lu標識化は、治療及び
画像化の両方に単一の放射性標識化剤の使用を可能にすることが示されている(Kwek
keboom DJ,et al.[
177
Lu-DOTA
0
,Tyr
3
]octreo
tate:comparison with[
111
In-DTPA
0
]octreot
ide in patients.Eur J Nucl Med.2001;28:p
.1319-1325)。治療用途に使用される他の放射性同位体としては、例えば、β
線放出体又はα線放出体、例えば、
32
P、
47
Sc、
67
Cu、
77
As、
89
Sr、
90
Y、
99
Tc、
105
Rh、
109
Pd、
111
Ag、
131
I、
149
Tb、
15
2
Tb、
155
Tb、
153
Sm,
159
Gd、
165
Dy、
166
【0005】
現在最も広く使用されているアクチニウム-225及びランタニドのためのキレータは
、DOTA(1,4,7,10-テトラアザシクロドデカン-1,4,7,10-四酢酸
;テトラキサテン)であり、以前の臨床及び前臨床プログラムは、アクチニウムキレート
化のために1,4,7,10-テトラアザシクロドデカン-1,4,7,10-四酢酸(
DOTA)を主に使用してきた。しかしながら、アクチニウムのDOTAキレート化は、
課題があり得ることが知られている(Deal,K.A.,et al.,Improv
ed in vivo stability of actinium-225 mac
rocyclic complexes.J Med Chem,1999.42(15
):p.2988-92)。例えば、DOTAは、タンパク質又は抗体などの標的化リガ
ンドに結合したとき、最大>500:1DOTA:アクチニウム-225のキレート化比
しか可能とならず、厳しい条件又は抗体あたり高レベルのDOTAのいずれかを必要とす
ることが多い。ランタニド及びアクチニウム-225のための他の大員環キレータは、例
えば、国際特許出願公開第2018/183906号、Thiele et al.「A
n Eighteen-Membered Macrocyclic Ligand f
or Actinium-225 Targeted Alpha Therapy」A
ngew.Chem.Int.Ed.(2017) 56,14712-14717、R
oca-Sabio et al.「Macrocyclic Receptor Ex
hibiting Unprecedented Selectivity for L
ight Lanthanides」J.Am.Chem.Soc.(2009)131
,3331-3341に記載されている。
【0006】
部位特異性は、ランダムコンジュゲーションと比較して、部位特異的方法により、AD
Cの有効性と安全性の両方を高められることが実証されていることから、抗体-薬物コン
ジュゲート(antibody-drug conjugate、ADC)分野において主要な注目領域となって
いる(Agarwal,P.and C.R.Bertozzi,Site-speci
fic antibody-drug conjugates:the nexus o
f bioorthogonal chemistry,protein engine
ering,and drug development,Bioconjug Che
m,2015.26(2):p.176-92)。同様の安全性及び有効性の利益が、放
射性免疫コンジュゲートに関して達成され得ると考えられる。
【発明の概要】
【課題を解決するための手段】
【0007】
したがって、放射性金属、好ましくはアクチニウム-225(
225
Ac)などのα線
放出放射性金属を結合し、高比活性(specific activity)及び高収率を有する安定した
放射性免疫コンジュゲートを生成するために使用することができる、新規なキレータが当
該技術分野で必要とされている。本発明は、比活性又は最も一般的な金属不純物に関係な
く、α線放出放射性金属、特に
225
Acなどの放射性金属に結合することができる大員
環キレータを提供することにより、この必要性を満たす。本発明のキレータは、抗体、タ
ンパク質、アプタマー、小分子などの標的化リガンドに、好ましくは「クリックケミスト
リー」を用いた部位特異的な様式で、標的化リガンドにコンジュゲートすることにより、
インビトロ及びインビボで高い安定性を有する放射性免疫コンジュゲートを生成するため
に使用することができる。本発明のキレータを標的化リガンドにコンジュゲートさせるこ
とによって生成される放射性免疫コンジュゲートは、腫瘍性細胞の標的化放射線治療及び
/又は癌を含む腫瘍性疾患若しくは障害の標的化治療などの標的化治療に使用することが
できる。
【0008】
一般的な一態様では、本発明は、式(I)のキレータに関し、
【0009】
TIFF
2025176045000001.tif
44
128
式中、
環A及び環Bの各々は、独立して、6~10員のアリール又は5~10員のヘテロアリ
ールであり、環A及び環Bの各々は、独立して、ハロ、アルキル、アルケニル、シクロア
ルキル、シクロアルケニル、アリール、ヘテロシクリル、ヘテロアリール、-OR
13
、
-SR
13
、-(CH
2
)
p
COOR
13
、-OC(O)R
13
、-N(R
13
)
2
、-
CON(R
13
)
2
、-NO
2
、-CN、-OC(O)N(R
13
)
2
及びXからなる群
から選択される1つ又は2つ以上の置換基で任意選択で置換され、
Z
1
及びZ
2
の各々は、独立して、-(C(R
12
)
2
)
m
-又は-(CH
2
)
n
-C
(R
12
)(X)-(CH
2
)
n
-であり、
各Xは、独立して、-L
1
-R
11
であり、
各nは、独立して、0、1、2、3、4又は5であり、
各mは、独立して、1、2、3、4又は5であり、
各pは、独立して、0又は1であり、
L
1
は、存在しないか、又はリンカーであり、
R
11
は、求核性部分若しくは求電子性部分であるか、又はR
11
は、標的化リガンド
を含み、
各R
12
は、独立して、水素、アルキル、シクロアルキル、アリール、ヘテロシクリル
又はヘテロアリールであり、
各R
13
は、独立して、水素又はアルキルであり、
R
【0010】
代替的な実施形態では、環A及び環Bの各々は、任意選択で置換されたヘテロシクリル
環、例えば、オキサゾリンであることが企図される。
(【0011】以降は省略されています)
この特許をJ-PlatPat(特許庁公式サイト)で参照する
関連特許
クミアイ化学工業株式会社
多形
1か月前
東ソー株式会社
タンパク質の発現方法
2か月前
株式会社トクヤマ
ビオチン誘導体の製造方法
4か月前
株式会社半導体エネルギー研究所
有機化合物
3か月前
株式会社半導体エネルギー研究所
有機化合物
1か月前
栗田工業株式会社
ギ酸の回収方法
1か月前
株式会社日本触媒
(メタ)アクリレート化合物
1日前
東ソー株式会社
イソシアネート化合物の製造方法
3か月前
株式会社コスモス
液状炭化水素の増産方法
4か月前
株式会社コスモス
液状炭化水素の増産方法
3か月前
株式会社トクヤマ
ホルムアミド化合物の製造方法
3か月前
株式会社トクヤマ
ベンザゼピン化合物の製造方法
3か月前
株式会社トクヤマ
チオラクトン誘導体の製造方法
2か月前
株式会社トクヤマ
チオファニウム塩誘導体の製造方法
1か月前
株式会社トクヤマ
チオファニウム塩臭化物の製造方法
14日前
日産化学株式会社
ピラゾール化合物及び有害生物防除剤
4か月前
国立大学法人東京農工大学
深共晶溶媒
3か月前
大阪瓦斯株式会社
メタン製造システム
2か月前
本田技研工業株式会社
CO2変換方法
2か月前
三菱ケミカル株式会社
アルコールの製造方法
2か月前
JNC株式会社
有機ケイ素化合物およびこれを用いた重合体
3か月前
東ソー株式会社
免疫グロブリン結合性タンパク質の製造方法
2か月前
ステラケミファ株式会社
リン化合物の製造方法
6日前
JNC株式会社
有機ケイ素化合物およびこれを用いた重合体
3か月前
株式会社トクヤマ
アシル化ベンゼン誘導体の酸塩の製造方法
3か月前
キヤノン株式会社
有機化合物及び有機発光素子
2か月前
キヤノン株式会社
有機金属錯体及び有機発光素子
2か月前
個人
IL-17産生誘導能を有する化合物及びその用途
2か月前
株式会社半導体エネルギー研究所
有機金属錯体、発光デバイス
3か月前
日本特殊陶業株式会社
反応装置
1日前
株式会社プロテリアル
触媒複合物を用いたメタネーション反応器
15日前
デンカ株式会社
有機酸又はその塩の製造方法
3か月前
国立大学法人京都大学
抗がん剤
3か月前
上野製薬株式会社
高純度芳香族ジオールの製造方法
1日前
上野製薬株式会社
高純度芳香族ジオールの製造方法
1日前
岐阜市
化合物、アジュバント組成物および医薬組成物
2か月前
続きを見る
他の特許を見る